பயிற்சி கணக்குகள் தீர்வுகள் | இயற்பியல் - தீர்க்கப்பட்ட எடுத்துக்காட்டு கணக்குகள்: இயற்பியல் : இயக்கவியல் | 11th Physics : UNIT 2 : Kinematics
பயிற்சி கணக்குகள்
1. துகளொன்றின் நிலை வெக்டரின் நீளம் 1m. அது x அச்சுடன் 30° கோணத்தில் உள்ளது எனில், நிலைவெக்டரின் x மற்றும் y கூறுகளின் நீளங்களைக் காண்க.




6. பொருளொன்றை கிடைத்தளத்துடன் எக்கோணத்தில் எறிந்தால், அப்பொருளின் கிடைத்தள நெடுக்கம் பெரும உயரத்தைப் போன்று நான்கு மடங்காக இருக்கும்?
[விடை : θ = 45°]

7. பின்வரும் திசைவேகம் - நேரம் வரைபடங்களினால் குறிப்பிடப்படும் துகளின் இயக்க வகையினைக் காண்க.

விடைகள்:
a)
= மாறிலி துகள் சீரான முடுக்கத்துடன் இயங்குகிறது.
b)
= மாறிலி துகள் சீரான திசைவேகத்துடன் இயங்குகிறது - முடுக்கம் சுழி
c)
= மாறிலி ஆனால் முதல் வரைபடத்தை விட அதிகம் சுழி நிலையில் இல்லை முடுக்கம் சீராக உயர்கிறது
d)
= மாறக்கூடியது சமகால இடைவெளியில் திசைவேகத்தின் பெரும மாற்றம் காட்டுகிறது. சீரான முடுக்கம் உள்ளது
8. நேர்குறி x அச்சுத்திசையில் இயங்கும் துகளொன்றின் திசைவேகம் - நேரம் வரைபடம் காட்டப்பட்டுள்ளது. 0 விலிருந்து 7 வினாடி வரை உள்ள கால இடைவெளியில் அத்துகளின் இயக்கத்தினைப் பகுப்பாய்வு செய்க. மேலும் 0 முதல் 2 வினாடி வரை துகள் அடைந்த இடப்பெயர்ச்சி மற்றும் அத்துகள் கடந்த தொலைவு ஆகியவற்றைக் கணக்கிடுக.

விடைகள் :

(a) + 0 முதல் 1.55 வரை துகள் எதிர்திசையில் இயங்குகிறது.
● 1.5s முதல் 2s வரை துகளின் திசைவேகம் அதிகரிக்கிறது.
● 2s முதல் 5s வரை துகளின் திசைவேகம் மதிப்பு 1ms-1 என்பது மாறிலியாக உள்ளது.
● 5s முதல் 6s வரை துகளின் திசைவேகம் குறைக்கிறது.
● 6s முதல் 7s வரை துகள் ஒய்வு நிலையில் உள்ளது.
(b) தொலைவு = (v-t) வரைபடத்தின் பரப்பு
= ½ × 2 × 1.5 + ½ × 1 × 0.5
தொலைவு = 1.5 + 0.25 = 1.75 m
இடப்பெயர்ச்சி = ½ × 2 × 1.5 + ½ × 1 × 0.5
= -1.5 + 0.25
இடப்பெயர்ச்சி = -1.25 m
9. பொருளொன்று கிடைத்தளத்துடன் θ கோணத்தில் எறியப்படுகின்றது. இந்நிகழ்வினை அடிப்படையாகக் கொண்டு கீழ்க்கண்டவற்றைப் பொருத்துக.
vx = குறையும் மற்றும் அதிகரிக்கும்.
vy = மாறாது
முடுக்கம் = மாற்றமடையும்
நிலை வெக்டர் = எப்போதும் கீழ்நோக்கிச் செயல்படும்.

விடை :
vx = மாறாது
vy = குறையும் மற்றும் அதிகரிக்கும்.
முடுக்கம் = எப்போதும் கீழ்நோக்கிச் செயல்படும்.
நிலை வெக்டர் = மாற்றமடையும்
10. தரையிலுள்ள நீர்த்தெளிப்பான் ஒன்று அதனைச் சுற்றியுள்ள பகுதி முழுவதும் நீரினைத் தெளிக்கிறது. நீர்த்தெளிப்பானி லிருந்து வெளியேறும் நீரின் வேகம் v எனில் நீர் தெளிக்கப்பட்ட பரப்பினைக் காண்க.
நீரின் வேகம் = v
பெரும நெடுக்கம் θ = 45°

11. பின்வரும் அட்டவணை வெவ்வேறு கோள்களில் எறியப்பட்ட எறிபொருள் அடைந்த கிடைத்தள நெடுக்கத்தினைக் காட்டுகிறது. அனைத்து பொருட்களும் ஒரே கிடைத்தள கோணத்துடனும் சம ஆரம்பத்திசை வேகத்துடனும் எறியப்பட்டுள்ளன. இவ்விவரங் களிலிருந்து மிக அதிக மற்றும் மிகக் குறைந்த ஈர்ப்பு முடுக்கமுடைய கோள்களைக் கண்டுபிடி. மேலும் கோள்களை அவற்றின் ஈர்ப்பு முடுக்கத்தின் (g) அடிப்படையில் ஏறுவரிசையில் அமைக்கவும்.

கோள் - கிடைத்தள வீச்சு
வியாழன் 50m
புவி 75m
செவ்வாய் 90m
புதன் 95m
நெடுக்கம் = v2/g sin 2θ
ஃ g α 1 / நெடுக்கம்
புவிஈர்ப்பு முடுக்கத்தை பொருத்து கோள்களின் ஏறுவரிசை புதன், செவ்வாய், புவி, வியாழன். வியாழன் - g மதிப்பு பெரியது, புதன் - g மதிப்பு சிறியது.
12. A மற்றும் B வெக்டர்களின் தொகுபயன் வெக்டர், A வெக்டருக்கு செங்குத்தாக உள்ளது. மேலும் தொகுபயன் வெக்டரின் எண்மதிப்பு B வெக்டரின் எண்மதிப்பில் பாதியாக உள்ளது எனில், A மற்றும் B வெக்டர்களுக்கு இடைப்பட்ட கோணத்தின் மதிப்பு என்ன?
a) 30° b) 45° c) 150° d) 120°
C = 1/2
(எண் மதிப்பு பாதி)
α = 90° (செங்குத்தாக)
A + B = C

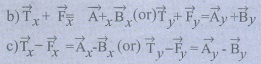
13. கொடுக்கப்பட்ட வெக்டர்களின் கூறுகளை ஒப்பிடுக.

விடை:
a) T - mg = ma

d) T + mg = ma
14.
வெக்டர்களை பக்கங்களாகக் கொண்ட முக்கோணத்தின் பரப்பினைக் கணக்கிடுக.

