கேள்விகளுக்கான பதில்கள், தீர்வுகள் - பயிற்சி 9.8 : வரம்பிற்குட்பட்ட தளத்தின் பரப்பை தொகையிடல் மூலம் காணல் (Evaluation of a Bounded Plane Area by Integration) | 12th Maths : UNIT 9 : Applications of Integration
பயிற்சி 9.8
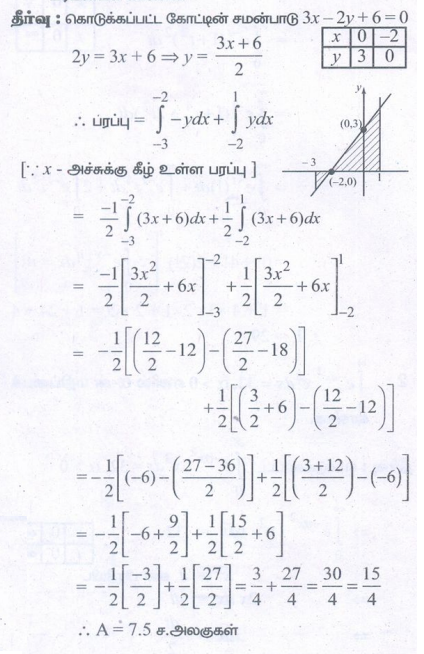
1. 3x - 2y + 6 = 0, x = -3, x = 1 மற்றும் x-அச்சு ஆகியவற்றால் அடைபடும் அரங்கத்தின்பரப்பைக் காண்க.

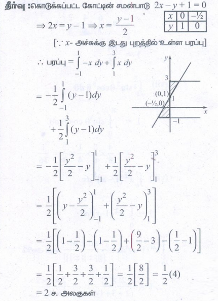
2. 2x – y + 1 = 0, y = -1, y = 3 மற்றும் y-அச்சு ஆகியவற்றால் அடைபடும் அரங்கத்தின்பரப்பைக் காண்க.

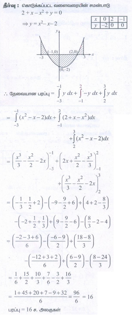
3. வளைவரை, 2 + x – x2 + y = 0, x-அச்சு , x = -3 மற்றும் x = 3 ஆகியவற்றால் அடைப்படும்அரங்கத்தின் பரப்பைக் காண்க.

4. கோடு y = 2x + 5 மற்றும் பரவளையம் y = x2 - 2x ஆகியவற்றால் அடைபடும் அரங்கத்தின்பரப்பைக் காண்க.

5. வளைவரைகள் y = sin x , y = cos x மற்றும் கோடுகள் x = 0 மற்றும் x = π ஆகியவற்றுக்குஇடையே அடைபடும் அரங்கத்தின் பரப்பைக் காண்க.

6. y = tan x, y = cot x மற்றும் கோடுகள் x = 0, x = π/2 -, y = 0 ஆகியவற்றால் அடைபடும்அரங்கத்தின் பரப்பைக் காண்க.

7. பரவளையம் y2 = x மற்றும் கோடு y = x - 2 ஆகியவற்றால் அடைபடும் அரங்கத்தின்பரப்பைக் காண்க.

8. ஒரு குடும்பத் தலைவர், x = 0 , x = 4, y = 4 மற்றும் y = 0 ஆகியவற்றால் அடைபடும் சதுரநிலத்தின் பரப்பை y2 = 4x மற்றும் x2 = 4y என்ற வளைவரைகளின் வாயிலாக தன்னுடைய மனைவி, மகள் மற்றும் மகன் ஆகியோர்களுக்கு மூன்று சம்பாகங்களாகப் பிரிக்க விரும்புகிறார். அவ்வாறு பிரிக்க இயலுமா? பிரிக்க இயலும் எனில் ஒவ்வொருவருக்கும் கிடைக்கும் பரப்பைக் காண்க.

9. P என்பது y = (x – 2)2 + 1 என்ற வளைவரைக்கு ஒரு மீச்சிறு புள்ளி. Q என்ற புள்ளியானது, PO-ன் சாய்வு 2 உள்ளவாறு வளைவரையின் மேல் உள்ளது எனில் வளைவரைக்கும் நாண் PQ-க்கும் இடையில் அடைப்படும் பரப்பைக் காண்க.

10. x2 + y2 =16 என்ற வட்டத்திற்கும் y2 = 6x என்ற பரவளையத்திற்கும் பொதுவானஅரங்கத்தின் பரப்பைக் காண்க.

விடைகள் :
1. 7.5
2. 2
3. 15
4. 36
5. 2√2
6. log 2
7. 9/2
8. yes, 16/3
9. 4/3
10. 4/3 ( 4π + √3)