கேள்வி பதில்கள் மற்றும் தீர்வுகள் | புள்ளியியல் | கணக்கு - பயிற்சி 8.2 : மாறுபாட்டுக் கெழு | 10th Mathematics : UNIT 8 : Statistics And Probability
பயிற்சி 8.2
1. ஒரு தரவின் திட்ட விலக்கம் மற்றும் சராசரி ஆகியன முறையே 6.5 மற்றும் 12.5 எனில் மாறுபாட்டுக் கெழுவைக் காண்க.

2. ஒரு தரவின் திட்ட விலக்கம் மற்றும் மாறுபாட்டுக் கெழு ஆகியன முறையே 1.2 மற்றும் 25.6 எனில் அதன் சராசரியைக் காண்க.

3. ஒரு தரவின் சராசரி மற்றும் மாறுபாட்டுக் கெழு முறையே 15 மற்றும் 48 எனில் அதன் திட்ட விலக்கத்தைக் காண்க.

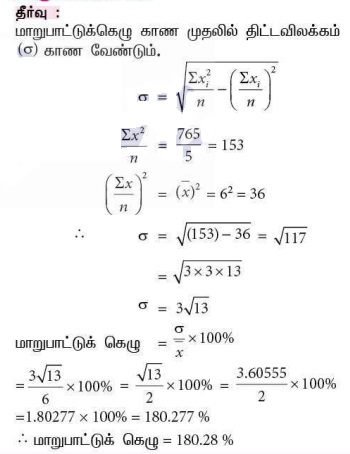
4. n = 5,
= 6, Σx2 = 765 எனில், மாறுபாட்டுக் கெழுவைக் காண்க.

5. 24, 26, 33, 37, 29, 31 ஆகியவற்றின் மாறுபாட்டுக் கெழுவைக் காண்க.

6. 8 மாணவர்கள் ஒரு நாளில் வீட்டுப் பாடத்தை முடிப்பதற்கு எடுத்துக் கொள்ளும் கால அளவுகள் (நிமிடங்களில்) பின்வருமாறு கொடுக்கப்பட்டுள்ளது. 38, 40, 47, 44, 46, 43, 49, 53. இத்தரவின் மாறுபாட்டுக் கெழுவைக் காண்க.

7. சத்யா மற்றும் வித்யா இருவரும் 5 பாடங்களில் பெற்ற மொத்த மதிப்பெண்கள் முறையே 460 மற்றும் 480 ஆகும். மேலும் அதன் திட்ட விலக்கங்கள் முறையே 4.6 மற்றும் 2.4 எனில், யாருடைய செயல்திறன் மிகுந்த நிலைத் தன்மை கொண்டது?

8. ஒரு வகுப்பில் உள்ள 40 மாணவர்கள், கணிதம், அறிவியல் மற்றும் சமூக அறிவியல் ஆகிய மூன்று பாடங்களில் பெற்ற மதிப்பெண்களின் சராசரி மற்றும் திட்ட விலக்கம் கீழே கொடுக்கப்பட்டுள்ளன.

இந்த மூன்று பாடங்களில் எது அதிக நிலைத் தன்மை கொண்டது மற்றும் எது குறைந்த நிலைத்தன்மை கொண்டது?

9. இரண்டு நகரங்கள் A மற்றும் B -யின் குளிர் காலத்தில் நிலவும் வெப்பநிலை அளவுகள் கீழே கொடுக்கப்பட்டுள்ளன. நகரம் A-ன் வெப்பநிலை (டிகிரி செல்சியஸ்) : 18 ,20, 22, 24, 26 நகரம் B-ன் வெப்பநிலை (டிகிரி செல்சியஸ்) : 11, 14, 15, 17, 18
எந்த நகரமானது வெப்பநிலை மாறுபாடுகளில் அதிகமான நிலைத்தன்மை கொண்டது?

விடைகள்:
1. 52%
2. 4.69
3. 7.2
4. 180.28%
5. 14.4%
6. 10.07%
7. வித்யா
8. சமுக அறிவியல், அறிவியல்
9. நகரம் A