பரப்பு = 21 பரப்பு அலகு
[விடை: பரப்பு = 21]
15. ஒரு முழு சுற்றினை நிறைவு செய்ய புவி எடுத்துக் கொள்ளும் நேரம் 24 மணி நேரமாகும். இந்நிலையில் புவி ஒரு மணி நேரத்தில் அடைந்த கோண இடப்பெயர்ச்சியைக் கணக்கிடுக. விடையை ரேடியன் மற்றும் டிகிரி இரண்டிலும் தருக.
பூமியின் அலைவுக்காலம் = 24 மணி
பூமி 24 மணி நேரத்தில் 360° கோணம் கடக்கிறது.
1 மணி நேரத்தில் கோண இடப்பெயர்ச்சி =
360° / 24° = 15° = π/12
ரேடியனில் கோண இடப்பெயர்ச்சி = 15° / 57.295°
= 0.26 rad
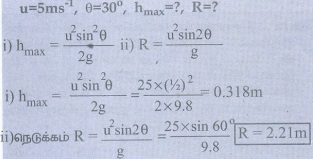
16. எறிபொருளொன்று 30° எறிகோணத்தில் எறியப்படுகிறது. அதன் ஆரம்பத்திசைவேகம் 5ms-1 எனில் எறிபொருள் அடைந்த பெரும உயரம் மற்றும் கிடைத்தள நெடுக்கத்தைக் கணக்கிடுக.

17. ஒரு கால்பந்து வீரர் 20 ms-1 திசைவேகத்தில் கிடைத்தளத்துடன் 30° கோணத்தில் பந்து ஒன்றினை உதைக்கிறார். பந்தின் இயக்கம் படத்தில் காட்டப்பட்டுள்ளது. இலக்குக் கம்பங்கள் (goal post) அவரிடமிருந்து 40m தொலைவில் உள்ளன, பந்து இலக்கினை அடையுமா?

u = 20 ms-1, θ = 30°, இலக்கு கம்பத்தின் தொலைவு = 40m

பந்தின் நெடுக்கம் 35.35 m. ஆனால் இலக்கு கம்பம் 40 m தொலைவில் உள்ளது. எனவே பந்து இலக்கு கம்பத்தை அடையாது.
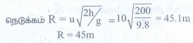
18. 100m உயரம் உள்ள கட்டிடம் ஒன்றின் உச்சியிலிருந்து, 10ms-1 திசைவேகத்துடன் எறிபொருளொன்று கிடைத்தளத்தில் வீசி எறியப்படுகிறது. எறிபொருள் அடைந்த கிடைத்தள நெடுக்கம் என்ன?
u = 10 ms-1, h = 100 m, R =?
g = -9.8 m/s2

[விடை : R= 45 m]
19. பொருளொன்று π/12 rads-1 என்ற கோண - வேகத்துடன் சீரான வட்ட இயக்கத்தினை மேற்கொள்கிறது. t = 0 வினாடியில் அப்பொருள் A புள்ளியிலிருந்து வட்ட இயக்கத்தினை மேற்கொள்கிறது எனக் கருதுக. 4 வினாடிகளுக்குப் பிறகு அப்பொருள் அடைந்த கோண இடப்பெயர்ச்சி என்ன?
கோணதிசைவேகம் = π /12 rads/s
கோணதிசைவேகம் = கோண இடப்பெயர்ச்சி / காலம் = θ/t

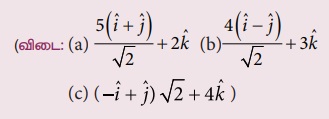
20. x அச்சினை கிழக்குத் திசையாகவும் y அச்சினை. வடக்குத்திசையாகவும் மேலும் z அச்சினை செங்குத்தான மேல்நோக்கிய திசையாகவும் கருதி கீழ்க்கண்டவற்றை வெக்டர் முறையில் குறிப்பிடுக.
(a) 5மீட்டர் வடகிழக்கு மற்றும் 2மீட்டர் மேல் நோக்கியத் திசையில்
(b) 4மீட்டர் தென்கிழக்கு மற்றும் 3மீட்டர் மேல் நோக்கியத் திசையில்
(c) 2மீட்டர் வடமேற்கு மற்றும் 4மீட்டர் மேல் நோக்கியத் திசையில்


21. நிலவு, புவியை தோராயமாக 27 நாட்களுக்கு ஒருமுறை முழு சுற்று சுற்றி வருகிறது. இந்நிலையில் நிலவு ஒரு நாளில் பூமியை சுற்றும் கோணத்தின் மதிப்பு என்ன?
நிலவின் அலைவுக்காலம் = 27 மணி
27 நாட்களில் நிலவு 360° கோணம் சுழல்கிறது.

ஒரு நாளில் நிலவு சுற்றும் கோணம் = 360°/27 = 13°3’
22. m நிறையுடைய பொருளொன்றின் கோண முடுக்கம் α = 0.2 rad s-2 வினாடிகளில் அப்பொருள் எவ்வளவு கோண இடப்பெயர்ச்சியை அடையும்? (பொருள் சுழி திசைவேகத்துடன் சுழி கோணத்தில் தன்னுடைய இயக்கத்தை துவக்குகிறது எனக் கருதுக).

1 rad = 57.295°= 0.9 × 57.295°
θ = 51°
[விடை: 0.9 rad or 51°]
வெக்டர்களின் கூடுதல் தீர்க்கப்பட்ட எடுத்துக்காட்டு கணக்குகள்
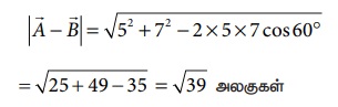
எடுத்துக்காட்டு 2.1
மற்றும்
என்ற இரண்டு வெக்டர்கள் ஒன்றுக்கொன்று 60° கோணத்தில் சாய்ந்த நிலையில் உள்ளன. அவற்றின் எண்மதிப்புகள் முறையே 5 அலகுகள் மற்றும் 7 அலகுகள் ஆகும். தொகுபயன் வெக்டரின் எண்மதிப்பு மற்றும்
p யைப் பொருத்து தொகுபயன் வெக்டரின் திசை ஆகியவற்றைக் காண்க.

தீர்வு
வெக்டர்களின் முக்கோணவிதிப்படி

கீழ்க்கண்ட படம் வெக்டர்களின் கூடுதலை எவ்வாறு முக்கோணவிதியின் அடிப்படையில் காணலாம் என்பதை விளக்குகிறது.

மற்றும்
க்கு இடையே உள்ள கோணம் α (தொகுபயன் வெக்டரின் திசை) கீழ்க்கண்டவாறு கணக்கிடப்படுகிறது.


