வெவ்வேறு வகைகள், சூத்திரம், தீர்க்கப்பட்ட எடுத்துக்காட்டு கணக்குகள் | கணிதம் - பரவல் அளவைகள் | 10th Mathematics : UNIT 8 : Statistics And Probability
பரவல் அளவைகள் (Measures of Dispersion)
கடந்த 10 போட்டிகளில் இரண்டு மட்டைப் பந்தாட்ட வீரர்கள் எடுத்த ஓட்டங்களின் எண்ணிக்கையை பின்வரும் தரவுப் புள்ளிகள் குறிக்கின்றன.
மட்டை வீரர் A: 25, 20, 45, 93, 8, 14, 32, 87, 72, 4
மட்டை வீரர் B: 33, 50, 47, 38, 45, 40, 36, 48, 37, 26

இரண்டு தரவுகளின் சராசரி 40 ஆகும். ஆனால் அவை குறிப்பிடத்தக்க வேறுபாட்டினைக் கொண்டிருக்கின்றன.

மேலேயுள்ள வரைபடத்திலிருந்து மட்டைப் பந்தாட்ட வீரர் B-யின் சராசரி ஓட்டங்கள் சராசரிக்கு அருகில் காணப்படுகின்றன. ஆனால் மட்டைப் பந்தாட்ட வீரர் A-யின் ஓட்டங்கள் 0 முதல் 100 வரை சிதறியிருக்கின்றன. எனினும் இவ்விருவரின் சராசரி சமமாகவே உள்ளது.
இதனால் தரவுகளின் மதிப்புகள் எவ்வாறு பரவுகின்றன என்பதைத் தீர்மானிக்கச் சில கூடுதல் புள்ளியியல் தகவல்கள் தேவைப்படுகின்றது. இதற்காக நாம் பரவல் அளவைகளைப் பற்றி விவாதிக்கலாம்.
பரவல் அளவையானது மதிப்புகள் பரவியுள்ளதைப் பற்றி அறிய உதவும். மேலும், ஒரு தரவில் கொடுக்கப்பட்டுள்ள தரவுப் புள்ளிகள் இந்தத் தரவில் எவ்வாறு பரவியுள்ளன என்ற கருத்தைத் தெரிவிக்கும்.
பரவல்களின் பல்வேறு அளவைகள்
1. வீச்சு
2. சராசரி விலக்கம்
3. கால்மான விலக்கம்
4. திட்ட விலக்கம்
5. விலக்க வர்க்க சராசரி
6. மாறுபாட்டுக் கெழு
1. வீச்சு (Range)
தரவில் கொடுக்கப்பட்ட மிகப் பெரிய மதிப்பிற்கும் மிகச் சிறிய மதிப்பிற்கும் உள்ள வேறுபாடு வீச்சு எனப்படும்.
வீச்சு R = L – S
வீச்சின் குணகம் (அ) கெழு = (L –S) / (L + S)
இங்கு L - தரவுப் புள்ளிகளின் மிகப் பெரிய மதிப்பு
S - தரவுப் புள்ளிகளின் மிகச் சிறிய மதிப்பு
முன்னேற்றச் சோதனை
முதல் பத்து பகா எண்களின் வீச்சு ______ ஆகும்.
எடுத்துக்காட்டு 8.1
கொடுக்கப்பட்ட தரவுப் புள்ளிகளுக்கு வீச்சு மற்றும் வீச்சுக்கெழு ஆகியவற்றைக் காண்க: 25, 67, 48, 53, 18, 39, 44.
தீர்வு
மிகப் பெரிய மதிப்பு, L = 67; மிகச் சிறிய மதிப்பு, S = 18
வீச்சு R = L −S = 67 −18 = 49
வீச்சுக் கெழு = (L –S) / (L + S)
வீச்சுக் கெழு = (67 – 18) / (67 +18) = 49/85 = 0.576
எடுத்துக்காட்டு 8.2
கொடுக்கப்பட்ட பரவலின் வீச்சு காண்க.

