தொகை நுண்கணிதத்தின் பயன்பாடுகள் | கணிதவியல் - ஓர் அச்சைப் பொருத்து பரப்பை சுழற்றுவதால் அடைய பெறும திடப்பொருளின் கனஅளவு (Volume of a solid obtained by revolving area about an axis) | 12th Maths : UNIT 9 : Applications of Integration
ஓர் அச்சைப் பொருத்து பரப்பை சுழற்றுவதால் அடைய பெறும திடப்பொருளின் கனஅளவு (Volume of a solid obtained by revolving area about an axis)
ஒரு நிலையான அச்சைப் பொருத்து சுழற்றுதலில் அடையப்பெறும திடப்பொருள்களின் கன அளவுகளைக் கண்டறிய வரையறுத்த தொகையிடல் பயன்படுகிறது. ஒரு நிலையான அச்சைப் பொருத்து சுழற்சியால் அடையப் பெறும திடப்பொருள் என்பது கொடுக்கப்பட்டுள்ள தளத்தில் உள்ள அரங்குப்பகுதியை ஒரு நிலையான அச்சைப் பொருத்து தளத்தில் முழு சுற்று சுற்றுவதால் திடப்பொருள் ஒன்று உருவாகிறது எனப் பொருள்படுகிறது. உதாரணமாக x-அச்சிற்கு மேல் x2 + y2 = a2 எனும் வட்டத்தின் உட்பகுதியில் அமைந்த அரைவட்டப் பகுதியினைக் படம் 9.34 கருதுவோம். காண்க.

x-அச்சை பொருத்து, இப்பகுதியை ஒரு முழு சுழற்சிக்கு உட்படுத்தினால் (360° - க்கான சுழற்சி 2π ஆரையன்கள் ஆகும்) உருவாகும் பொருள் கோளமாகும்.
அதே போல் a ஆரம் மற்றும் h உயரம் கொண்ட ஒரு நேர்வட்ட உருளையைப் பெற xy-தளத்தில் y = 0, y = a, x = 0 மற்றும் x = h கோடுகளால் சூழப்பட்ட செவ்வகப் பகுதியை கருதுவோம். படம் 9.35-ல் காண்க. இப்பகுதியை x - அச்சைப் பொருத்து ஒரு முழு சுழற்சிக்கு உட்படுத்தினால் (360° -க்கான சுழற்சி 2π ஆரையன்கள் ஆகும்) உருளை எனப்படும் திடப்பொருள் உருவாகிறது.

சுழற்சியில் ஏற்படும் திடப்பொருளின் கன அளவினை x- அச்சைப் பொருத்து அல்லது y-அச்சைப் பொருத்து மட்டுமே இப்பாடப்பகுதியில் கண்டறிவோம்.
x-அச்சைப் பொருத்து சுழற்சியால் ஏற்படும் திடப் பொருளைக் கருதும்போதெல்லாம் x- அச்சிற்கு மேல் உள்ள x- அச்சில் சுழலும் தளம் அரங்கமாகும். எனவே, இவ்வரங்கில் y ≥ 0 ஆகும். y- அச்சைப் பொருத்து சுழற்சியால் ஏற்படும் திடப்பொருளைக் கருதும்போதெல்லாம் y-அச்சிற்கு மேல் உள்ள y-அச்சில் சுழலும் தளம் அரங்கமாகும். எனவே, இவ்வரங்கில் x ≥ 0 ஆகும். y = f (x), x-அச்சு மற்றும் x = a மற்றும் x = b > a ஆகியவற்றின் வரம்பிற்குட்பட்டு x- அச்சைப் பொருத்து சுழற்சியால் முதல் காற்பகுதியில் ஏற்படும் திடப்பொருளின் கன அளவு காணும் சூத்திரம் காண்போம். r ஆரமும் h உயரமும் கொண்ட ஒரு உருளையின் அனைத்து கன அளவுகளும் கணக்கிடப்படுகின்றன கன அளவு சூத்திரம் πr2h என்பதே ஆகும்.
x = a மற்றும் x = b > a ஆகிய இரு கோடுகளுக்கிடையே y-அச்சிற்கு இணையாக இருக்கும் ஒவ்வொரு கோடும் y = f (x) வளைவரையை முதல் காற்பகுதியில் ஒரே ஒரு புள்ளியில் மட்டுமே வெட்டும் எனக் கருதுவோம். [a,b] இடைவெளியை

n துண்டுகளாக x1, , x2,...., xn-1 என வகுப்போம்.
xy-தளத்திலுள்ள அரங்கத்திலுள்ள ஒவ்வொரு i = 0,1,2,..., n -1-க்கும், xi மற்றும் xi + ∆x -க்கு இடைப்பட்ட அரங்கமானது தோராயமாக x- அச்சு மற்றும் y = f (x) வளைவரைக்கு இடைப்பட்டு அமைந்த x = xi -ல் உள்ள ஒவ்வொரு எண்ணற்ற சிறு செவ்வகங்களின் சுழற்சியால் ஏற்படும் ஒரு அடிப்படையான திடப்பொருள் தோராயமாக yi ஆரமாகவும் ∆x உயரமாகவும் கொண்டிருக்கும் ஒரு மெல்லிய உருளைத்தட்டினை உருவாக்கும். படம் 9.36-ல் காண்க. x = xi -ல் உள்ள உருளைத் தட்டின் கன அளவு πy2i ∆x, i = 0,1, 2,... n - 1 ஆகும். இந்த அடிப்படையான கன அளவுகள் அனைத்தும் கூட்ட, சுழற்சியால் ஏற்படும் திடப்பொருளின் கன அளவின் தோராய மதிப்பு
. எனக் கிடைக்கும்.