வெக்டர்களின் கழித்தல் தீர்க்கப்பட்ட எடுத்துக்காட்டு கணக்குகள்
எடுத்துக்காட்டு 2.2
மற்றும்
என்ற இரண்டு வெக்டர்கள் ஒன்றுக்கொன்று 60° கோணத்தில் சாய்ந்த நிலையில் உள்ளன. அவற்றின் எண்மதிப்புகள் முறையே 5 அலகுகள் மற்றும் 7 அலகுகள் ஆகும். தொகுபயன் வெக்டர்
-
இன் எண்மதிப்பையும்,
வெக்டரைப் பொருத்து தொகுபயன் வெக்டர்
-
திசையையும் காண்க
தீர்வு
சமன்பாடு (2.4) லிருந்து


வெக்டர் கூறுகள் (COMPONENTS OF A VECTOR)
எடுத்துக்காட்டு 2.3
எதிர்க்குறி x, y மற்றும் z அச்சுத் திசையில் செயல்படும் ஓரலகு வெக்டர்கள் யாவை?
தீர்வு
பின்வரும் படம், எதிர்க்குறி x, y மற்றும் z அச்சு திசையில் செயல்படும் ஓரலகு வெக்டர்களைக் காட்டுகிறது.

படத்திலிருந்து, எதிர்க்குறி x அச்சு, y அச்சு மற்றும் z அச்சு திசைகளில் செயல்படும் ஓரலகு வெக்டர்கள் முறையே -iˆ, -jˆ மற்றும் -kˆ ஆகும்.
வெக்டர் கூறுகளின் அடிப்படையில் வெக்டர்களின் கூடுதல்

வெக்டர்களின் ஸ்கேலர் பெருக்கல் தீர்க்கப்பட்ட எடுத்துக்காட்டு கணக்குகள்
இரண்டு வெக்டர்களின் ஸ்கேலர் பெருக்கல் தீர்க்கப்பட்ட எடுத்துக்காட்டு கணக்குகள்

ஒரு ஸ்கேலரால் வெக்டரைப் பெருக்குதல் தீர்க்கப்பட்ட எடுத்துக்காட்டு கணக்குகள்

வெக்டர் கூறுகள் தீர்க்கப்பட்ட எடுத்துக்காட்டு கணக்குகள்

நிலை வெக்டர் தீர்க்கப்பட்ட எடுத்துக்காட்டு கணக்குகள்
எடுத்துக்காட்டு 2.13
படத்தில் காட்டப்பட்டுள்ள P,Q,R,S புள்ளிகளில் உள்ள துகள்களின் நிலை வெக்டர்களைக் காண்க.

எடுத்துக்காட்டு 2.14
தொடக்கத்தில் ஓய்வு நிலையில் உள்ள மனிதர் ஒருவர், (1) வடக்கு நோக்கி 2 மீட்டரும், (2) கிழக்கு நோக்கி 1 மீட்டரும், பின்பு (3) தெற்கு நோக்கி 5 மீட்டரும் நடக்கிறார். இறுதியாக (4) மேற்கு நோக்கி 3 m நடந்து ஓய்வு நிலைக்கு வருகிறார். இறுதி நிலையில் அம்மனிதரின் நிலை வெக்டரைக் காண்க.
தீர்வு
படத்தில் காட்டியுள்ளவாறு நேர்குறி x அச்சை கிழக்கு திசையாகவும், நேர்குறி y அச்சை வடக்கு திசையாகவும் கருதுக.

பயணமுடிவில் P புள்ளியை அடைந்த மனிதரின் நிலை வெக்டர்
ஆகும். மேலும் இடப்பெயர்ச்சியின் திசை தென் மேற்கு ஆகும்.
கடந்த தொலைவு மற்றும் இடப்பெயர்ச்சி தீர்க்கப்பட்ட எடுத்துக்காட்டு கணக்குகள்
எடுத்துக்காட்டு 2.15
உங்கள் பள்ளிக்கூடம், உங்கள் வீட்டிலிருந்து 2 km தொலைவில் உள்ளது எனக்கருதுக. வீட்டிலிருந்து பள்ளிக்கூடத்திற்கும், பின்னர் மாலை பள்ளிக்கூடத்திலிருந்து வீட்டிற்கும் வருகிறீர்கள் எனில், இந்நிகழ்ச்சியில் நீங்கள் கடந்து சென்ற தொலைவு மற்றும் அடைந்த இடப்பெயர்ச்சி என்ன?
தீர்வு

இந்தப் பயணத்தில் அடைந்த இடப்பெயர்ச்சி சுழி. ஏனெனில் ஆரம்பநிலை மற்றும் இறுதிநிலை ஆகிய இரண்டும் ஒரே புள்ளியாகும். ஆனால் கடந்த தொலைவு 4 km ஆகும்.
எடுத்துக்காட்டு 2.16
ஒரு தடகள வீரர் 50 m ஆரமுடைய வட்டவடிவ ஓடுபாதையில் மூன்று முறை சுற்றி வருகிறார், அவர் கடந்த தொலைவு மற்றும் அடைந்த இடப்பெயர்ச்சியைக் காண்க.
தீர்வு

தடகள வீரர் கடந்த தொலைவு
= 3 ஓடுபாதையின் சுற்றளவு
= 3 × 2 π × 50 m = 300 π m
(அல்லது)
கடந்த தொலைவு = 300 × 3.14 ≈ 942 m
தடகளவீரர் அடைந்த இடப்பெயர்ச்சி சுழி. ஏனெனில் தடகள வீரரின் தொடக்க நிலை மற்றும் இறுதிநிலை ஆகியவை ஒரே புள்ளியில் உள்ளன.
கார்டீசியன் ஆய அச்சுத்தொகுப்பில் இடப்பெயர்ச்சி வெக்டர் தீர்க்கப்பட்ட எடுத்துக்காட்டு கணக்குகள்
எடுத்துக்காட்டு 2.17
படத்தில் காட்டப்பட்டுள்ளவாறு துகள் ஒன்று P புள்ளியிலிருந்து Q புள்ளிக்கு நகர்கின்றது எனில், அத்துகளின் இடப்பெயர்ச்சி வெக்டர் மற்றும் இடப்பெயர்ச்சியின் எண்மதிப்பையும் காண்க.