தீர்வு
இங்கு மிகப் பெரிய மதிப்பு L = 28
மிகச் சிறிய மதிப்பு S = 18
வீச்சு R = L – S
R = 28 – 18 = 10 வருடங்கள்
குறிப்பு
முதல் இடைவெளியின் நிகழ்வெண் ஆனது பூச்சியம் எனில், அடுத்த இடைவெளியின் நிகழ்வெண்ணைப் பயன்படுத்தி வீச்சு கணக்கிட வேண்டும்.
எடுத்துக்காட்டு 8.3
ஒரு தரவின் வீச்சு 13.67 மற்றும் மிகப் பெரிய மதிப்பு 70.08 எனில் மிக சிறிய மதிப்பைக் காண்க.
தீர்வு
வீச்சு, R = 13.67
மிகப் பெரிய மதிப்பு, L = 70.08
வீச்சு, R = L –S
13.67 = 70.08 – S
S = 70.08 - 13.67 = 56.41
எனவே, மிகச் சிறிய மதிப்பு 56.41.
குறிப்பு
வீச்சின் மூலமாக மையப் போக்கு அளவைகளிலிருந்து தரவுகளின் பரவலைத் துல்லியமாக அறிய முடியாது. எனவே, மையப்போக்கு அளவைகளிலிருந்து விலகல் சார்ந்த அளவு நமக்கு தேவைப்படுகிறது.
2. சராசரியிலிருந்து விலகல் (Deviations from the mean)
கொடுக்கப்பட்ட x1, x2, ...... xn ,என்ற n தரவுப்புள்ளிகளுக்கு
என்பன சராசரி
-லிருந்து உள்ள விலகல்கள் ஆகும்.
3. சராசரியிலிருந்து விலக்க வர்க்கம் (Squares of deviations from the mean)
x1, x2, . . . . , xn ஆகியவைகளின் சராசரி
-லிருந்து உள்ள விலகல்களின் வர்க்கங்கள்
அல்லது
ஆகும்.
குறிப்பு
எல்லா xi , i = 1,2,3,…,n. மதிப்புகளுக்கும் (xi −
) ≥ 0 என்பது குறிப்பிடத்தக்கது. சராசரியிலிருந்து உள்ள விலகல் (xi -
) சிறியது எனில், சராசரி விலக்கங்களின் வர்க்கம் மிகச்சிறியது ஆகும்.
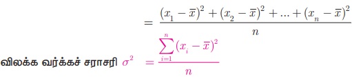
4. விலக்க வர்க்கச் சராசரி (Variance)
தரவுத் தொகுப்பிலுள்ள ஒவ்வொரு தரவுப் புள்ளிக்கும், அதன் கூட்டு சராசரிக்கும் இடையே உள்ள வித்தியாசங்களை வர்க்கப்படுத்தி, அந்த வர்க்கங்களுக்கு சராசரி காண்பது விலக்க வர்க்கச் சராசரி ஆகும். இதை σ2 என்று குறிக்கலாம்.
விலக்க வர்க்கச் சராசரி = விலக்கத்தின் வர்க்கத்தின் சராசரி

சிந்தனைக் களம்
விலக்க வர்க்கச் சராசரி ஒரு குறை எண்ணாக இருக்க முடியுமா?
5. திட்ட விலக்கம் (Standard Deviation)
விலக்க வர்க்கச் சராசரியின் மிகை வர்க்கமூலம் திட்டவிலக்கம் எனப்படும்.
திட்ட விலக்கமானது, எவ்வாறு ஒவ்வொரு மதிப்பு கூட்டு சராசரியிலிருந்து பரவி அல்லது விலகி உள்ளது என்பதைத் தெளிவுபடுத்துகிறது.


உங்களுக்குத் தெரியுமா?
கார்ல் பியர்சன், முதன்முதலில் “திட்டவிலக்கம்” என்ற வார்த்தையைப் பயன்படுத்தியவராவார். “சராசரி பிழை” என்ற வார்த்தையை முதன்முதலில் பயன்படுத்தியவர் ஜெர்மன் கணிதவியலாளர் காஸ் ஆவார்.
தொகுக்கப்படாத தரவுகளின் திட்ட விலக்கம் காணுதல்
(i) நேரடி முறை

