புள்ளியியலும் நிகழ்தகவும் | கணக்கு - நினைவில் கொள்ள வேண்டியவை | 10th Mathematics : UNIT 8 : Statistics And Probability
நினைவில் கொள்ள வேண்டியவை
· வீச்சு = L - S (L - மிகப்பெரிய எண், S - மிகச்சிறிய எண்)
· வீச்சுக்கெழு =
; விலக்க வர்க்கச் சராசரி 
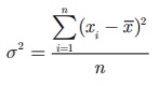
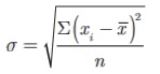
· திட்டவிலக்கம் 
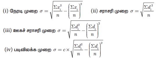
· திட்டவிலக்கம் (தொகுக்கப்படாதவை)

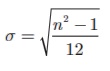
· முதல் n இயல் எண்களின் திட்டவிலக்கம் 
· திட்டவிலக்கம் (தொகுக்கப்பட்டவை)

· மாறுபாட்டுக் கெழு C.V =
× 100%
· மாறுபாட்டுக் கெழுவின் மதிப்பு சிறியதாக இருந்தால், அத்தரவு அதிக நிலைத் தன்மையுடையது. மாறுபாட்டுக் கெழுவின் மதிப்பு பெரியதாக இருந்தால் அத்தரவு குறைந்த நிலைத் தன்மையுடன் இருக்கும்.
· ஒரு சம வாய்ப்புச் சோதனையில் அனைத்து வாய்ப்புகளையும் அறிந்து கொள்ள முடியும். ஆனால், குறிப்பிட்ட வாய்ப்புகள் அறியப்படாது.
· ஒரு சமவாய்ப்பு சோதனையில் கிடைக்கப்பெறும் அனைத்து சாத்திய விளைவுகளின் தொகுப்பைக் கூறுவெளி என்கிறோம்.
· A, B என்பன ஒன்றையொன்று விலக்கும் நிகழ்ச்சிகள் எனில், A ∩ B = ɸ
· E என்ற நிகழ்ச்சியின் நிகழ்தகவானது P (E) = n(E)/n(S)
(i) உறுதியாகக் கிடைக்கப்பெறும் நிகழ்ச்சியின் நிகழ்தகவானது 1 மற்றும் இயலாத நிகழ்ச்சியின் நிகழ்தகவானது 0 ஆகும்.
(ii) 0 ≤ P (E) ≤ 1 ;(iii) P (
) = 1 − P (E)
· A மற்றும் B ஆனவை ஒன்றையொன்று விலக்கும் நிகழ்ச்சிகள் எனில்,
P (A ∪ B) = P(A) + P(B) .
· (i) P (A ∩
) = P (A மட்டும்) = P (A) – P (A ∩ B)
(ii) P (
∩ B) = P (B மட்டும்) = P (B) – P (A ∩ B)
· A மற்றும் B ஆனவை ஏதேனும் இரண்டு நிகழ்ச்சிகள் எனில்,
P (A U B) = P (A) + P (B) – P (A ∩ B),
· A, B, C என்பன ஏதேனும் மூன்று நிகழ்ச்சிகள் எனில்,
P (A U B UC) = P (A) + P (B) + P (C) − P (A ∩ B ) − P(B ∩C) −P (C ∩ A) + P(A ∩ B ∩C)