∆x சிறியதாக மேலும் சிறியதாக எனும்படி (∆x → 0), n பெரியதாக மேலும் பெரியதாக ஆகிறது. (n → ∞) இனி
என்பது சுழற்சியால் ஏற்படும் திடப்பொருளின் கன அளவை அணுகும்.
எனவே சுழற்சியால் ஏற்படும் திடப் பொருளின் கன அளவு ஆகும்.
அதேபோன்று y-அச்சு பொருத்து வளைவரை x = f (y), y-அச்சு, மற்றும் y = c மற்றும் y = d >c கோடுகள் ஆகியவற்றின் வரம்பிற்குட்பட்டு சுழலும் திடப்பொருளின் கன அளவு காணும் சூத்திரம் கண்டறிவோம்.
y = c மற்றும் y = d > c ஆகிய கோடுகளுக்கிடையே வளைவரை x = f (y), yஅச்சிற்கு வலப்பக்கமாக அமைகிறது.
y = c மற்றும் y = d > c ஆகிய கோடுகளுக்கிடையே x-அச்சிற்கு இணையாக இருக்கும்
ஒவ்வொரு கோடும் y = f (x) வளைவரையை முதல் காற்பகுதியில் ஒரே ஒரு புள்ளியில் மட்டுமே வெட்டும் எனக் கருதுவோம். படம் 9.37-ல் காண்க. எனவே சுழற்சியால் ஏற்படும் திடப்பொருளின் கன அளவு π∫cdx2dy. ஆகும்.

எடுத்துக்காட்டு 9.62
ஆரம் a உடைய கோளத்தின் கன அளவைக் காண்க.
தீர்வு
x2+ y2 = a2 என்ற வட்டத்திற்கும் x-அச்சுக்கும் இடையே அமையும் மேல் அரை வட்டத்தின் அரங்கத்தின் பரப்பை x-அச்சைப் பொருத்து சுழற்றினால் ஆரம் a உடைய கோளத்தின் கன அளவைக் காணலாம்.-- படம் 9.38ஐ பார்க்க .
அரங்கத்தின் எல்லைகள் y = √a2 - x2, x-அச்சு, கோடுகள் x = -a மற்றும் x = a
எனவே கோளத்தின் கன அளவு ,

எடுத்துக்காட்டு 9.63
ஆரம் r மற்றும் உயரம் h உடைய நேர்வட்டக் கூம்பின் கன அளவைக் காண்க.
தீர்வு
முதல் காற்வட்டப்பகுதியில் உள்ள முக்கோண அரங்கத்தின் பரப்பானது y = r/h x , x- அச்சு, கோடுகள் x = 0 மற்றும் x = h x-அச்சைப் பொருத்து சுழற்றினால் அடிப்பக்க ஆரம் r மற்றும் உயரம் h உடைய நேர்வட்டக் கூம்பை பெறலாம். படம் 9.39-ல் காண்க.
எனவே கூம்பின் கன அளவானது,

எடுத்துக்காட்டு 9.64
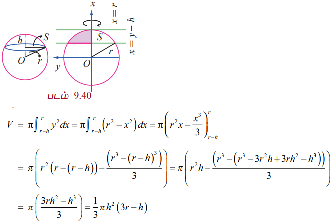
ஆரம் r மற்றும் உயரம் h உடைய கோள வடிவ தொப்பியின் கன அளவைக் காண்க.
தீர்வு
வட்டம் x2 + y2 = r2, x-அச்சு, கோடுகள் x = r - h மற்றும் x = r ஆகியவற்றால் சூழப்பட்ட முதல் கால் வட்டப் பகுதியில் உள்ள அரங்கத்தின் பரப்பை x-அச்சைப் பொருத்து சுழற்றும்போது உருவாகும் திடப்பொருளானது, ஆரம் r, உயரம் h உடைய கோள வடிவத் தொப்பியாகும். படம் 9.40-ல் காண்க. எனவே தேவையான கன அளவு

குறிப்பு
மேலே உள்ள கோள வடிவத் தொப்பியின் கன அளவை தொப்பியின் ஆரம் மூலமும் எழுதலாம். ρ என்பது கோள வடிவத் தொப்பியின் ஆரம் எனில் ρ2 + (r – h)2 = r2
எனவே r = ρ2 + h2 / 2h மேலே உள்ள கன அளவில் r-ன் மதிப்பை பிரதியிட, நாம் பெறுவது

