பின்னங்கள் | பருவம் 3 அலகு 6 | 5 ஆம் வகுப்பு கணக்கு - பயிற்சி 6.3 (ஓரினப் பின்னங்கள் மற்றும் வேற்றின பின்னங்கள்) | 5th Maths : Term 3 Unit 6 : Fractions
Posted On : 25.10.2023 08:54 am
5 ஆம் வகுப்பு கணக்கு : பருவம் 3 அலகு 6 : பின்னங்கள்
பயிற்சி 6.3 (ஓரினப் பின்னங்கள் மற்றும் வேற்றின பின்னங்கள்)
5 ஆம் வகுப்பு கணக்கு : பருவம் 3 அலகு 6 : பின்னங்கள் : பயிற்சி 6.3 (ஓரினப் பின்னங்கள் மற்றும் வேற்றின பின்னங்கள்) : புத்தக வினாக்கள், பயிற்சிகள், கேள்வி பதில்கள் மற்றும் தீர்வுகள்
பயிற்சி 6.3
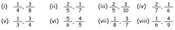
1. பின்வரும் பின்னங்களை ஓரினப் பின்னங்களாக மாற்றவும்.

தீர்வு :


குறிப்பு:
1. ஒரினப் பின்னங்களில் பெரிய தொகுதியைக் கொண்ட பின்னம் பெரிய பின்னமாகும்.
2. சம தொகுதி கொண்ட இரண்டு பின்னங்களில், பெரிய பகுதியைக் கொண்ட பின்னம் சிறிய பின்னம் ஆகும்.
3. வேற்றின பின்னங்களை ஒப்பிடுவதற்கு அவற்றின் பகுதிகளை சமமாக்குவதற்கு அவற்றின் சமமான பின்னங்களாக மாற்ற வேண்டும்.
Tags : Fractions | Term 3 Chapter 6 | 5th Maths பின்னங்கள் | பருவம் 3 அலகு 6 | 5 ஆம் வகுப்பு கணக்கு.
5th Maths : Term 3 Unit 6 : Fractions : Exercise 6.3 (Like fractions and unlike fractions) Fractions | Term 3 Chapter 6 | 5th Maths in Tamil : 5th Standard
Tamil Medium School Samacheer Book Back Questions and answers, Important Question with Answer.
5 ஆம் வகுப்பு கணக்கு : பருவம் 3 அலகு 6 : பின்னங்கள் : பயிற்சி 6.3 (ஓரினப் பின்னங்கள் மற்றும் வேற்றின பின்னங்கள்) - பின்னங்கள் | பருவம் 3 அலகு 6 | 5 ஆம் வகுப்பு கணக்கு : 5 ஆம் வகுப்பு
புத்தகம் கேள்விகள் மற்றும் பதில்கள்.