கேள்வி பதில்கள் மற்றும் தீர்வுகள் | இயற்கணிதம் | இரண்டாம் பருவம் அலகு 3 | 7ஆம் வகுப்பு கணக்கு - பயிற்சி 3.4 | 7th Maths : Term 2 Unit 3 : Algebra

7ஆம் வகுப்பு கணக்கு : இரண்டாம் பருவம் அலகு 3 : இயற்கணிதம்

பயிற்சி 3.4

7ஆம் வகுப்பு கணக்கு : இரண்டாம் பருவம் அலகு 3 : இயற்கணிதம் : பல்வகைத் திறனறி பயிற்சிக் கணக்குகள், மேற்சிந்தனைக் கணக்குகள், புத்தக பயிற்சி கேள்விகளுக்கான பதில்கள் மற்றும் தீர்வுகள் ,,

பயிற்சி 3.4

பல்வகைத் திறனறி பயிற்சிக் கணக்குகள் 


1. 62 x 6m = 65, எனில், m இன் மதிப்பு காண்க

தீர்வு

62 × 6m = 65    [  am × an = am+n ]

62+m = 65 

2 + m = 5 

m = 5 - 2 

m = 3


2. 124128 × 126124 இன் ஒன்றாம் இலக்கம் காண்க

தீர்வு :  

= 124128 ன் ஒன்றாம் இலக்கம்

= 126124 ன் ஒன்றாம் இலக்கம்

124128 × 126124 = 6 × 6 = 36 

124128 × 126124 ன் ஒன்றாம் இலக்கம் 6


3. 1623 + 7148 + 5961 என்னும் எண் கோவையின் ஒன்றாம் இலக்கம் காண்க

தீர்வு

= 1623ன் ஒன்றாம் இலக்கம்

7148 ன் ஒன்றாம் இலக்கம்

5961ன் ஒன்றாம் இலக்கம்

1623 + 7148 + 5961 = 6 + 1 + 9 = 16 

1623 + 7148 + 5961ன் ஒன்றாம் இலக்கம் 6 ஆகும்.


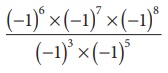
4. மதிப்பு காண்க   .

தீர்வு :

= (-1)6+7+8 / (-1)3+5

= (-1)21 / (-1)8

= -1 / 1

= -1


5. பின்வருவனவற்றின் படி காண்க

2a3bc + 3a3b + 3a3c - 2a2b2c2 

தீர்வு

2a3bc + 3a3b + 3a3c - 2a2b2c2 

படி


6. p = -2, q = 1 மற்றும் r = 3 எனில், 3p2q2r இன் மதிப்பு காண்க

தீர்வு

P = -2 

q = 1  

r = 3 

3p2q2r = 3(-2)2 (1)2 (3) 

= 3(4) (1) (3) 

= 36


மேற்சிந்தனைக் கணக்குகள் 


7. லீடர்ஸ் (LEADERS) என்பது 256 உறுப்பினர்களைக் கொண்ட ஒரு வாட்ஸ்ஆப் குழு ஆகும். இக்குழுவிலுள்ள ஒவ்வோர் உறுப்பினரும் 256 வெவ்வேறு உறுப்பினர்களைக் கொண்ட தங்களுடைய சொந்த வாட்ஸ்ஆப் குழுவிற்குநிர்வாகப் பொறுப்பாளர் ஆவார். லீடர்ஸ் குழுவிலிருந்து அனுப்பப்படும் ஒரு செய்தியை அக்குழுவிலுள்ள ஒவ்வோர் உறுப்பினரும் தங்களுடைய சொந்தக் குழுவிற்கு அனுப்பினால், எத்தனை உறுப்பினர்கள் அச்செய்தியைப் பெறுவர்

தீர்வு

உறுப்பினர்களின் எண்ணிக்கை = 256 

வெவ்வேறு உறுப்பினர்களைக் கொண்ட குழுவின் எண்ணிக்கை = 256 

செய்தியை பெறுபவர்களின் எண்ணிக்கை = 256 × 256 

= 65536


8. 3x+2 = 3x + 216 எனில், x இன் மதிப்பு காண்க 

தீர்வு

3x+2 = 3x + 216  

3x × 32 = 3x + 216 

3x × 32 – 3x = 216 

3x (32 - 1) = 216 

3x (9 - 1) = 216 

3x × 8 = 216

3x – 216 / 8

3x = 27 

3x = 33 

x = 3 


9. X = 5x2 + 7x + 8 மற்றும் Y = 4x2 - 7x + 3 எனில், X + Y இன் படியைக் காண்க

தீர்வு

X = 5x2 + 7x + 8

Y = 4x2 - 7x + 3 

X + Y = (5x2 + 7x + 8) + (4x2 - 7x + 3) 