தீர்வு
இடப்பெயர்ச்சி வெக்டர் 
இங்கு

இடப்பெயர்ச்சி வெக்டரின் எண்மதிப்பு
அலகு.
வகை நுண்கணிதம் தீர்க்கப்பட்ட எடுத்துக்காட்டு கணக்குகள்
எடுத்துக்காட்டு 2.18
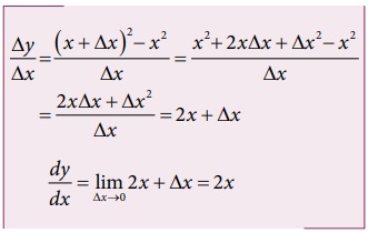
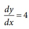
y = x2 என்ற சார்பினைக் கருதுக. “சார்பு எல்லை” கருத்தைப் பயன்படுத்தி x = 2 என்ற புள்ளியில் அதன் வகைக்கெழு dy/dx ஐக் காண்க.
தீர்வு
x1 = 2 மற்றும் x2 = 3 என்ற இரண்டு புள்ளிகளைக் கருதினால் y1 = 4 மற்றும் y2 = 9 என்ற இரண்டு புள்ளிகள் கிடைக்கும்.

x1 = 2 மற்றும் x2 = 2.5 எனில் y1 = 4 மற்றும் y2 = (2.5)2 = 6.25 எனக் கிடைக்கும்

x1 = 2 மற்றும் x2 = 2.25 எனில் y1 = 4 மற்றும் y2 = 5.0625 எனக் கிடைக்கும்

x1 = 2 மற்றும் x2 = 2.1 எனில் y1 = 4 மற்றும் y2 = 4.41 எனக் கிடைக்கும்.

முடிவுகள் கீழ்க்கண்டவாறு அட்டவணைப் படுத்தப்பட்டுள்ளன.

மேற்கண்ட அட்டவணையிலிருந்து பின்வரும் முடிவுகளைப் பெறலாம்.
* Δx சுழியினை நெருங்கும்போது Δy/Δx எண்மதிப்பு 4 என்ற எல்லையை நெருங்குகிறது
* x = 2 என்ற புள்ளியில், வகைக்கெழு
ஆகும்.
* மற்றொரு கவனிக்க வேண்டிய அம்சம் என்னவெனில், Δx→0 என்பதை Δx = 0 எனக் கருதக்கூடாது. ஏனெனில் Δx = 0 என்று பிரதியிட்டால் Δy/Δx ஐ வரையறுக்க முடியாது.
பொதுவாக, சார்பு y = x2 இன் வகைக்கெழுவைக் கீழ்க்கண்டவாறு காணலாம்.

எடுத்துக்காட்டு 2.19
கொடுக்கப்பட்ட சார்பு x = A0 + A1t + A2 t2 இன் வகைக்கெழுவினை t ஐ பொறுத்துக் காண்க. இங்கு A0, A1, மற்றும் A2, ஆகியவை மாறிலிகள் ஆகும்.
தீர்வு
இங்கு சார்பற்ற மாறி ‘t’ மற்றும் சார்புடைய மாறி ‘x’ ஆகும்.
நமக்குத் தேவையான வகைக்கெழு
dx/dt = 0+A1+2A2t
இரண்டாம்படி வகைக்கெழு d2x/d2t = 2A2 ஆகும்.
சராசரி வேகம் தீர்க்கப்பட்ட எடுத்துக்காட்டு கணக்குகள்
எடுத்துக்காட்டு 2.20
படத்தில் உள்ளவாறு பொருளொன்று 0 புள்ளியிலிருந்து P புள்ளிக்கு 5 வினாடியில் கடந்து செல்கிறது. அப்பொருளின் சராசரித் திசைவேகம் மற்றும் சராசரி வேகம் ஆகியவற்றைக் காண்க.


இங்கு சராசரி வேகம், சராசரித் திசை வேகத்தை விட அதிகம் என்பதைப் புரிந்து கொள்ள வேண்டும்.
உடனடித் திசைவேகம் (அல்லது) திசைவேகம் தீர்க்கப்பட்ட எடுத்துக்காட்டு கணக்குகள்
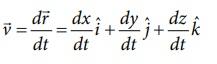
எடுத்துக்காட்டு 2.21
துக்களொன்றின் நிலை வெக்டர் 
அ) t என்ற எந்தவொரு நேரத்திலும் உள்ள திசைவேகம் மற்றும் வேகத்தினைக் கணக்கிடுக.
ஆ) t = 2 வினாடி என்ற நேரத்தில் உள்ள திசைவேகம் மற்றும் வேகத்தினைக் கணக்கிடுக.
தீர்வு
திசைவேகம் 
வேகம் 
t = 2 வினாடியில் துகளின் திசைவேகம்

t = 2 வினாடியில் துகளின் வேகம்

துகளானது x, y திசைகளில் திசைவேகத்தின் கூறுகளைப் பெற்றுள்ளது z திசையில் நிலை வெக்டர் (-5) என்ற மாறாத மதிப்பினைப் பெற்றுள்ளது. இது நேரத்தைச் சார்ந்ததல்ல. எனவே z- திசையில் திசைவேகத்தின் கூறு சுழியாகும்.
எடுத்துக்காட்டு 2.22
A, B மற்றும் C என்ற மூன்று துகள்களின் திசைவேகங்கள் கீழே கொடுக்கப்பட்டுள்ளன. இவற்றுள் எந்தத் துகள் அதிக வேகத்தில் செல்லும்.

தீர்வு
நாம் அறிந்தபடி வேகம் என்பது, திசைவேகத்தின் எண்மதிப்பு ஆகும். எனவே,

எடுத்துக்காட்டு 2.23
இரண்டு கார்களில் ஒன்று
=10ms-1 என்ற திசை வேகத்தில் கிழக்காகவும் மற்றொன்று
= 10ms-1 என்ற திசைவேகத்தில் மேற்காகவும் செல்கின்றன. அவற்றின் வேகங்களைக் கணக்கிடுக.
தீர்வு
இரண்டு கார்களும் வெவ்வேறான திசையில் ஒரே எண்மதிப்புடைய திசைவேகத்தில் செல்கின்றன.
எனவே இரண்டு கார்களும் வெவ்வேறு திசைவேகத்தில் செல்கின்றன எனக் கருதலாம். ஆனால், திசை வேகத்தின் எண்மதிப்பு வேகம் ஆகும். இதற்குத் திசை இல்லை. எனவே இரண்டு கார்களும் வெவ்வேறு திசைகளில் சென்றாலும் சம் வேகத்தில் செல்கின்றன என்பதை அறியலாம்.

