ஒரு பரிமாண மீட்சி மோதல்கள்
m1 மற்றும் m2 நிறையுள்ள இரு மீட்சிப் பொருள்கள் படம் 4.16 இல் காட்டியுள்ளவாறு ஒரு உராய்வற்ற கிடைத்தளப்பரப்பில் நேர்க்கோட்டில் (நேர் x - அச்சின் திசையில்) இயங்குவதாகக் கருதுக.

மோதல் நிகழ நிறை m1, நிறை m2 ஐ விட வேகமாக இயங்குவதாகக் கருதுக. அதாவது u1 > u2. மீட்சி மோதலுக்கு இரு பொருள்களின் மொத்த நேர்க்கோட்டு உந்தம் மற்றும் இயக்க ஆற்றல்கள் மோதலுக்கு முன்பும் மோதலுக்குப் பின்பும் மாறாமல் ஒரே அளவாக இருக்க வேண்டும்.

நேர்க்கோட்டு உந்த மாறா விதியில் இருந்து மோதலுக்கு முன் மொத்த உந்தம் (Pi) = மோதலுக்குப் பின் மொத்த உந்தம் (Pf)

மீட்சி மோதலுக்கு மோதலுக்கு முன் மொத்த இயக்க ஆற்றல் KEi = மோதலுக்குப் பின் மொத்த இயக்க ஆற்றல் KEf

சுருக்கிய பிறகு மாற்றியமைக்க 
மேற்கண்ட சமன்பாட்டை a2 - b2 = (a + b)(a - b) என்ற வாய்ப்பாட்டைப் பயன்படுத்தி மீண்டும் எழுத

சமன்பாடு (4.49) ஐ (4.47) - ஆல் வகுக்க கிடைப்பது

சமன்பாடு (4.50) - ஐ இவ்வாறு எழுதலாம்.

இதன் பொருளானது எந்த ஒரு நேரடி மீட்சி மோதலிலும், மோதலுக்குப்பின் இரு மீட்சிப் பொருள்களின் ஒப்புமை வேகம் மோதலுக்கு முன் இருந்த அதே எண் மதிப்பைக் கொண்டும் ஆனால் எதிர்த்திசையிலும் இருக்கும் என்பதாகும். மேலும் இந்த முடிவு நிறையைச் சார்ந்ததல்ல என்பதை அறியவும்.
மேற்கண்ட சமன்பாட்டிலிருந்து V1 மற்றும் V2 மதிப்புகளைக் காண

இறுதி திசைவேகங்கள் V1 மற்றும் V2 கண்டறிதல்:
சமன்பாடு (452) ஐ சமன்பாடு (4.47) இல் பிரதியிடுவதன் மூலம் m1 இன் திசைவேகமானது

இது போன்றே சமன்பாடு (4.51) ஐ சமன்பாடு (4.47) இல் பிரதியிட அல்லது சமன்பாடு (4.53) ஐ சமன்பாடு (4.52) இல் பிரதியிட m2 இன் இறுதி திசைவேகமானது

நேர்வு 1: பொருள்கள் ஒரே நிறையைக் கொண்டிருந்தால் அதாவது m1 = m2

சமன்பாடுகள் (4.55) மற்றும் (456) தெரிவிப்பது என்னவெனில் ஒரு பரிமாண மீட்சி மோதலில் சம நிறையுள்ள இரு பொருள்கள் மோதிக்கொண்டால் மோதலுக்குப் பின் அவற்றின் திசைவேகங்கள் பரிமாறிக் கொள்ளப்படுகின்றன.
நேர்வு 2: பொருள்கள் ஒரே நிறையைக் கொண்டிருந்தால், அதாவது m1 = m2 மற்றும் இரண்டாவது பொருள் (வழக்கமாக இலக்கு என அழைக்கப்படுவது) ஓய்வு நிலையில் உள்ளபோது (u2 = 0).
m1 = m2 மற்றும் (u2 = 0) என்ற மதிப்புகளை சமன்பாடுகள் (4.53) மற்றும் (4.54) இல் பிரதியிட

