தொகை நுண்கணிதத்தின் பயன்பாடுகள் | கணிதவியல் - காமா தொகையிடல் (Gamma Integral) | 12th Maths : UNIT 9 : Applications of Integration
காமா தொகையிடல் (Gamma Integral)
இப்பகுதியில் ∞∫0 e −x xn−1dx , n ஓரு மிகை முழுக்கள் என்ற சிறப்பு வகை முறையற்ற தொகையிடலைப் பற்றி படிப்போம்.

லோபிதாலின் விதிப்படி m என்ற முழுக்களின் ஒவ்வொரு எண்ணிற்கும் நாம் பெறுவது

எடுத்துக்காட்டு 9.43
n ஓர் மிகை முழுக்கள் எனில் ∞∫0 e−x xn dx = n!, என நிறுவுக.
தீர்வு
பகுதித் தொகையிடலைப் பயன்படுத்த நாம் பெறுவது

In = ∞∫0 e−x xn dx . எனவே, In = nIn−1 என்க.
மேலும் In = n ( n −1)In−2
இதே வழியை பின்பற்ற கடைசியாக நாம் பெறுவது
In = n ( n − 1)( n − 2) ---- ( 2)(1)I0 .
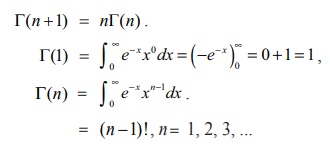
ஆனால், I0 = ∞∫0 e −x x0dx = ( −e−x)∞0 = 0 +1 = 1. எனவே நாம் பெறுவது
In = n (n − 1)(n − 2) … (2)(1) = n!.
முடிவு
∞∫0 e −x xn dx = n!, n என்பது மிகை முழுக்கள்.
குறிப்பு
∞∫0 e−x xn−1dx என்ற தொகையிடலானது ஒரே ஒரு மிகை முழு எண் n ≥ 1-க்கு வரையறுக்கப்பட்டு உள்ளது.
வரையறை 9.1
∞∫0 e −x xn−1dx என்பது காமா தொகையிடல் (gamma integral) என அழைக்கப்படும். இதை T(n) என்ற குறியீட்டில் எழுதுவோம் மற்றும் “காமா n” எனப் படிப்போம்.
குறிப்பு

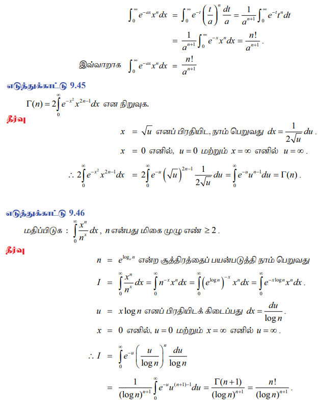
எடுத்துக்காட்டு 9.44
மதிப்பிடுக : ∞∫0 e −ax xn dx , a > 0.
தீர்வு
t = ax என்க . dt = adx. x = 0 ⇒ t = 0 மற்றும் x = ∞ ⇒ t = ∞
எனவே, நாம் பெறுவது