உந்தம் தீர்க்கப்பட்ட எடுத்துக்காட்டு கணக்குகள்
எடுத்துக்காட்டு 2.24
10 g மற்றும் 1 kg நிறை கொண்ட இரண்டு பொருட்கள் 10 ms-1 என்ற ஒரே வேகத்தில் செல்கின்றன. அவற்றின் உந்தங்களின் எண்மதிப்பைக் காண்க.
தீர்வு
p = mv என்க
10 g நிறையுடைய பொருளின் உந்தம்
p = 0.01 × 10 = 0.1 kg ms-1

இரண்டும் ஒரே வேகத்தில் சென்றாலும் கனமான பொருளின் உந்தம், லேசான பொருளின் உந்தத்தை விட 100 மடங்கு அதிகம் என்பதை இந்த எடுத்துக்காட்டிலிருந்து அறியலாம்.
தீர்க்கப்பட்ட எடுத்துக்காட்டு கணக்குகள் சராசரித் திசைவேகம்
எடுத்துக்காட்டு 2.25
துகள் ஒன்று x-அச்சுத் திசையில் நகர்கிறது என்க. அவ்வாறு அது நகரும் போது அதன் x - ஆய அச்சு நேரத்தைப் பொருத்து x = 2 - 5t + 6t2 என்ற சமன்பாட்டின்படி மாறுகிறது எனில் துகளின் ஆரம்பத் திசைவேகம் என்ன?
தீர்வு

ஆரம்பத் திசைவேகத்தில் உள்ள எதிர்க்குறி என்பது, பொருளானது ஆரம்பத்தில் எதிர் x - அச்சு திசையில் திசைவேகத்தைக் கொண்டிருந்தது என்று குறிக்கிறது.
துகள் கடந்த மொத்த பாதையின் நீளத்திற்கும், எடுத்துக் கொண்ட நேரத்திற்கும் உள்ள தகவு சராசரி வேகம் எனப்படும்.

தீர்க்கப்பட்ட எடுத்துக்காட்டு கணக்குகள் ஒரு பரிமாண மற்றும் இருபரிமாண இயக்கத்தில் சார்புத் திசைவேகம்
எடுத்துக்காட்டு 2.26
A மற்றும் B என்ற இரண்டு கார்கள் இணையான பாதையில் ஒரே திசையில் தரையைப் பொருத்து சீரான திசைவேகத்தில் செல்கின்றன. A மற்றும் B கார்களின் திசைவேகங்கள் முறையே 35 km h-1 மற்றும் 40 km h-1 கிழக்காக செல்கின்றன. A காரினைப் பொருத்து B காரின் சார்புத் திசைவேகம் என்ன?

தீர்வு
A காரினைப் பொருத்து B காரின் சார்புத் திசைவேகம்
கிழக்கு திசையில்
இதே போன்று B காரினைப் பொருத்து A காரின் சார்புத் திசைவேகம்
மேற்குத்திசையில் A காரில் உள்ள பயணிக்கு B காரானது கிழக்கு நோக்கி 5 km h-1 என்ற திசைவேகத்தில் செல்வது போன்று தோன்றும். B காரில் உள்ள பயணிக்கு A காரானது மேற்கு நோக்கி 5 km h-1 என்ற திசைவேகத்தில் செல்வது போன்று தோன்றும்.
எடுத்துக்காட்டு 2.27
A மற்றும் B என்ற இரண்டு ரயில் வண்டிகள் இணையான இரயில் பாதையில் ஒன்றுக் கொன்று எதிர் திசையில் செல்கின்றன. இரயில் வண்டி A இன் திசைவேகம் கிழக்கு நோக்கி 40 km h-1 மற்றும் இரயில் வண்டி B இன் திசைவேகம் மேற்கு நோக்கி 40 km h-1 இரயில் வண்டிகளின் சார்புத் திசைவேகங்களைக் காண்க.
தீர்வு
இரயில் வண்டி B ஐப் பொருத்து, இரயில் வண்டி A இன் சார்புத் திசைவேகம், VAB = 80 km h-1 கிழக்கு நோக்கி, அதாவது இரயில் வண்டி B இல் உள்ள பயணிக்கு, இரயில்வண்டி A கிழக்கு நோக்கி 80 km h-1 திசைவேகத்தில் செல்வது போன்று தோன்றும்.
இரயில் வண்டி A ஐப் பொருத்து, இரயில் வண்டி B இன் சார்புத் திசைவேகம், VBA = 80 km h-1 மேற்கு நோக்கி, அதாவது இரயில் வண்டி A இல் உள்ள பயணிக்கு, இரயில் வண்டி B மேற்கு நோக்கி 80 km h-1 திசைவேகத்தில் செல்வது போன்று தோன்றும்.
எடுத்துக்காட்டு 2.28
A மற்றும் B என்ற இரண்டு இரயில் வண்டிகள் இணையான இரயில் பாதையில் ஒரே திசையில் கிழக்கு நோக்கி 50 km h-1 என்ற திசைவேகத்தில் செல்கின்றன. இரயில் வண்டிகளின் சார்புத் திசைவேகங்களைக் காண்க.
தீர்வு

இவ்வாறே, இரயில் வண்டி B ஐப்பொருத்து, இரயில் வண்டி A இன் சார்புத் திசைவேகம் vAB சுழியாகும்.
எனவே இந்த இரு இரயில் வண்டியும் ஒன்று மற்றொன்றைப் பொருத்து ஓய்வு நிலையில் இருப்பது போன்று தோன்றும்.
எடுத்துக்காட்டு 2.29
36 km h-1 வேகத்தில் செல்லும் இரயில் வண்டியின் ஜன்னல் ஓரம் அமர்ந்திருக்கும் சிறுவன், எதிர் திசையில் 18 km h-1 வேகத்தில் செல்லும் 90 m நீளமுள்ள இரயிலை எவ்வளவு நேரத்திற்குப் பார்க்க முடியும்.
தீர்வு:
சிறுவனைப் பொருத்து எதிர்திசையில் செல்லும் இரயில் வண்டியின் சார்புத் திசைவேகம்
= (36 + 18) km h-1 = 54 km h-1
= 54 × 5/18 ms-1 = 15 ms-1
சிறுவன் எதிர் திசையில் செல்லும் இரயில் வண்டியை முழுவதும் பார்ப்பதற்கான நேரத்தினைக் கணக்கிட வேண்டும்.

எடுத்துக்காட்டு 2.30
ஆற்று நீரோட்டத்தின் திசையில் நீந்தும் நீச்சல் வீரரின் திசைவேகம் 12 km h-1 ஆற்று நீரோட்டத்தின் திசைக்கு எதிர்திசையில் அவரின் நீச்சல் திசைவேகம் 6km h-1 எனில், அமைதி நிலையில் இருக்கும் நீரினைப் பொருத்து நீச்சல் வீரரின் வேகத்தையும் மற்றும் ஆற்று நீரோட்டத்தின் திசைவேகத்தையும் காண்க.
தீர்வு
தரையைப் பொருத்து நீச்சல் வீரர் மற்றும் ஆற்று நீரோட்டத்தின் திசை வேகங்கள் முறையே VS மற்றும் Vr என்க

இரண்டு சமன்பாடுகளையும் கூட்டும் போது,
2vs = 12 + 6 = 18 km h-1 (அல்லது)
vs = 9 km h-1
சமன்பாடு (1) இல் இருந்து
9 + vr = 12 (அல்லது) vr = 3 km h-1 நீச்சல் வீரர் ஆற்று நீரோட்டம் பாய்ந்து கொண்டிருக்கும் அதே திசையில் நீந்தும் போது அவரின் தொகுபயன் திசைவேகம் 12 kmh-1
தீர்க்கப்பட்ட எடுத்துக்காட்டு கணக்குகள் முடுக்கிவிடப்பட்ட இயக்கம்
எடுத்துக்காட்டு 2.31
x- அச்சுத் திசையில் இயங்கும் துகளொன்றின் திசைவேகம் - நேரம் வரைபடம் கொடுக்கப்பட்டுள்ளது. அதிலிருந்து கீழ்க்கண்டவற்றைக் காண்க.