சமன்பாடு (457) மற்றும் (4.58) தெரிவிப்பது என்னவெனில் முதல் பொருள் மோதலுக்குப் பின் ஓய்வு நிலைக்கு வரும்போது இரண்டாவது பொருள் முதல் பொருளின் தொடக்க திசை வேகத்தில் இயங்குகிறது.
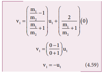
நேர்வு 3: முதல் பொருளானது இரண்டாவது பொருளின் நிறையைவிட குறைவாக இருந்தால்,
பிறகு விகிதம் m1/m2 ≈ 0 மற்றும் இலக்கு ஓய்வு நிலையில் உள்ளபோது (u2 = 0) சமன்பாடு (4.53) இன் தொகுதி மற்றும் பகுதியை m2 ஆல் வகுக்க

இது போன்றே,
சமன்பாடு (4.54) இன் தொகுதி மற்றும் பகுதியை m2- ஆல் வகுக்க

நிறை குறைவாக உள்ள முதல் பொருளானது அதே தொடக்க திசைவேகத்துடன் எதிர்த்திசையில் திரும்புகிறது (மீண்டெழுகிறது) என்பதைச் சமன்பாடு (4.59) இல் உள்ள எதிர்க்குறி குறிக்கிறது. அதிக நிறையுள்ள இரண்டாவது பொருளானது மோதலுக்குப் பிறகும் ஓய்வு நிலையிலேயே தொடர்ந்து இருக்கிறது என்பதைச் சமன்பாடு (4.60) குறிக்கிறது. எடுத்துக்காட்டாக, பந்து ஒன்று நிலையான சுவரின் மீது எறியப்பட்டால் பந்தானது எறியப்பட்ட அதே திசைவேகத்திலேயே எதிர்த்திசையில் சுவரில் இருந்து திரும்பி வரும்.
நேர்வு 4: இரண்டாவது பொருளானது முதல் பொருளைவிட நிறை குறைவாக உள்ளபோது,
பிறகு விகிதம் m2/m1 ≈ 0 மற்றும் இலக்கு ஓய்வு நிலையில் உள்ளபோது (u2 = 0) சமன்பாடு (4.53) இன் தொகுதி மற்றும் பகுதியை m1 -ஆல் வகுக்க

இதுபோன்றே,
சமன்பாடு (4.58) இன் தொகுதி மற்றும் பகுதியை m1-ஆல் வகுக்க

கனமாக உள்ள முதல் பொருளானது மோதலுக்குப் பிறகு அதே திசைவேகத்துடன் தொடர்ந்து இயங்குகிறது என்பதைச் சமன்பாடு (4.61) குறிக்கிறது. நிறை குறைவாக உள்ள இரண்டாவது பொருள் முதல் பொருளின் தொடக்க திசைவேகத்தைப் போல இரு மடங்கு திசைவேகத்துடன் இயங்குகிறது என்பதைச் சமன்பாடு (4.62) குறிக்கிறது. நிறை குறைவாக உள்ள பொருள் மோதலுறும் புள்ளியிலிருந்து வேகமாகச் செல்கிறது.
தீர்க்கப்பட்ட எடுத்துக்காட்டு கணக்குகள் ஒரு பரிமாண மீட்சி மோதல்கள்
எடுத்துக்காட்டு 4.20
10 ms-1 வேகத்தில் இயங்கும் ஒரு நிறை குறைவான பொருள் அதன் நிறையைப் போன்று இரு மடங்கு மற்றும் அதன் வேகத்தில் பாதியளவு கொண்ட அதே திசையில் இயங்கும் மற்றொரு பொருளின் மீது மோதுகிறது. மோதலானது ஒரு பரிமாணமீட்சி மோதல் எனக் கருதுக. மோதலுக்குப் பிறகு இரு பொருள்களின் வேகம் என்ன?
தீர்வு:

முதல் பொருளின் நிறை m என்க, மற்றும் அதன் தொடக்க திசைவேகம் u1 = 10 m s-1. எனவே இரண்டாவது பொருளின் நிறை 27 மற்றும் அதன் தொடக்க திசைவேகம்

சமன்பாடுகள் (4.53) மற்றும் (4.54) இல் இருந்து இரு பொருள்களின் இறுதி திசைவேகங்களைக் கணக்கிடலாம்.

v1 மற்றும் v2 ஆகிய இரு வேகங்களும் நேர்க்குறியாக உள்ளதால் அவை இரண்டும் முறையே 3.33 ms-1 மற்றும் 8.33 ms-1 என்ற திசைவேகங்களுடன் மோதலுக்கு முன் இயங்கிய திசையிலேயே இயங்குகின்றன.