= 5x2 + 7x + 8 + 4x2 – 7x + 3 

= 9x2 + 11 

படி 2


10. (2a2 + 3ab – b2) - (3a2 – ab - 3b2) இன் படியைக் காண்க

தீர்வு

(2a2 + 3ab – b2) - (3a2 – ab - 3b2

(2a2 + 3ab – b2 - 3a2 + ab + 3b2 

= 2a2 + 3a2 + 3ab + ab – b2 + 3b2 

= -a2 + 4ab + 2b2 

படி 2


11. x = 3, y = 4, z = -2 மற்றும் w = x2 – y2 + z2 - xyz எனில், w இன் மதிப்பு காண்க

தீர்வு

x = 3, y = 4, z = -2 

w = x2 – y2 + z2 - xyz 

= (3)2 - (4)2 + (-2)2 - 3(4) (-2) 

= 9 - 16 + 4 + 24 

= 37 - 16

= 21


12. சுருக்கிப் படியைக் காண்க:

6x2 + 1 - [8x- {3x2 – 7 - (4x2 - 2x + 5x + 9) } ] 

தீர்வு :  

6x2 + 1 - [8x - {3x2 – 7 - (4x2 - 2x + 5x + 9} ) ] 

= 6x2 + 1 - [8x - {3x2 – 7 - 4x2 + 2x - 5x - 9} ] 

= 6x2 + 1 - [8x - {- x2 - 3x - 16} ] 

= 6x2 + 1 - 8x - x2 - 3x - 16 

= 6x2 + 1 - [8x + x2 + 3x + 16] 

= 6x2 - x2 - 8x - 3x - 16 + 1 

= 5x2 - 11x – 15

படி


13. ஒரு செவ்வகத்தின் இரு அடுத்தடுத்த பக்கங்கள் 2x2 - 5xy + 3z2 மற்றும் 4xy - x2 – z2 எனில், அதன் சுற்றளவின் படி காண்க

தீர்வு

நீளம் = 2x2 - 5x + 3z2 

அகலம் = 4xy - x2 – z2 

சுற்றளவு = 2 (l + b) அலகுகள் 

= 2 [(2x2 - 5xy + 3z2) + (4xy – x2 - z2)] 

= 2 [2x2 – x2 - 5xy + 4xy + 3z2 - z2

= 2 [x2 – xy + 2z2

= 2x2 - 2xy + 4z2

படி 2



விடைகள் :

பயிற்சி  3.4

1. m = 3

2. 6

3. 6

4. −1

5. 6

6. 36

கொள்குறி வகை வினாக்கள் 

7. 65536

8. x = 3

9. 2

10. 2

11. 21

12. 5 x2 − 11x − 5 ; 2

13. 2x2 − 2xy + 4z2 ; 2


Tags : Questions with Answers, Solution | Algebra | Term 2 Chapter 3 | 7th Maths கேள்வி பதில்கள் மற்றும் தீர்வுகள் | இயற்கணிதம் | இரண்டாம் பருவம் அலகு 3 | 7ஆம் வகுப்பு கணக்கு.
7th Maths : Term 2 Unit 3 : Algebra : Exercise 3.4 Questions with Answers, Solution | Algebra | Term 2 Chapter 3 | 7th Maths in Tamil : 7th Standard Tamil Medium School Samacheer Book Back Questions and answers, Important Question with Answer. 7ஆம் வகுப்பு கணக்கு : இரண்டாம் பருவம் அலகு 3 : இயற்கணிதம் : பயிற்சி 3.4 - கேள்வி பதில்கள் மற்றும் தீர்வுகள் | இயற்கணிதம் | இரண்டாம் பருவம் அலகு 3 | 7ஆம் வகுப்பு கணக்கு : 7 ஆம் வகுப்பு புத்தகம் கேள்விகள் மற்றும் பதில்கள்.
7ஆம் வகுப்பு கணக்கு : இரண்டாம் பருவம் அலகு 3 : இயற்கணிதம்