அ) 0 முதல் 55 வினாடி கால இடைவெளியில் துகளின் இயக்கத்தினை விளக்கவும்.
ஆ) 0 முதல் 40 வினாடி கால இடைவெளியில் துகள் கடந்த தொலைவு மற்றும் துகளின் இடப்பெயர்ச்சியைக் கணக்கிடவும்.
இ) t = 5 வினாடி மற்றும் t = 20 வினாடியில் துகளின் முடுக்கத்தினைக் கணக்கிடவும்.
தீர்வு:
அ) 0 முதல் A வரை: (0 வினாடி முதல் 10 வினாடி வரை)
t = 0 வினாடியில் துகளின் திசைவேகம் சுழி அதன் பின்பு துகள் நேர்க்குறி திசை வேகத்தைப் பெறும். எனவே துகள் நேர்க்குறி X திசையில் இயங்கும். 0 வினாடியிலிருந்து 10 வினாடி வரை வளைகோட்டின் சாய்வு (dv/dt) நேர்க்குறி ஆகும். இது துகளின் நேர்க்குறி முடுக்கத்தினைக் காட்டுகிறது. மேலும் 0 வினாடியிலிருந்து 10 வினாடி வரை துகளின் திசைவேகம் அதிகரிப்பதைக் காணலாம்.
A முதல் B வரை: (10 வினாடியிலிருந்து 15 வினாடி வரை)
10 வினாடி முதல் 15 வினாடி வரை 60 ms-1 என்ற மாறாத திசை வேகத்தில் துகள் உள்ளது. இது துகளின் சுழி முடுக்கத்தினைக் காட்டுகிறது. மேலும் துகள் தொடர்ந்து நேர்க்குறி திசையில் இயங்குவதை இது காட்டுகிறது.
B முதல் C வரை: (15 வினாடியிலிருந்து 30 வினாடி வரை)
15 வினாடியிலிருந்து 30 வினாடி வரை வளைகோட்டின் சாய்வு எதிர்க்குறி ஆகும். இது 15 வினாடியிலிருந்து 30 வினாடி வரை துகளின் திசைவேகம் குறைவதைக் காட்டுகிறது. இருப்பினும் துகள் நேர்க்குறி x அச்சு திசையிலேயே தொடர்ந்து இயங்குகின்றது. 30 வினாடியில் துகளின் திசைவேகம் சுழியாகிறது. துகள் நேர்க்குறி x திசையில் பெரும் தூரத்தைக் கடந்து பின்பு கண நேர ஓய்வினை அடைகிறது.
C யிலிருந்து D வரை : (30 வினாடியிலிருந்து 40 வினாடி வரை)
30 வினாடியிலிருந்து 40 வினாடி வரை துகள் எதிர்க்குறி திசைவேகத்தினை அடையும். இது துகள் எதிர்க்குறி x அச்சு திசையில் இயங்கத் தொடங்குவதைக் காட்டுகிறது. திசை வேகத்தின் எண்மதிப்பு 40 ms-1 என்ற பெரும் மதிப்பினை அடைகிறது.
D யிலிருந்து E வரை (40 வினாடியிலிருந்து 55 வினாடி வரை):
40 வினாடியிலிருந்து 55 வினாடி வரை திசைவேகம் எதிர்க்குறியில்தான் இருக்கிறது. அது மட்டுமின்றி குறையத் தொடங்குகிறது. t = 55 வினாடியில் துகளின் திசைவேகம் சுழியினை அடைந்து துகள் ஓய்வுநிலைக்கு வரும்.
ஆ) 0 முதல் 40 வினாடி வரை கொடுக்கப்பட்ட வளைகோட்டின் கீழே உள்ள பரப்பு துகளின் இடப்பெயர்ச்சியைக் கொடுக்கும். இங்கு 0 முதல் வரை உள்ள பரப்பு துகள் நேர்க்குறி X திசையில் அடைந்த இடப்பெயர்ச்சியையும், C முதல் D உள்ள பரப்பு துகள் எதிர்க்குறி x திசையில் அடைந்த இடப்பெயர்ச்சியையும் கொடுக்கும்.
0 வினாடி முதல் 10 வினாடி வரை துகள் அடைந்த இடப்பெயர்ச்சி
= 1/2 × 10 × 60 = 300 m
10 வினாடி முதல் 15 வினாடி வரை துகள் அடைந்த இடப்பெயர்ச்சி
= 60 × 5 = 300 m
15 வினாடி முதல் 30 வினாடி வரை துகள் அடைந்த இடப்பெயர்ச்சி
= 1/2 × 1560 = 450m
30 வினாடி முதல் 40 வினாடி வரை துகள் அடைந்த இடப்பெயர்ச்சி
= 1/2 × 10 × (-40) = -200m.
இங்கு எதிர்க்குறியானது, துகள் எதிர்க்குறி x அச்சு திசையில் 200 m சென்றதைக் காட்டுகிறது.

300 m + 300 m + 450 m - 200 m
= +850 m.
இங்கு நேர்க்குறியானது துகளின் தொகுபயன் இடப்பெயர்ச்சி நேர்க்குறி அச்சின் திசையில் உள்ளது என்பதைக் காட்டுகிறது.
O வினாடியிலிருந்து 40 வினாடி வரை துகள் கடந்த மொத்த தூரம் (பாதையின் நீளம்)
= 300 + 300 + 450 + 200 = 1250 m.
(இ) திசைவேகம் - நேரம் வரைபடத்தின் சாய்வு துகளின் முடுக்கத்தைக் கொடுக்கும். முதல் 10 வினாடிகளுக்கு திசை வேகம் மாறாத சாய்வினைக் கொண்டுள்ளது (மாறாத முடுக்கம்)