எடுத்துக்காட்டு 9.65
பரவளையம் y = x2, x-அச்சு, கோடுகள் x = 0 மற்றும் x = 1 ஆகியவற்றால் அடைப்பட்டுள்ள அரங்கத்தின் பரப்பை x-அச்சைப் பொருத்துச் சுழற்றினால் உருவாகும் திடப்பொருளின் கன அளவைக் காண்க..
தீர்வு
x-அச்சைப் பொருத்துச் சுழற்றப்படும் அரங்கத்தின் பரப்பானது படம் 9.41-ல் நிழலிடப்பட்டுள்ளது. எனவே, தேவையான கன அளவானது

எடுத்துக்காட்டு 9.66
x2/a2 + y2/b2 =1,a > b
என்ற அடைப்படும் அரங்கத்தின் பரப்பினை நெட்டச்சைப் பொருத்துச்சுழற்றினால் உருவாகும் திடப்பொருளின் கனஅளவைக் காண்க.
தீர்வு
நீள் வட்டமானது இரு அச்சுக்களை பொருத்து சமச்சீர் ஆகும். x-அச்சானது நெட்டச்சு ஆகும். சுழற்றப்படும் அரங்கத்தின் பரப்பானது படம் 9.42-ல் நிழலிடப்பட்டுள்ளது. எனவே தேவையான கன அளவானது,

குறிப்பு
x2 /a2 + y2/b2 =1 என்ற நீள்வட்டத்திற்குள் அடைபடும் அரங்கத்தின் பரப்பை y-அச்சைப் பொருத்து சுழற்றினால் உருவாகும் திடப்பொருளின் கன அளவானது 4πa2b/3. இத்திடப்பொருள் நீள்வட்ட திண்மம் (ellipsoid) என அழைக்கப்படும்.
எடுத்துக்காட்டு 9.67
பரவளையம் x = y2 +1, y-அச்சு, மற்றும் கோடுகள் y = 1 மற்றும் y = -1 ஆகியவற்றால் அடைபடும் அரங்கத்தின் பரப்பை y-அச்சைப் பொருத்து சுழற்றுவதால் உருவாகும் திடப்பொருளின் கன அளவைத் தொகையிடலைப் பயன்படுத்தி காண்க.
தீர்வு
பரவளையம் x = y2 +1 ஆனது y2 = x-1 ஆகும். இது x-அச்சைப் பொருத்துச் சமச்சீர் மற்றும் இதன் முனை (1,0) மற்றும் குவியம் (5/4, 0) ஆகும். சுழற்றப்படும் அரங்கத்தின் பரப்பு படம் 9.43-ல் நிழலிடப்பட்டுள்ளது. எனவே தேவையான கன அளவு

எடுத்துக்காட்டு 9.68
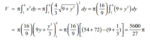
வளைவரை y = 3/4√x2 -16, x ≥ 4, y- அச்சு, மற்றும் கோடுகள் y = 1 மற்றும் y = 6 ஆகியவற்றால் அடைபடும் அரங்கத்தின் பரப்பை y- அச்சைப் பொருத்து சுழற்றுவதால் உருவாகும் திடப்பொருளின் கன அளவை தொகையிடலைப் பயன்படுத்திக் காண்க.
தீர்வு
கொடுக்கப்பட்டது
எனவே கொடுக்கப்பட்ட வளைவரையானது அதிபரவளையம் x2/16 – y2/9 =1
மற்றும் கோடுகள் y=1 மற்றும் y = 6 ஆகியவற்றுக்கு இடைப்பட்ட ஒரு பகுதியாகும். இப்பகுதி x-அச்சில் மேல் உள்ளது.

சுழற்றப்படும் அரங்கத்தின் பரப்பானது படம் 9.44-ல் நிழலிடப்பட்டுள்ளது. y-அச்சைப் பொருத்து சுழற்றுவதால் அதிபரவளையத்தின் ஒரு பகுதியின் சமன்பாடானது x= 4/3 √9+y2 உருவாகும் திடப்பொருளின் கன அளவு

எடுத்துக்காட்டு 9.69
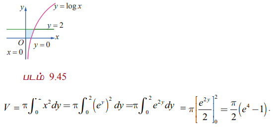
வளைவரை y = log x , y = 0, x = 0 மற்றும் y = 2 ஆகியவற்றால் அடைபடும் அரங்கத்தின் பரப்பை y-அச்சைப் பொருத்து சுழற்றுவதால் உருவாகும் திடப்பொருளின் கனஅளவைத் தொகையிடலைப் பயன்படுத்திக் காண்க.
தீர்வு
சுழற்றப்படும் அரங்கத்தின் பரப்பு படம் 9.45-ல் நிழலிடப்பட்டுள்ளது. y-அச்சைப் பொருத்து சுழற்றுவதால் உருவாகும் திடப்பொருளின் x = 0 கனஅளவானது
