நிலைமத் திருப்புத்திறன் (MOMENT OF INERTIA)
திண்மப்பொருட்களின் இது பருப்பொருட்களாக கருதப்படுகிறது (Bulk object). திருப்புவிசை மற்றும் கோண உந்தத்தின் சமன்பாடுகளில் Σmi ri2 என்ற கோவையை (term) நாம் அறிந்துள்ளோம். இது மதிப்பு பருப்பொருளின் நிலைமத்திருப்புத்திறன் என்று அழைக்கப்படுகிறது mi புள்ளி நிறையானது அச்சிலிருந்து ri தொலைவில் உள்ள போது அதன் நிலைமத்திருப்புத்திறன் miri2
புள்ளி நிறையின் நிலைமத்திருப்புத்திறன்

பருப்பொருளின் நிலைமத்திருப்புத்திறன்

இடப்பெயர்வு இயக்கத்தில் நிறையை நிலைமத்தின் அளவாகவும், அதேபோல் சுழற்சி இயக்கத்தில் நிலைமதிருப்புத்திறனை சுழற்சியில் நிலைமமாகவும் நாம் கருதலாம். நிலைமத்திருப்புத்திறனின் அலகு kg m2 இதன் பரிமாண வாய்ப்பாடு ML2 பொதுவாக, பருப்பொருளின் நிறையானது மாறாதது (கிட்டத்தட்ட ஒளியின் திசைவேகத்தில் பயணிக்கும் பொருட்களைத் தவிர்த்து) ஆனால், நிலைமத்திருப்புத்திறன் மதிப்பானது மாறக்கூடியதாகும். இது பொருளின் நிறையை மட்டுமல்லாது சுழலும் அச்சைப் பொருத்து நிறை பரவி இருக்கும் தன்மையையும் சார்ந்துள்ளது. ஒரு பொருளில் சீராக பரவியுள்ள நிறையின் நிலைமைத்திருப்புத்திறனைக் கண்டறிய முதலில், நாம் பருப்பொருளின் மீநுண்நிறை (dm) யை ஒரு புள்ளி நிறையாகவும், அச்சைப்பொருத்து அதன் நிலையை (r) என்றும் கருதுவோம். அப்புள்ளி நிறையின் நிலைமத்திருப்புத்திறன்

எனக் குறிக்கலாம். பருப்பொருளின் மொத்த நிலைத்திருப்புத்திறனை மேற்கண்ட சமன்பாட்டை தொகையீடு செய்ய,

மேற்காணும் சமன்பாட்டை பயன்படுத்தி பொதுவான வடிவங்களான உலோகத்தண்டு, வளையம், வட்டத்தட்டு போன்ற பருப்பொருட்களின் நிலைமத்திருப்புத்திறனை கண்டறியலாம்.
சீரான நிறை அடர்த்தி கொண்ட திண்மத் தண்டின் (uniform rod) நிலைமத்திருப்புத்திறன்
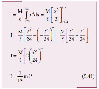
(M) நிறையும் (l) நீளமும் கொண்ட சீரான நிறை அடர்த்தி கொண்ட திண்மத் தண்டு படம் 5.21 இல் காட்டப்பட்டுள்ளது. அத்திண்மதண்டின் நிறைமையத்தின் வழியாகவும் அதன் நீளத்திற்கு செங்குத்தாகவும் செல்லும் அச்சைப் பொருத்து நிலைமத் திருப்புதிறனிற்கான சமன்பாட்டைப் பெறலாம். முதலில் ஆதிப்புள்ளியை ஆய அச்சு அமைப்பைத் திண்மத்தண்டின் வடிவியல் மையத்தில் அமைந்துள்ள நிறைமையத்துடன் பொருத்த வேண்டும். இப்பொழுது திண்மத்தண்டானது x அச்சில் அமைந்துள்ளதாகக் கருதுவோம். ஆதியிலிருந்து x தொலைவில் ஒரு மீநுண் நிறை (dm) ஐக் கருதுவோம்.