குறிப்பு
கொடுக்கப்பட்ட தரவுகளுக்குத் திட்டவிலக்கம் மற்றும் சராசரி ஒரே அலகில் அமையும்
குறிப்பு
· திட்டவிலக்கம் காணும்போது, தரவுப் புள்ளிகள் ஏறுவரிசையில் இருக்க வேண்டிய அவசியம் இல்லை.
· தரவுப் புள்ளிகள் நேரடியாகக் கொடுக்கப்பட்டிருந்தால் திட்ட விலக்கம் காண σ =
என்ற சூத்திரத்தைப் பயன்படுத்தலாம்.
· தரவுப் புள்ளிகள் நேரடியாகக் கொடுக்கப்படவில்லை, ஆனால் சராசரியிலிருந்து பெறப்பட்ட விலக்கங்களின் வர்க்கங்கள் கொடுக்கப்பட்டிருந்தால், நாம் திட்ட விலக்கம் காண σ =
என்ற சூத்திரத்தைப் பயன்படுத்தலாம்
எடுத்துக்காட்டு 8.4
ஒரு வாரத்தின் ஒவ்வொரு நாளிலும் விற்கப்பட்ட தொலைக்காட்சிப் பெட்டிகளின் எண்ணிக்கை பின்வருமாறு 13, 8, 4, 9, 7, 12, 10. இந்தத் தரவின் திட்ட விலக்கம் காண்க.
தீர்வு

சிந்தனைக் களம்
திட்டவிலக்கம், விலக்க வர்க்கச் சராசரியை விடப் பெரிதாக இருக்க முடியுமா?
முன்னேற்றச் சோதனை
விலக்க வர்க்கச் சராசரி 0.49 எனில், திட்ட விலக்கமானது ___________
(ii) கூட்டு சராசரி முறை
திட்ட விலக்கத்தை காண கீழ்க்காணும் மற்றொரு சூத்திரத்தையும் பயன்படுத்தலாம்.
திட்ட விலக்கம் (கூட்டு சராசரி முறை) σ = 
இங்கு, di = xi –
எனில், 
எடுத்துக்காட்டு 8.5
ஒரு குறிப்பிட்ட பருவத்தில் 6 நாட்களில் பெய்யும் மழையின் அளவானது 17.8 செ.மீ, 19.2 செ.மீ, 16.3 செ.மீ, 12.5 செ.மீ, 12.8 செ.மீ, 11.4 செ.மீ எனில், இந்த தரவிற்கு திட்டவிலக்கம் காண்க.
தீர்வு
கொடுக்கப்பட்ட தரவின் ஏறுவரிசையில் எழுதக்கிடைப்பது 11.4, 12.5, 12.8, 16.3, 17.8, 19.2 ஆகும்.
தரவுப் புள்ளிகளின் எண்ணிக்கை n = 6

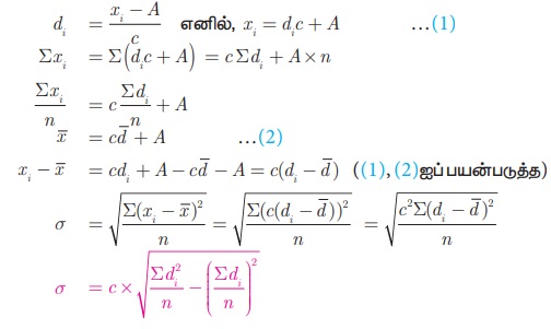
(iii) ஊகச் சராசரி முறை
சராசரியின் மதிப்பு முழுக்களாக இல்லாதபோது, ஊகச் சராசரி முறையைப் பயன்படுத்தி திட்ட விலக்கம் காண்பது சிறந்தது (ஏனெனில் தசமக் கணக்கீடுகள் சற்று கடினமாக இருக்கும் என்பதால்).
தரவுப் புள்ளிகளை x1, x2, x3, ..., xn என எடுத்துக் கொண்டால்
-ஐ அதன் சராசரியாக கொள்ளலாம்.
xi -யிலிருந்து ஊகச் சராசரி (A) யின் விலகலே di ஆகும். (A ஆனது கொடுக்கப்பட்ட தரவுகளின் இடைப்பட்ட ஒரு தரவுப்புள்ளி).
di= xi − A ⇒ xi = di + A ...(1)
Σdi= Σ(xi −A)
= Σxi −(A + A + A + . . . to n முறைகள்)
Σdi = Σxi – A × n

எடுத்துக்காட்டு 8.6
ஒரு வகுப்புத் தேர்வில், 10 மாணவர்களின் மதிப்பெண்கள் 25, 29, 30, 33, 35,37, 38, 40, 44, 48 ஆகும். மாணவர்கள் பெற்ற மதிப்பெண்களின் திட்ட விலக்கத்தைக் காண்க.
தீர்வு
மதிப்பெண்களின் சராசரி = 35.9. இந்த மதிப்பானது தரவுகளின் நடுமதிப்பாக அமையும். அதனால் நாம் ஊகச் சராசரி A = 35, என எடுத்துக் கொள்கிறோம், மேலும், n = 10.