மேலும் துகள் 15 வினாடியிலிருந்து 30 வினாடி வரை மாறாத எதிர்க்குறி சாய்வினைக் கொண்டுள்ளது. இந்நிகழ்வில் v2 = 0 மற்றும் v1 = 60ms-1. எனவே t = 20 வினாடியில் முடுக்கமானது
எதிர்க்குறி சாய்வானது துகளின் எதிர் முடுக்கத்தைக் காட்டுகிறது.
எடுத்துக்காட்டு 2.32
துகளின் நிலை வெக்டர்
இதிலிருந்து கீழ்க்கண்டவற்றைக் காண்க
அ) t = 3 வினாடியில் துகளின் திசை வேகம்
ஆ) t = 3 வினாடியில் துகளின் வேகம்
இ) t = 3 வினாடியில் துகளின் முடுக்கம்
தீர்வு:
(அ) திசைவேகம் 
இங்கு 
திசைவேகம் இரண்டு கூறுகளை மட்டுமே பெற்றுள்ளது. அதாவது Vx = 6t (நேரத்தைச் சார்ந்துள்ளது) மற்றும் Vy = 5 (நேரத்தைச் சாராதது)
t = 3 வினாடியில் திசைவேகம்

(ஆ) t = 3 வினாடியில் துகளின்வேகம்

(இ) முடுக்கம் 
முடுக்கம் x- கூறினை மட்டுமே பெற்றுள்ளது. மேலும் இது நேரத்தைச் சாராதது. t = 3 வினாடியிலும் முடுக்கம் மாறாத மதிப்பான
ஐ பெற்றிருக்கும் என்பதை கவனிக்க வேண்டும். மேலும் இந்நிகழ்வில் துகள் சீரற்ற திசை வேகத்தையும் சீரான முடுக்கத்தையும் பெற்றுள்ளது.
எடுத்துக்காட்டு 2.33
பொருளொன்றை செங்குத்தாக கீழ் நோக்கி எறியும் போது அது எவ்வகையான முடுக்கத்தினைப் பெறும்?
தீர்வு:
நாம் அறிந்தபடி, தடையின்றித் தானே புவியை நோக்கி விழும் பொருள் புவியீர்ப்பு விசையினால் ஒரு முடுக்கத்தைப்பெறும் அது புவியீர்ப்பு முடுக்கமாகும். g = 9.8 ms-2. படத்தில் உள்ளபடி நாம் தகுந்த ஆய அச்சுத் தொகுப்பினை தேர்வு செய்ய வேண்டும்.

இதிலிருந்து முடுக்கமானது எதிர்க்குறி y திசையில் செயல்படும் என அறியலாம்.

தீர்க்கப்பட்ட எடுத்துக்காட்டு கணக்குகள் புவியீர்ப்பினால் இயங்கும் பொருளின் இயக்கச் சமன்பாடுகள்: நிகழ்வு (1): h உயரத்திலிருந்து தானே விழும் பொருள்:
எடுத்துக்காட்டு 2.34
10 m உயரத்திலிருந்து இரும்புப் பந்து மற்றும் இறகு இரண்டும் ஒரே நேரத்தில் விழுகின்றன. இரும்புப் பந்து மற்றும் இறகு இரண்டும் தரையை அடைய எடுத்துக்கொள்ளும் நேரம் எவ்வளவு?
அ) இரும்புப் பந்து மற்றும் இறகு இரண்டும் தரையை அடையும் போது அவற்றின் திசை வேகங்கள் எவ்வளவு?
(காற்றுத் தடையைப் புறக்கணிக்கவும் மேலும் g = 10 m s-2 என்க)
தீர்வு:
இயக்கச் சமன்பாடுகள் நிறையைச் சார்ந்ததல்ல. சமன்பாடு (2.18) இலிருந்து, இரும்புப் பந்து மற்றும் இறகு இரண்டும் ஒரே நேரத்தில் தரையை அடையும். இதனைப் பின்வருமாறு அறியலாம்.

எனவே, இரும்புப் பந்து மற்றும் இறகு இரண்டும் ஒரே நேரத்தில் தரையை அடையும் சமன்பாடு (2.19) இலிருந்து இரும்புப் பந்து மற்றும் இறகு தரையை அடையும்போது அவற்றின் திசைவேகங்கள் சமம். இதனைப் பின்வருமாறு அறியலாம்.

எடுத்துக்காட்டு 2.35
இயக்கச் சமன்பாடுகளைப் பயன்படுத்தி கிணற்றின் ஆழத்தை அளக்கமுடியுமா?

தண்ணீர் இல்லாத கிணறு ஒன்றைக் கருதுக. அதன் ஆழம் d என்க. ஒரு சிறிய எலுமிச்சம்பழம் மற்றும் நிறுத்து கடிகாரத்தை எடுத்துக்கொள்க. எலுமிச்சம்பழத்தை கிணற்றின் விளிம்பிலிருந்து போடும் போது கடிகாரத்தை இயக்கவும். அது கிணற்றின் தரையை அடையும்போது கடிகாரத்தை நிறுத்தி தரையை அடைய எடுத்துக்கொண்ட நேரத்தைக் கண்டுபிடிக்கவும். அதனை ‘t’ என்க.
எலுமிச்சம்பழத்தின் ஆரம்ப திசைவேகம் u = 0 மேலும் கிணறு முழுவதும் புவியீர்ப்பு முடுக்கம் ‘g’ மாறிலி. எனவே சீரான முடுக்கம் பெற்ற பொருளின் இயக்கச் சமன்பாடுகளை இங்கு பயன்படுத்தலாம்.

u = 0, s = d, a = g (கீழ் நோக்கிய இடப்பெயர்ச்சியை நேர்க்குறி y அச்சு திசையில் கருதுக)

g = 9.8ms-2 எனப் பிரதியிட்டு கிணற்றின் ஆழத்தினைக் கணக்கிடலாம்.

கணக்கீட்டில் ஏற்பட்ட பிழையினைக் கண்டறிய நமக்குக் கிணற்றின் சரியான ஆழம் தெரிய வேண்டும். இதனை ஒரு கயிற்றினைப் பயன்படுத்தி அறியலாம். ஒரு கயிற்றினை எடுத்து அதைக் கிணற்றின் தரையைத் தொடும் அளவுக்கு தொங்கவிட வேண்டும். இப்போது கயிற்றின் நீளம் dcorrect குறிக்கப்படுகிறது.