அச்சைப்பொருத்து, பொருளின் மீநுண் நிறையிற்கான (dm) நிலைமத்திருப்புத் திறன் (dI) எனில்,

நிறையானது சீராக பரவியுள்ள போது, ஓரலகு நீளமுள்ள தண்டின் நிறை λ = M/l
மிகச்சிறிய நீளமுள்ள தண்டின் நிறை
dm = λdx = M/l dx
திண்மத்தண்டின் நீளம் முழுவதற்கும் நிலைமத்திருப்புத்திறனைக் காண dI யை தொகையீடு செய்ய,

ஆதிப்புள்ளியின் இரு புறமும் நிறையானது பரவி இருப்பதால் தொகையீடு காண அதன் எல்லையை − l/ 2 முதல் l/ 2 வரை கருதுவோம்.

சீரான நிறை அடர்த்தி கொண்ட வட்ட வளையத்தின் (uniform ring) நிலைமத் திருப்புத்திறன்
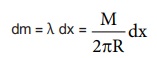
m நிறையும் R ஆரமும் கொண்ட சீரான நிறை அடர்த்தி கொண்ட வட்ட வளையத்தைக் கருதுக. வட்ட வளையத்தின் தளத்திற்கு செங்குத்தாகவும், அதன் மையம் வழிச்செல்லும் அச்சைப் பொருத்து நிலைமத் திருப்புத்திறனைக் காண அவ்வளையத்திலிருந்து மீநுண்நிறை dm ஆனது மிகச் சிறிய நீளம் dx தொலைவில் இருப்பதாக கொள்வோம். இதில் dm ஆனது R தொலைவில் உள்ளது எனக்கொண்டால், அத்தொலைவு படம் 5.22 இல் காட்டப்பட்டது போல் அச்சிலிருந்து வளையத்தின் ஆரத்தைக் குறிக்கிறது.

மீநுண்நிறை (dm) இன் நிலைமத் திருப்புத் திறன்.

வட்டவளையத்தின் நீளமானது அதன் சுற்றளவுக்குச் (2πR) சமமானது. நிறையானது சீராக பரவியுள்ள போது, ஓரலகு நீளமுள்ள நிறையின் மதிப்பு

மிகச்சிறிய நீளம் கொண்ட துண்டின் நிறை

வட்ட வளையம் முழுவதற்கான நிலைமத் திருப்புத்திறன்

வட்ட வளையத்தின் மொத்த நீளத்தையும் கணக்கிட, தொகையிடலுக்கான எல்லையை O முதல் 2πR என எடுத்துக் கொள்ள வேண்டும்.
நிலைமத்திருப்புத்திறன்

சீரான நிறை அடர்த்தி கொண்ட வட்டத்தட்டின் (uniform disk) நிலைமத் திருப்புத்திறன்
M நிறையும் R ஆரமும் கொண்ட வட்டத்தட்டைக் கருதுக. படத்தில் காட்டப்பட்டது போல வட்டத்தட்டானது மிகச்சிறிய வளையங்களால் ஆக்கப்பட்டுள்ளது. இதில் ஒரு வளையத்தின் மீநுண் நிறை dm மிகச்சிறிய தடிமன் dr, மற்றும் ஆரம் r எனக் கொள்க. மிகச்சிறிய வட்ட வளையத்தின் நிலைமத் திருப்புத்திறன் dI ஆனது.

நிறையானது சீராக இருப்பதால்

இங்கு 2πr dr என்பது மிகச் சிறிய வளையத்தின் பரப்பு, (2πr என்பது அதன் நீளம் மற்றும் dr என்பது அதன் தடிமன்) என்றால் 

வட்டத்தட்டு முழுவதற்குமான நிலைமத் திருப்புத்திறன் (I) கீழ்க்கண்ட தொடர்பின் படி,

ஒழுங்கான உருவ அமைப்பு கொண்ட பருப்பொருட்களின் நிறையானது சீராக பரவி உள்ளது எனக் கருதினால், அச்சைப் பொருத்த நிலைமத் திருப்புத்திறனிற்கான சமன்பாடு என்பது அதன் மொத்த நிறை மற்றும் வடிவியல் அம்சங்களான ஆரம், நீளம், அகலம் போன்றவற்றையும், பொருளின் அளவு மற்றும் வடிவம் ஆகியவற்றையும் உள்ளடக்கியது என்பதை கவனத்தில் கொள்ள வேண்டும். ஆனால் நமக்குத் தேவையான நிலைமத் திருப்புத்திறனிற்கான கோவை என்பது பொருளின் நிறை, வடிவம், அளவு மட்டுமல்லாமல் சுழலும் அச்சைப் பொருத்து அதன் நிலையையும் சேர்த்ததாக இருக்க வேண்டும். இது போன்ற சமன்பாடானது சீரற்ற வடிவம் மற்றும் சீரற்ற நிறை பரவல் கொண்ட பொருட்களுக்கும் பொருந்தக்கூடிய பொதுவான சமன்பாடு ஆகும். நிலைமத் திருப்புத்திறனின் பொதுவான சமன்பாடு