(iv) படி விலக்க முறை
கொடுக்கப்பட்ட தரவுப் புள்ளிகளை x1, x2, x3,...xn எனக் கருதுவோம். இதன் ஊகச் சராசரியை A எனக் கொள்ளலாம்.
xi - A -ன் பொது வகுத்தி c என்க.

குறிப்பு
மேலே கொடுக்கப்பட்டுள்ள முறைகளில் ஏதேனும் ஒரு முறையைப் பயன்படுத்தித் திட்ட விலக்கத்தைக் காணலாம்.
செயல்பாடு 1
காலாண்டுத் தேர்வு மற்றும் முதல் இடைத் தேர்வு ஆகியவற்றில் ஐந்து பாடங்களில் நீங்கள் பெற்ற மதிப்பெண்களைக் கொண்டு தனித்தனியாகத் திட்டவிலக்கம் காண்க. விடைகளிலிருந்து நீங்கள் என்ன தெரிந்து கொண்டீர்கள்?
எடுத்துக்காட்டு 8.7
ஒரு பள்ளி சுற்றுலாவில் குழந்தைகள் தின்பண்டங்கள் வாங்குவதற்காக செலவு செய்த தொகையானது முறையே 5, 10, 15, 20, 25, 30, 35, 40 ஆகும். படி விலக்க முறையை பயன்படுத்தி அவர்கள் செய்த செலவிற்கு திட்ட விலக்கம் காண்க.
தீர்வு
கொடுக்கப்பட்ட எல்லா தரவுப் புள்ளிகளும் 5 ஆல் வகுபடும் எண்கள். அதனால் நாம் ஊகச் சராசரி முறையைப் பின்பற்றலாம் A = 20, n = 8.

எடுத்துக்காட்டு 8.8
கொடுக்கப்பட்டுள்ள தரவிற்கு திட்டவிலக்கம் காண்க. 7, 4, 8, 10, 11. இதன் எல்லா மதிப்புகளுடனும் 3-யை கூட்டும் போது கிடைக்கும் புதிய தரவிற்கு திட்டவிலக்கம் காண்க.
தீர்வு
கொடுக்கப்பட்ட தரவுப் புள்ளிகளின் ஏறு வரிசை 4, 7, 8, 10, 11 மற்றும் n = 5

அனைத்து தரவுப் புள்ளிகளையும் 3 ஆல் கூட்டும் போது, நமக்கு கிடைக்கும் புதிய தரவுப் புள்ளிகள் 7,10,11,13,14 ஆகும்.

கொடுக்கப்பட்ட ஒவ்வொரு தரவுப் புள்ளியுடன் ஏதேனும் மாறிலி k-யைக் கூட்டினால், திட்ட விலக்கம் மாறாது.
எடுத்துக்காட்டு 8.9
கொடுக்கப்பட்ட தரவின் திட்ட விலக்கம் காண்க 2,3,5,7,8. ஒவ்வொரு தரவுப் புள்ளியையும் 4 -ஆல் பெருக்கினால் கிடைக்கும் புதிய தரவின் மதிப்பிற்கு திட்ட விலக்கம் காண்க.
தீர்வு
கொடுக்கப்பட்டவை, n = 5

அனைத்து தரவுப் புள்ளிகளையும் 4ஆல் பெருக்கக் கிடைக்கும் புதிய தரவுப் புள்ளிகள் 8,12,20,28,32 ஆகும்.

