கேள்வி பதில்கள் மற்றும் தீர்வுகள் | முக்கோணவியல் - பயிற்சி : முக்கோணவியல் | 10th Mathematics : UNIT 6 : Trigonometry
அலகு பயிற்சி
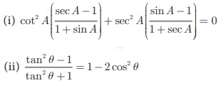
1. நிரூபிக்கவும்


2.
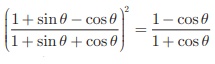
என்பதை நிரூபிக்கவும்

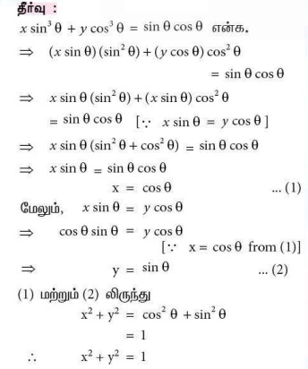
3. x sin3θ + y cos3 θ = sin θ cos θ மற்றும் x sin θ = y cos θ எனில் x2 + y2 = 1 என நிரூபிக்கவும்

4. a cos θ − b sin θ = c எனில் (a sin θ + b cos θ) = ± √ [a2 +b2 −c2] என நிரூபிக்கவும்.

5. 80 மீ உயரமுள்ள மரத்தின் உச்சியில் ஒரு பறவை இருக்கிறது. தரையில் உள்ள ஒரு புள்ளியிலிருந்து பறவையின் ஏற்றக்கோணம் 45°. பறவை ஒரே உயரத்தில் கிடைமட்டத்தில் பறந்து செல்கிறது. 2 வினாடிகள் கழித்து அதே புள்ளியிருந்து பறவையின் ஏற்றக்கோணம் 30° எனில், பறவை பறக்கும் வேகத்தினைக் காண்க. (√3 = 1.732)

6. விமானம் ஒன்று புவிப் பரப்பிற்கு இணையாக 600 மீ உயரத்தில் 175 மீ/வி வேகத்தில் செல்கிறது. புவியின் மீது ஒரு புள்ளியிலிருந்து விமானத்திற்கு உள்ள ஏற்றக்கோணம் 37° ஆகும். அதே புள்ளியிலிருந்து ஏற்றக்கோணம் 53° - க்கு அதிகரிக்க எவ்வளவு நேரம் தேவைப்படும்? (tan 53° = 1.3270, tan 37° = 0. 7536)

7. ஒரு பறவை A என்ற இடத்திலிருந்து 30 கி.மீ தொலைவில் B என்ற இடத்திற்கு 35° கோணத்தில் பறக்கிறது. B-ல் 48° கோணத்திலிருந்து விலகி 32 கி.மீ தொலைவில் உள்ள C என்ற இடத்திற்குச் செல்கிறது,
(i) A -ன் வடக்குப் புறமாக B-ன் தொலைவு எவ்வளவு?
(ii) A - ன் மேற்குப் புறமாக B -ன் தொலைவு எவ்வளவு?
(iii) B -ன் வடக்குப் புறமாக C-ன் தொலைவு எவ்வளவு?
(iv) B -ன் கிழக்குப் புறமாக C-ன் தொலைவு எவ்வளவு?
(sin 55° = 0.8192, cos 55° = 0.5736, sin 42° = 0.6691, cos 42° = 0.7431)

8. கலங்கரை விளக்கம் இருக்கும் இடத்திலிருந்து கடலில் எதிரெதிர் திசையில் இரு கப்பல்கள் பயணம் செய்கின்றன. கலங்கரை விளக்கத்தின் உச்சியிலிருந்து இரு கப்பல்களின் இறக்கக்கோணங்கள் முறையே 60° மற்றும் 45°. கப்பல்களுக்கு இடையே உள்ள தொலைவு 200 ( (√3+ 1) / √3) மீ எனில், கலங்கரை விளக்கத்தின் உயரம் காண்க.

9. ஒரு தெருவில் கட்டடமும், சிலையும் எதிரெதிர்த் திசையில் 35 மீ இடைவெளியில் அமைந்துள்ளன. கட்டடத்தின் உச்சியிலிருந்து, சிலை உச்சியின் ஏற்றக்கோணம் 24° மற்றும் சிலை அடியின் இறக்கக்கோணம் 34° எனில், சிலையின் உயரம் என்ன? (tan 24° = 0.4452, tan 34° = 0.6745)