இங்கு, M என்பது பொருளின் மொத்த நிறை மற்றும் K என்பது சுழற்சி ஆரம் என்று அழைக்கப்படுகிறது. ஒரு பொருளின் சுழற்சி ஆரம் என்பது சுழலும் அச்சிலிருந்து சமான புள்ளி நிறை துகளின் செங்குத்துத் தொலைவு ஆகும். இந்த சமான புள்ளி நிறையானது பொருளின் ஒத்த நிறையையும், நிலைமத் திருப்புத்திறனையும் பெற்றிருக்க வேண்டும்.
சுழற்சி ஆரத்தின் அலகு, தொலைவைப் போன்றே மீட்டர் (m) ஆகும். அதன் பரிமாணம் [L] ஆகும். சுழற்சி இயக்கத்தில் இருக்கும் திண்மப் பொருளானது
m1,m2,m3,...mn என்ற புள்ளி நிறைகளால் ஆனதாகக் கருதுவோம். இந்த நிறைகள் சுழற்சி அச்சிலிருந்து முறையோ, r1,r2,r3....rn தொலைவில் உள்ளன என்க படம் 5.24 இல் காட்டப்பட்டுள்ளது.

அந்தப் பொருளின் நிலைமத்திருப்புத்திறன் பின்வருமாறு எழுதப்படுகிறது

“n” எண்ணிக்கை கொண்ட அனைத்து புள்ளி நிறைகளின் நிறையை சமம் எனக் கொண்டால்

பிறகு,

இங்கு, nm என்பது பொருளின் மொத்த நிறை M மற்றும் K என்பது சுழற்சி ஆரம் ஆகும்.

மேலே உள்ள சமன்பாட்டில் சுழற்சி ஆரம் K என்பது, சுழலும் அச்சைப் பொருத்து புள்ளி நிறைகளின் செங்குத்து தொலைவின் இருமடி மூலத்தின் சராசரியின் வர்க்கத்திற்கு சமமாகும்.
எனவே, எந்தவொரு பொருளின் நிலைமத் திருப்புத்திறனையும் I = MK2 என்ற சமன்பாட்டின் படி கூற இயலும்.
உதாரணமாக, M நிறையும் மற்றும்
நீளமும் கொண்ட ஒரு சீரான நிறை அடர்த்தி கொண்ட திண்மத்தண்டின் நிலைமத்திருப்புத்திறனை எடுத்துக் கொள்க. நிறைமையத்திற்கு செங்குத்தாகச் செல்லும் அச்சிலிருந்து நிலைமைத் திருப்புத்திறன் I = (1/12) Ml2

ஒரு பொருளின் நிலைமத் திருப்புத்திறனானது சுழலும். அச்சை சார்ந்திருப்பது மட்டுமல்லாமல், அச்சிலிருந்து சுழலும் திசையமைப்பைப் பொருத்தும், வெவ்வேறான அச்சுகளைப் பொருத்தும் மாறுபடும். சுழலும் அச்சுக்களை இடப்பெயர்வு செய்து நிலைமத் திருப்புதிறனைக் காண்பதற்குத் தேவையான இரு முக்கியமான தேற்றங்களைப் பயிலவுள்ளோம்.
(i) இணையச்சுத் தேற்றம்
பொருளின் எந்தவொரு அச்சைப்பற்றிய நிலைமத் திருப்புத்திறனானது நிறை மையத்தின் வழியே செல்லும் இணை அச்சைப் பற்றிய நிலைமத் திருப்புத் திறன் மற்றும் பொருளின் நிறையையும் இரு அச்சுகளுக்கு இடைப்பட்ட தொலைவின் இருமடியையும் பெருக்கி வரும் பெருக்கற்பலன் ஆகியவற்றின் கூடுதலுக்குச் சமமாகும்.
M நிறை கொண்ட பொருளின் நிறை மையத்தின் வழியாகச் செல்லும் அச்சைப் பொருத்த நிலைமத் திருப்புத்திறன் IC எனில் d தொலைவில் இவ்வச்சிற்கு இணையான அச்சைப் பற்றிய நிலைமத்திருப்புத் திறன்,