கொடுக்கப்பட்ட ஒவ்வொரு தரவுப் புள்ளியையும் மாறிலி k-ஆல் பெருக்கும்போது கிடைக்கும் புதிய தரவின் திட்ட விலக்கம் k மடங்காக அதிகரிக்கிறது.
எடுத்துக்காட்டு 8.10
முதல் n இயல் எண்களின் சராசரி மற்றும் விலக்க வர்க்கச் சராசரிகளைக் காண்க.
தீர்வு

தொகுக்கப்பட்ட தரவின் திட்ட விலக்கம் கணக்கிடல்
(i) சராசரி முறை

எடுத்துக்காட்டு 8.11
ஒரு குறிப்பிட்ட வாரத்தில் 48 மாணவர்கள் தொலைக்காட்சி பார்ப்பதற்காகச் செலவிட்ட நேரம் கேட்டறியப்பட்டது. அந்தத் தகவலின் அடிப்படையில், கீழ்க்காணும் தரவின் திட்டவிலக்கம் காண்க.

தீர்வு

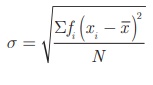
(ii) ஊகச் சராசரி முறை
x1, x2, x3 , ...xn ஆகிய தரவுப் புள்ளிகளின் நிகழ்வெண்கள் முறையே f1 , f2, f3 , ... fn என்றும்
என்பது சராசரி மற்றும் A என்பது ஊகச் சராசரி என்க.

எடுத்துக்காட்டு 8.12
வகுப்புத் தேர்வில் மாணவர்கள் பெற்ற மதிப்பெண்கள் கீழே கொடுக்கப்பட்டுள்ளன. அவர்களின் மதிப்பெண்ணிற்குத் திட்ட விலக்கம் காண்க.

தீர்வு

2. தொடர் நிகழ்வெண் பரவலின் திட்ட விலக்கத்தினைக் கணக்கிடுதல்
(i) சராசரி முறை
திட்ட விலக்கம்
, இங்கு xi என்பது i-ஆவது இடைவெளியின் மைய மதிப்பு fi என்பது i-ஆவது இடைவெளியின் நிகழ்வெண்.
(ii) எளிய முறை (அல்லது) படி விலக்க முறை
கணக்கீட்டைச் சுலபமாகச் செய்யக் கீழ்க்கண்ட சூத்திரம் கொடுக்கப்பட்டுள்ளது. இங்கு, A என்பது ஊகச் சராசரி, xi என்பது i -ஆம் இடைவெளியின் மைய மதிப்பு, மேலும் c என்பது இடைவெளியின் அகலம் ஆகும்.

எடுத்துக்காட்டு 8.13
ஒரு வகுப்பிலுள்ள மாணவர்கள், குறிப்பிட்ட பாடத்தில் பெற்ற மதிப்பெண்கள் கீழ்க்கண்டவாறு கொடுக்கப்பட்டுள்ளன.

இத்தரவிற்குத் திட்ட விலக்கம் காண்க.
தீர்வு
ஊகச் சராசரி, A = 35, c = 10

சிந்தனைக் களம்
(1) ஒரு தரவின் திட்டவிலக்கமானது 2.8 அனைத்துத் தரவுப் புள்ளிகளுடன் 5-ஐக் கூட்டினால் கிடைக்கும் புதிய திட்ட விலக்கமானது ____________.
(2) p, q, r ஆகியவற்றின் திட்ட விலக்கமானது S எனில், p- 3, q-3, r-3-யின் திட்ட விலக்கமானது _____________ ஆகும்.
எடுத்துக்காட்டு 8.14
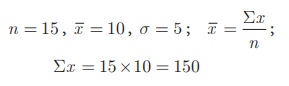
15 தரவுப் புள்ளிகளின் சராசரி மற்றும் திட்ட விலக்கம் முறையே 10, 5 என கண்டறியப்பட்டுள்ளது. அதை சரிபார்க்கும் பொழுது, கொடுக்கப்பட்டுள்ள ஒரு தரவுப் புள்ளி 8 என தவறுதலாக குறிக்கப்பட்டுள்ளது. அதன் சரியான தரவுப்புள்ளி 23 என இருந்தால் சரியான தரவின் சராசரி மற்றும் திட்ட விலக்கம் காண்க.
தீர்வு

தவறான மதிப்பு = 8, சரியான மதிப்பு = 23.
திருத்தப்பட்ட கூடுதல் = 150 – 8 + 23 = 165
