கிடைத்தளத்துடன் குறிப்பிட்ட கோணத்தில் எறியப்படும் எறிபொருளின் இயக்கம்.
எறிபொருள் ஒன்று, கிடைத்தளத்துடன் குறிப்பிட்ட கோணத்தில் எறியப்படுகிறது. இது படம் 2.42 இல் காட்டப்பட்டுள்ளது. (சாய்நிலையில் எறியப்பட்ட எறிபொருள்). (படம் 2.42)
எடுத்துக்காட்டுகள்
* சாய்நிலையில் பிடிக்கப்பட்ட குழாயிலிருந்து வெளியேறும் நீர்
* பீரங்கியிலிருந்து சுடப்பட்ட குண்டு.

கிடைத்தளத்துடன் θ கோணத்தில் எறியப்படும் எறிபொருளின் ஆரம்ப திசைவேகம்
என்க இதனைக் கீழ்க்கண்டவாறு எழுதலாம்,


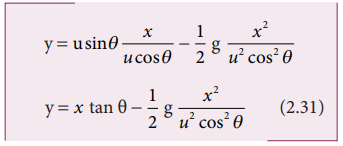
ஆரம்ப திசைவேகத்தின் கிடைத்தளக்கூறு ux = ucos θ மற்றும் அதன் செங்குத்துக்கூறு uy = usin θ. இங்கு புவியீர்ப்பு விசை செங்குத்துக்கூறுக்கு uy, எதிர்திசையில் செயல்படுகிறது, இது செங்குத்துக் கூறினை படிப்படியாகக் குறைத்து எறிபொருளின் பெரும் உயரத்தில் அதனை சுழியாக்கும், uy = 0. இதே புவியீர்ப்பு விசை எறிபொருளை கீழ்நோக்கி இயங்கவைத்து தரையை அடையச் செய்யும். எறிபொருளின் இயக்கம் முழுமைக்கும் x- அச்சுத்திசையில் எவ்விதமான முடுக்கமும் இல்லை. எனவே திசைவேகத்தின் கிடைத்தளக் கூறு (ux = u cos θ) எறிபொருள் தரையை அடையும் வரை மாறாது.
t காலத்திற்கு பின்பு கிடைத்தளத் திசைவேகம், vx = ux + axt
இங்கு ax = 0 எனவே vx = ux = u cos θ
t நேரத்தில் எறிபொருள் கிடைத்தளத்தில் கடந்த தொலைவு sx = uxt + 1/2 axt2
இங்கு, sx = x, ux = u cos θ, ax = 0
எனவே,

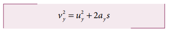
t நேரத்திற்கு பின்பு செங்குத்துத்திசைவேகம் vy = uy+ ayt
இங்கு uy = u sinθ, ay = -g (புவியீர்ப்பு முடுக்கம் இயக்கத்திற்கு எதிர்த்திசையில் செயல்படுகிறது)

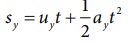
எறிபொருள் அதே t நேரத்தில் அடைந்த செங்குத்துத் தொலைவு sy = uyt + 1/2 ayt2
இங்கு, sy =y, uy = u sin θ, ay = -g எனவே,


எறிபொருள் தன்னுடைய பயணத்தில் அடையும் அதிகபட்ச செங்குத்து உயரம், பெரும் உயரம் (hmax) எனப்படும். அதனைக் கீழ்க்கண்டவாறு கணக்கிடலாம்.

இங்கு, vy = u sin θ, ay =-g, s = hmax, மேலும் பெரும உயரத்தில் vy = 0
எனவே,

பறக்கும் நேரம்: (Tf)
எறியப்பட்ட புள்ளியிலிருந்து, எறியப்பட்ட புள்ளி உள்ள கிடைத்தளத் தரையை அடைய எறிபொருள் எடுத்துக்கொள்ளும் நேரம், பறக்கும் நேரம் எனப்படும். இங்கு பறக்கும் நேரம் என்பது எறிபொருள் O புள்ளியிலிருந்து A புள்ளி வழியாக B புள்ளியை அடைய எடுத்துக்கொள்ளும் நேரமாகும். (படம் 2.43)
நாம் அறிந்தபடி 
இங்கு, sy = y = 0 (y-அச்சு திசையில் தொகுபயன் இடப்பெயர்ச்சி சுழி), uy = u sin θ, ay = -g, t = Tf