பிழைக்கான காரணம் என்ன?
சோதனையை வெவ்வேறு நிறைகளுக்கு மீண்டும் நிகழ்த்தி அதன் முடிவினை dcorrect உடன் ஒவ்வொரு முறையும் ஒப்பிடவும்.
தீர்க்கப்பட்ட எடுத்துக்காட்டு கணக்குகள் புவியீர்ப்பினால் இயங்கும் பொருளின் இயக்கச் சமன்பாடுகள்: நேர்வு (ii): பொருளொன்றை செங்குத்தாக மேல்நோக்கி எறிதல்
எடுத்துக்காட்டு 2.36
இரயில் வண்டியொன்று 54 km h-1 என்ற சராசரி வேகத்தில் சென்று கொண்டிருக்கிறது. தடையை செலுத்திய பின்பு அவ்வண்டி 225 m சென்று நிற்கிறது எனில் இரயில் வண்டியின் எதிர் முடுக்கத்தைக் காண்க.
தீர்வு: இரயில் வண்டியின் இறுதித் திசைவேகம் v = 0 இரயில் வண்டியின் ஆரம்பத்திசைவேகம்

எதிர் முடுக்கம் எப்போதும் திசைவேகத்திற்கு எதிராக இருக்கும் எனவே,

தீர்க்கப்பட்ட எடுத்துக்காட்டு கணக்குகள் எறிபொருளின் இயக்கம்
எடுத்துக்காட்டு 2.37
எறிபொருள் ஒன்று 10 m s-1 என்ற ஆரம்பத் திசைவேகத்துடன், கிடைத்தளத்துடன் π/4 கோண அளவில் எறியப்படுகிறது. அதன் கிடைத்தளத் நெடுக்கத்தைக் கண்டுபிடி, அதே எறிபொருளை முன்னர் எறிந்தவாறே நிலவில் எறியும் போது அதன் கிடைத்தள நெடுக்கத்தில் ஏதேனும் மாற்றம் நிகழுமா? நிகழும் எனில் எவ்வகையான மாற்றம் என்று விளக்குக.
(நிலவின் ஈர்ப்பு முடுக்கம் gநிலவு = 1/6 g)
தீர்வு
எறிபொருள் இயக்கத்தில் கிடைத்தள நெடுக்கம்

இதே எறிபொருளை நிலவில் எறியும் போது அதன் கிடைத்தள நெடுக்கம் அதிகரிக்கும் ஏனெனில் நிலவின் ஈர்ப்பு முடுக்கம், புவியின் ஈர்ப்பு முடுக்கத்தைவிடக் குறைவு.

நிலவில் எறிபொருளின் கிடைத்தள நெடுக்கம், புவியில் எறிபொருளின் கிடைத்தள நெடுக்கத்தை விட ஆறுமடங்கு அதிகம்.
எடுத்துக்காட்டு 2.38
படத்தில் காட்டியவாறு கிரிக்கெட் வீரர் பந்து ஒன்றினை மட்டையால் அடித்த பின்பு, அப்பந்து 30 m s-1 என்ற திசைவேகத்துடனும், 30° கோணத்திலும் பறந்து செல்கிறது. மைதானத்தின் எல்லையானது பந்தினை அடித்த கிரிக்கெட் வீரரிலிருந்து 75 m தொலைவில் உள்ளது. அப்பந்து மைதானத்தின் எல்லையை பறந்து சென்று கிரிக்கெட் வீரருக்கு ஆறு ரன்களைப் பெற்றுத்தருமா? (காற்றுத்தடையைப் புறக்கணிக்கவும் மற்றும் புவியீர்ப்பு முடுக்கம் g = 10 m s-2 எனக் கருதுக).

தீர்வு
கிரிக்கெட் பந்தின் இயக்கத்தை எறிபொருளின் இயக்கமாகக் கருதலாம். நாம் முன்னர் பார்த்தபடி கிடைத்தளத் தொலைவு

ஆரம்பத்திசை வேகம் u = 30ms-1
எறிகோணம் θ = 30°
கிரிக்கெட் பந்தின் கிடைத்தள நெடுக்கம்

கிடைத்தள நெடுக்கம் மைதானத்தின் எல்லையான 75 மீட்டரை விட அதிகமாக உள்ளது. எனவே, பந்து எல்லையைக் கடந்து பறந்து வீரருக்கு ஆறு ரன்களைப் பெற்றுத் தரும்.
தீர்க்கப்பட்ட எடுத்துக்காட்டு கணக்குகள் டிகிரி மற்றும் ரேடியன்கள்
எடுத்துக்காட்டு 2.39
படத்தில் உள்ள வட்டச்சக்கரத்தின் அருகருகே உள்ள இரண்டு ஆரச்சட்டங்களுக்கு (SPOKES) இடையே உள்ள கோணம் θ வை காண்க. உங்களின் விடையை ரேடியன் மற்றும் டிகிரி இரண்டிலும் குறிப்பிடவும்.

தீர்வு
முழுச்சக்கரம் மையத்தில் 2 π ரேடியன்களை ஏற்படுத்தும் சக்கரம் 12 பிரிவுகளாகப் (வட்டவில்) பிரிக்கப்பட்டுள்ளது.
எனவே, ஒரு பிரிவு ஏற்படுத்தும் கோணம்

ஃ எனவே, 2 ஆரச்சட்டங்களுக்கு இடைப்பட்ட கோணம் = 30°
தீர்க்கப்பட்ட எடுத்துக்காட்டு கணக்குகள் கோண இடப்பெயர்ச்சி
எடுத்துக்காட்டு 2.40
துக்களொன்று 10 m ஆரமுடைய வட்டப்பாதையில் சுற்றுகிறது. அதன் நேர்க்கோட்டு வேகம் v=3t. இங்கு t வினாடியிலும் மற்றும் v ஆனது ms-1 லும் உள்ளது.
(அ) t = 2 வினாடியில் துகளின் மைய நோக்கு முடுக்கம் மற்றும் தொடுகோட்டு முடுக்கம் ஆகியவற்றைக் காண்க.
(ஆ) தொகுபயன்வெக்டர், ஆரவெக்டருடன் ஏற்படுத்தும் கோணத்தைக் காண்க.
தீர்வு
t = 2 வினாடியில் துகளின் வேகம்

t = 2 வினாடியில் துகளின் மைய நோக்கு முடுக்கம்

தொடுகோட்டு முடுக்கம் 
ஆர வெக்டருக்கும், தொகுபயன் வெக்டருக்கும் உள்ள கோணம்

எடுத்துக்காட்டு 2.41
வட்டப்பாதை இயக்கத்திலுள்ள துகள் ஒன்றின் கோண முடுக்கம் α = 0.2 rads-2
(அ) இத்துகள் 5 வினாடிகளுக்குப் பின்னர் அடைந்த கோண இடப்பெயர்ச்சி மற்றும்
(ஆ) நேரம் t = 5 வினாடியில் இத்துகளின் கோணத்திசை வேகம் ஆகியவற்றைக் காண்க. (துகளின் ஆரம்பக்கோணத்திசைவேகம் சுழி எனக் கருதுக).
தீர்வு
துகளின் ஆரம்பக் கோணத்திசைவேகம் (ω0 = 0 ) துகளின் கோண இடப்பெயர்ச்சி