திண்மப்பொருள் ஒன்றினை படம் 5.25 இல் உள்ளது போல் கருதுக. நிறை மையம் C யின் வழிச் செல்லும் அச்சு AB க்கு இணையாகவும், AB யிலிருந்து d செங்குத்துத் தொலைவில் மற்றொரு அச்சு DE யைப் பொருத்து பொருளின் நிலைமத்திருப்புத்திறன் I என்க. திருப்புத்திறன் I இன் சமன்பாட்டை IC யை கொண்டு தருவிக்க முயற்சிக்கலாம். இதற்கு பொருளின் நிறை மையத்திலிருந்து x தொலைவில் அமைந்துள்ள புள்ளி நிறை m ஐ எடுத்துக் கொள்வோம். DE அச்சைப் பொருத்து புள்ளி நிறையின் நிலைமத் திருப்புத் திறன் m (x+d)2.
உடல் பருமன், திருப்பு விசை மற்றும் நிலைமத் திருப்புத்திறன்

உடல் பருமன், மற்றும் அதனோடு கூடிய உடல் உபாதைகளான முதுகு வலி, மூட்டு வலி போன்றவை உடலின் நிறைமையத்தின் இடப்பெயர்வினால் ஏற்படுகிறது. நிறைமையத்தின் இடப்பெயர்வினால் சமானமற்ற (unbalanced) திருப்பு விசை செயல்பட்டு இந்த உடல் உபாதைகளுக்கு காரணமாகிறது. உடலின் மைய அச்சிலிருந்து நிறையானது தூரமாக பரவி இருப்பதால் உடலின் நிலைமத்திருப்புத்திறன் அதிகரிக்கிறது இதனால் உடலை திருப்புவது கடினமாக இருக்கும்.

மேலும் இச்சமன்பாட்டை தீர்க்க

இங்கு, ∑mx2 என்பது நிறைமையம் வழிச் செல்லும் அச்சைப் பற்றிய நிலைமத் திருப்புத்திறனாகும். IC = ∑mx2
மேலும், ∑mx = 0, ஏனென்றால் x என்பது AB ஐயைப் பொருத்து நேர் மற்றும் எதிர்க்குறி மதிப்புகளைப் பெற்றிருக்கும். இவற்றின் கூடுதல் (∑mx) சுழியாகும்.

எனவே,
இங்கு ∑m என்பது பொருளின் மொத்த நிறையைக் குறிக்கும் (∑m = M)
I = IC + Md2

இணை அச்சுத் தேற்றம் நிரூபிக்கப்பட்டது.
(ii) செங்குத்து அச்சுத் தேற்றம்
இந்தத் தேற்றமானது மெல்லிய பொருட்களுக்கு மிகவும் பொருத்தமானது. மெல்லிய சமதளப் பரப்பிற்கு செங்குத்தான அச்சைப் பற்றிய நிலைமத் திருப்புத்திறனானது அந்த தளத்திலேயே அமைந்த ஒன்றுக்கொன்று செங்குத்தான இரு அச்சுகளைப் பற்றிய நிலைமத்திருப்புத்திறன்களின் கூடுதலுக்கு சமம். இந்த மூன்று அச்சுகளும் ஒன்றுக்கொன்று செங்குத்தகவும் ஒரு பொதுப் புள்ளியில் சந்திக்குமாறு அமைந்திருக்கும்.
X மற்றும் Y அச்சுகளினால் ஆன தளத்தில் Z அச்சுக்கு செங்குத்தான மெல்லிய பொருளின் தளம் எனது Z அச்சிற்கு செங்குத்தாக அமைந்துள்ளது எனக் கொள்க. X மற்றும் Y அச்சுகளைப் பொருத்த நிலைமத் திருப்புத் திறன்கள் முறையோ Ix மற்றும் Iy எனில் Z அச்சைப் பொருத்த நிலைமத் திருப்புத்திறன் Iz ஆகும். எனவே, செங்குத்து அச்சுத் தேற்றத்தின் சமன்பாடு ,
IZ =IX +IY (5.47)

இதனை நிரூபிக்க புறக்கணிக்கத்தக்க (negligible) தடிமன் கொண்ட மெல்லிய பொருளின் மீது ஆதிப்புள்ளி O வைக் கருதுக. படம் 5.26 இல் காட்டப்பட்டது போல் Z அச்சுக்கு செங்குத்தாக X, Y அச்சுகளால் ஆன தளம் உள்ளது. இம்மெல்லிய பொருளானது m நிறை கொண்ட பல துகள்களால் ஆனது எனக் கொள்க விலிருந்து ஆய புள்ளிகள் (x, y) உடைய P என்ற புள்ளியை எடுத்துக் கொள்வோம்.

