கரிம நைட்ரஜன் சேர்மங்கள் | வேதியியல் - தன்மதிப்பீடு | 12th Chemistry : UNIT 13 : Organic Nitrogen Compounds
Posted On : 18.08.2022 09:41 pm
12 ஆம் வகுப்பு வேதியியல் : அத்தியாயம் 13 : கரிம நைட்ரஜன் சேர்மங்கள்
தன்மதிப்பீடு
வேதியியல் : கரிம நைட்ரஜன் சேர்மங்கள் : தன்மதிப்பீடு - வினாக்களுக்கான தீர்வுகள்
III. தன் மதிப்பீடு
1. பின்வரும் சேர்மங்களுக்கு சாத்தியமான அனைத்து மாற்றியங்களையும் எழுதுக.
i) C2H5 – NO2
ii) C3H7-NO2

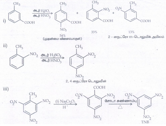
2. பின்வரும் வினைகளில் விளைப்பொருட்களைக் கண்டறிக.

3. பின்வரும் சேர்மங்களின் நைட்ரோ ஏற்ற வினையினால் உருவாகும் முதன்மை விளைபொருட்களைக் கண்டறிக

4. பின்வரும் சேர்மங்களுக்கு வடிவமைப்புகளை வரைக.
i. நியோ பென்டைல் அமீன்
ii. மூவிணைய பியூட்டைல் அமீன்
iii. α-அமினோ புரப்பியோனால்டிஹைடு
iv. ட்ரை பென்சைல் அமீன்
v. N - எத்தில் - N - மெத்தில் ஹெக்சன் - 3- அமீன்

5. பின்வரும் அமீன்களுக்கு சரியான IUPAC பெயரைத் தருக,

Tags : Organic Nitrogen Compounds | Chemistry கரிம நைட்ரஜன் சேர்மங்கள் | வேதியியல்.
12th Chemistry : UNIT 13 : Organic Nitrogen Compounds : Evaluate yourself Organic Nitrogen Compounds | Chemistry in Tamil : 12th Standard
Tamil Medium School Samacheer Book Back Questions and answers, Important Question with Answer.
12 ஆம் வகுப்பு வேதியியல் : அத்தியாயம் 13 : கரிம நைட்ரஜன் சேர்மங்கள் : தன்மதிப்பீடு - கரிம நைட்ரஜன் சேர்மங்கள் | வேதியியல் : 12 ஆம் வகுப்பு
புத்தகம் கேள்விகள் மற்றும் பதில்கள்.