கேள்விகளுக்கான பதில்கள், தீர்வுகள் - பயிற்சி 9.6 : குறைப்புச் சூத்திரங்கள் (Reduction Formulae) | 12th Maths : UNIT 9 : Applications of Integration
Posted On : 18.09.2022 08:45 pm
12 ஆம் வகுப்பு கணிதம் : அத்தியாயம் 9 : தொகை நுண்கணிதத்தின் பயன்பாடுகள்
பயிற்சி 9.6 : குறைப்புச் சூத்திரங்கள் (Reduction Formulae)
கணக்கு புத்தக பயிற்சி வினாக்கள் மற்றும் தீர்வுகள் - கணிதவியல் : தொகை நுண்கணிதத்தின் பயன்பாடுகள் : குறைப்புச் சூத்திரங்கள் (Reduction Formulae) : சோதனை வினாக்களுக்கான கேள்வி பதில், தீர்வுகள்
பயிற்சி 9.6
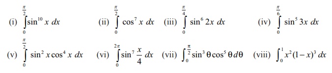
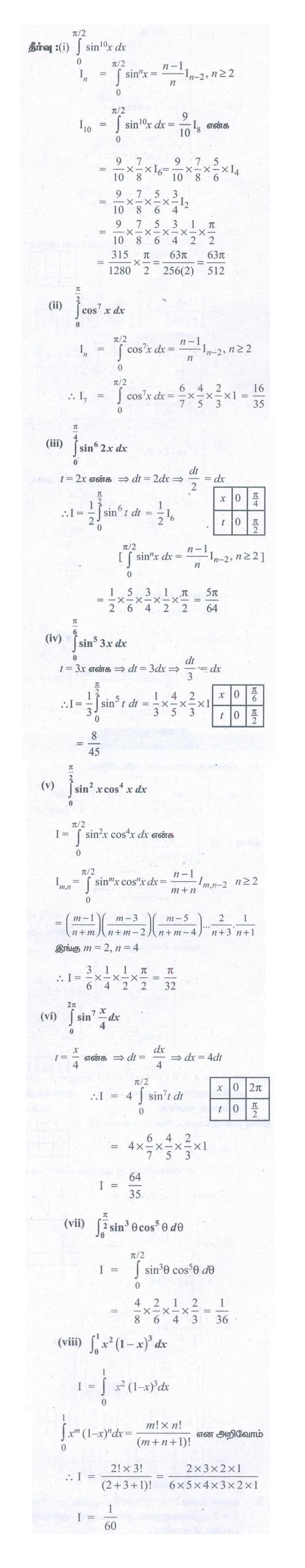
1. பின்வருவனவற்றை மதிப்பிடுக:


விடைகள் :
1. (i) 63π/512 (ii) 16/35 (iii) 5π/64 (iv) 8/45 (v) π/32 (vi) 64/35 (vii) 1/24 (viii) 1/60
Tags : Problem Questions with Answer, Solution கேள்விகளுக்கான பதில்கள், தீர்வுகள்.
12th Maths : UNIT 9 : Applications of Integration : Exercise 9.6: Reduction Formulae Problem Questions with Answer, Solution in Tamil : 12th Standard
Tamil Medium School Samacheer Book Back Questions and answers, Important Question with Answer.
12 ஆம் வகுப்பு கணிதம் : அத்தியாயம் 9 : தொகை நுண்கணிதத்தின் பயன்பாடுகள் : பயிற்சி 9.6 : குறைப்புச் சூத்திரங்கள் (Reduction Formulae) - கேள்விகளுக்கான பதில்கள், தீர்வுகள் : 12 ஆம் வகுப்பு
புத்தகம் கேள்விகள் மற்றும் பதில்கள்.