Z அச்சைப் பொருத்து துகளின் நிலைமத் திருப்புத் திறன் mr2
Z அச்சைப் பொருத்து மெல்லிய பொருளிள் முழுவதற்குமான நிலைமத்திருப்புத் திறன் IZ = ∑mr2
இங்கு , r2 = x2 +y2
எனவே, IZ = ∑m ( x2 + y2 )
IZ = ∑m x2 + ∑m y2

இதில் Σmx2 என்பது Y அச்சைப் பொருத்து நிலைமத் திருப்புத்திறனாகவும், அதேபோல் Σmy2 என்பது X அச்சைப் பொருத்த நிலைமத்திருப்புத் திறன் எனப்படும். எனவே,

செங்குத்து அச்சுத் தேற்றம் நிரூபிக்கப்பட்டது.
வெவ்வேறு வடிவமுடைய திண்மப் பொருட்களின் நிலைமத்திருப்புத்திறன்
வெவ்வேறு வடிவமுடைய வெவ்வேறு அச்சுகளை பொருத்த நிலைமத்திருப்புத்திறன்கள் அட்டவணை 5.3 இல் கொடுக்கப்பட்டுள்ளது.


தீர்க்கப்பட்ட எடுத்துக்காட்டு கணக்குகள் சீரான நிறை அடர்த்தி கொண்ட வட்டத்தட்டின் நிலைமத் திருப்புத்திறன்
எடுத்துக்காட்டு 5.14
சீரான நிறை அடர்த்தி கொண்ட திண்மத்தண்டின் நிலைமத் திருப்புத்திறனை அதற்கு செங்குத்தாகவும் ஏதேனும் ஒரு முனையின் வழியே செல்லும் அச்சைப்பொருத்து காண்க.
தீர்வு
நிலைமத் திருப்புத்திறனிற்கான கருத்துருவானது முந்தைய வருவித்தலின்படி தொகையீடு செய்து சமன்பாட்டைப் பெறலாம். இப்பொழுது திண்மத்தண்டின் இடது முனையினை ஆதியாகக் கொண்டு தொகையீடு காண எல்லையை 0 முதல் l எனக் கருதினால்,

வெவ்வேறான அச்சின் நிலைகளைப் பொருத்து சீரான நிறை அடர்த்தி கொண்ட திண்மத்தண்டின் நிலைமத் திருப்புத்திறன் வேறுபடுகிறது. பொருளின் வெளிப்புறத்திலேயே அச்சின் நிலை கருதப்படுகிறது. வெவ்வேறான அச்சுகளைக் கொண்டு நிலைமத் திருப்புத்திறனைக் காண இரண்டு தேற்றங்களை நாம் காண உள்ளோ ம். இதனைப்பற் றி 5.4.5 என்ற பகுதியில் பயிலலாம்.
தீர்க்கப்பட்ட எடுத்துக்காட்டு கணக்குகள் சுழற்சி ஆரம்
எடுத்துக்காட்டு 5.15
M நிறையும், R ஆரமும் கொண்ட வட்டத்தட்டு ஒன்றின் நிறை மையத்தின் வழியாகவும் அதன் தளத்திற்கு செங்குத்தாகவும் செல்லும் அச்சைப் பற்றிய சுழற்சி ஆரத்தைக் காண்க.
தீர்வு
வட்டத்தட்டிற்கு செங்குத்தாகவும், நிறை மையம் வழியாகவும் செல்லும் அச்சைப் பற்றிய நிலைமத் திருப்புத்திறன் I = ½ MR2