கிடைத்தள நெடுக்கம் (R)
எறியப்பட்ட புள்ளிக்கும், எறியப்பட்ட புள்ளி உள்ள கிடைத்தளத்தில் எறிபொருள் விழுந்த இடத்திற்கும் இடையே உள்ள தொலைவு எறிபொருளின் கிடைத்தள நெடுக்கம் எனப்படும். ஆரம்பத்திசைவேகத்தின் கிடைத்தளக் கூறில் எவ்வித மாற்றமும் இல்லை எனவே,
கிடைத்தள நெடுக்கம் R = திசைவேகத்தின்
கிடைத்தளக் கூறு × பறக்கும் நேரம்

கிடைத்தள நெடுக்கமானது ஆரம்பத்திசைவேகம் (u), எறிகோணத்தின் இருமடங்கின் சைன் மதிப்பு (sin2θ) இவற்றிற்கு நேர்த்தகவிலும் புவியிர்ப்பு முடுக்கத்திற்கு (g) எதிர்த்தகவிலும் இருக்கும்.
பெரும் கிடைத்தள நெடுக்கத்திற்கு sin2 θ பெருமமாக இருக்க வேண்டும். sin2 θ = 1 இதிலிருந்து 2 θ = π /2 எனக் கிடைக்கும்.

எனவே கிடைத்தளத்துடன் 45° கோணத்தில் எறிபொருளினை எறிந்தால், அது பெரும் கிடைத்தள நெடுக்கத்தை அடையும் என்பதை அறியலாம்.
தீர்க்கப்பட்ட எடுத்துக்காட்டு கணக்குகள் எறிபொருளின் இயக்கம்
எடுத்துக்காட்டு 2.37
எறிபொருள் ஒன்று 10 m s-1 என்ற ஆரம்பத் திசைவேகத்துடன், கிடைத்தளத்துடன் π/4 கோண அளவில் எறியப்படுகிறது. அதன் கிடைத்தளத் நெடுக்கத்தைக் கண்டுபிடி, அதே எறிபொருளை முன்னர் எறிந்தவாறே நிலவில் எறியும் போது அதன் கிடைத்தள நெடுக்கத்தில் ஏதேனும் மாற்றம் நிகழுமா? நிகழும் எனில் எவ்வகையான மாற்றம் என்று விளக்குக.
(நிலவின் ஈர்ப்பு முடுக்கம் gநிலவு = 1/6 g)
தீர்வு
எறிபொருள் இயக்கத்தில் கிடைத்தள நெடுக்கம்

இதே எறிபொருளை நிலவில் எறியும் போது அதன் கிடைத்தள நெடுக்கம் அதிகரிக்கும் ஏனெனில் நிலவின் ஈர்ப்பு முடுக்கம், புவியின் ஈர்ப்பு முடுக்கத்தைவிடக் குறைவு.

நிலவில் எறிபொருளின் கிடைத்தள நெடுக்கம், புவியில் எறிபொருளின் கிடைத்தள நெடுக்கத்தை விட ஆறுமடங்கு அதிகம்.
எடுத்துக்காட்டு 2.38
படத்தில் காட்டியவாறு கிரிக்கெட் வீரர் பந்து ஒன்றினை மட்டையால் அடித்த பின்பு, அப்பந்து 30 m s-1 என்ற திசைவேகத்துடனும், 30° கோணத்திலும் பறந்து செல்கிறது. மைதானத்தின் எல்லையானது பந்தினை அடித்த கிரிக்கெட் வீரரிலிருந்து 75 m தொலைவில் உள்ளது. அப்பந்து மைதானத்தின் எல்லையை பறந்து சென்று கிரிக்கெட் வீரருக்கு ஆறு ரன்களைப் பெற்றுத்தருமா? (காற்றுத்தடையைப் புறக்கணிக்கவும் மற்றும் புவியீர்ப்பு முடுக்கம் g = 10 m s-2 எனக் கருதுக).

தீர்வு
கிரிக்கெட் பந்தின் இயக்கத்தை எறிபொருளின் இயக்கமாகக் கருதலாம். நாம் முன்னர் பார்த்தபடி கிடைத்தளத் தொலைவு

ஆரம்பத்திசை வேகம் u = 30ms-1
எறிகோணம் θ = 30°
கிரிக்கெட் பந்தின் கிடைத்தள நெடுக்கம்

கிடைத்தள நெடுக்கம் மைதானத்தின் எல்லையான 75 மீட்டரை விட அதிகமாக உள்ளது. எனவே, பந்து எல்லையைக் கடந்து பறந்து வீரருக்கு ஆறு ரன்களைப் பெற்றுத் தரும்.