இதனால் சுழற்சி ஆரம் என்பது பருப்பொருளின் வடிவியல் அம்சங்களான நீளம், அகலம், ஆரம் இவைகளோடு ஒன்றிணைந்து ஒரு நேர்க்குறி எண்ணின் பெருக்கல் பலனாக இருக்கும்.
தீர்க்கப்பட்ட எடுத்துக்காட்டு கணக்குகள் நிலைமத் திருப்புத்திறனின் தேற்றங்கள்
எடுத்துக்காட்டு 5.16
3 kg நிறையும் 50 cm ஆரமும் கொண்ட வட்டத் தட்டு ஒன்றின் நிலைத்திருப்புத்திறனை பின்வரும் அச்சுகளைப் பொருத்து காண்க.
(i) வட்டத்தட்டின் மையத்தில் தளத்திற்கு செங்குத்தாக செல்லும் அச்சு.
(ii) வட்டத்தட்டின் பரிதியின் ஏதேனும் ஒரு புள்ளியின் வழிச்செல்வதும் தளத்திற்கு செங்குத்தானதுமான அச்சு.
(iii) வட்டத்தட்டின் மையம் வழியாகவும் அதே தளத்திலேயே செல்வதுமான அச்சு,
தீர்வு
நிறை, M = 3 kg, ஆரம் R = 50 cm = 50 × 10-2 m = 0.5 m
(i) வட்ட தட்டின் மையத்தில் தளத்திற்கு செங்குத்தாக செல்லும் அச்சைப் பற்றிய நிலைமத்திருப்புத் திறன் (I) ஆனது.

(ii) வட்டத்தட்டின் பரிதியில் ஏதேனும் ஒரு புள்ளி

வழிச் செல்வதும் தளத்திற்கு செங்கத்தானதுமான அச்சைப் பற்றிய நிலைமத்திருப்புத்திறன் (I) யை இணையச்சு தேற்றத்தின் படி
இங்கு, IC = 1/2 MR2 மற்றும் d = R

(ii) வட்டத்தட்டின் மையம் வழியாகவும் அதே தளத்திலேயே செல்வதுமான அச்சைப் பற்றிய நிலைமத்திருப்புத் திறனை, செங்குத்து அச்சு தேற்றத்தின் படி (I),

இங்கு Ix = Iy = I, மற்றும்

• நிலைமத்திருப்புத்திறன் மதிப்பு எந்த அச்சைப் பொருத்து சுழற்றும் போது சிறுமமாக உள்ளதோ அந்த அச்சைப் பொருத்து சுழற்றுவது எளிமையானது. இந்த எடுத்துக்காட்டில் மூன்றாவதாக சொல்லப்பட்டிருக்கும் அச்சைப்பொறுத்து சுழற்றுவது எளிதானது.
எடுத்துக்காட்டு 5.17
கீழே படத்தில் காட்டப்பட்டுள்ள மெல்லிய தண்டினால் இணைக்கப்பட்டுள்ள இரு திண்மக் கோளங்களைக் கொண்ட அமைப்பின் நிலைமத் திருப்புத்திறனை அதன் வடிவியல் மையத்தை (Geometric centre) பொறுத்துக் காண்க.

தீர்வு
மேலே காட்டப்பட்டிருக்கும் அமைப்பானது மூன்று பொருள்களால் ஆக்கப்பட்டிருக்கிறது. (ஒரு மெல்லிய தண்டு மற்றும் இரண்டு திண்மக் கோளம்)
தண்டின் நிறை, M = 3kg மற்றும்
தண்டின் நீளம், l = 80 cm = 0.8 m
நிறைமையத்தைப் பொருத்து தண்டின் நிலைமத்திருப்புத் திறன்,

கோளத்தின் நிறை, M = 5 kg மற்றும் ஆரம், R = 10 cm = 0.1 m
நிறை மையத்தைப் பொருத்து கோளத்தின் நிலைமத்திருப்புத்திறன்,
அமைப்பின் வடிவியல் மையத்தைப் பொருத்து கோளத்தின் நிலைமத் திருப்புத்திறன்
I sph = I C + Md2
இங்கு, d = 40 cm + 10 cm = 50 cm = 0.5 m

இவ்வமைப்பானது இரு கோளங்களையும் தண்டினையும் பெற்றிருப்பதால் வடிவியல் மையத்தைப் பொருத்த நிலைமத்திருப்பத்திறன் (I) ஆனது, I = Irod + (2 × Isph)
= (0.16) + (2 × 1.27) = 0.16 + 2.54 = 2.7kgm2
