கேள்வி பதில்கள் மற்றும் தீர்வுகள் | கணக்கு - பயிற்சி 4.2 : தேல்ஸ் தேற்றமும், கோண இருசமவெட்டித் தேற்றமும் | 10th Mathematics : UNIT 4 : Geometry
பயிற்சி 4.2
1. ΔABC யின் பக்கங்கள் AB மற்றும் AC -யின் மீதுள்ள புள்ளிகள் முறையே D மற்றும் E ஆனது DE || BC என்றவாறு அமைந்துள்ளது. (i) AD/DB = 3/4 மற்றும் AC =15 செ.மீ எனில் AE -யின் மதிப்பு காண்க.
(ii) AD = 8x - 7, DB = 5 x - 3, AE = 4x - 3 மற்றும் EC = 3 x - 1 எனில், x- ன் மதிப்பு காண்க.

2. ABCD என்ற ஒரு சரிவகத்தில் AB || DC மற்றும் P, Q என்பன முறையே பக்கங்கள் AD மற்றும் BC-யின் மீது அமைந்துள்ள புள்ளிகள் ஆகும். மேலும் PQ || DC, PD = 18 செ.மீ, BQ = 35 செ.மீ மற்றும் QC = 15 செ.மீ எனில், A D காண்க.

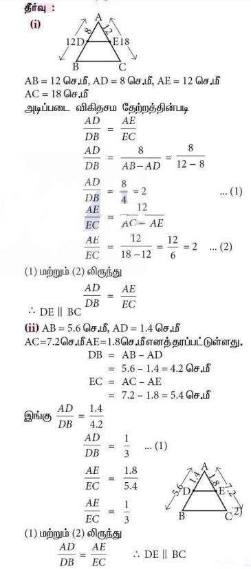
3. ΔABC-யில் D மற்றும் E என்ற புள்ளிகள் முறையே பக்கங்கள் AB மற்றும் AC ஆகியவற்றின் மீது அமைந்துள்ளன. AB = 12 செ.மீ, AD = 8 செ.மீ, AE = 12 செ.மீ மற்றும் AC = 18 செ.மீ. எனில் DE || BC என நிறுவுக.

4. படத்தில் PQ || BC மற்றும் PR || CD எனில்
என நிறுவுக.


5. ΔABC - யின் உள்ளே ∠B ஐ ஒரு கோணமாகக் கொண்ட சாய்சதுரம் PQRB அமைந்துள்ளது. P, Q மற்றும் R என்பன முறையே பக்கங்கள் AB, AC மற்றும் BC மீது அமைந்துள்ள புள்ளிகள் ஆகும். A B =12 செ.மீ மற்றும் BC = 6 செ.மீ எனில், சாய்சதுரத்தின் பக்கங்கள் PQ, RB - யைக் காண்க.

6. சரிவகம் ABCD-யில் AB || DC, E மற்றும் F என்பன முறையே இணையற்ற பக்கங்கள் AD மற்றும் BC -ன் மீது அமைந்துள்ள புள்ளிகள், மேலும் EF || AB என அமைந்தால்
என நிறுவுக.

7. படத்தில் DE || BC மற்றும் CD || EF எனில் AD2 = AB × AF என நிறுவுக.


8. பின்வருவனவற்றுள் ΔABC-யில் AD ஆனது ∠A -யின் இருசமவெட்டி ஆகுமா எனச் சோதிக்கவும்.
(i) AB = 5 செ.மீ, AC = 10 செ.மீ, BD = 1.5 செ.மீ மற்றும் CD = 3.5 செ.மீ.
(ii) AB = 4 செ.மீ, AC = 6 செ.மீ, BD = 1.6 செ.மீ மற்றும் CD = 2.4 செ.மீ.

9. படத்தில் ∠QPR = 90°, PS ஆனது ∠P -யின் இருசமவெட்டி மேலும், ST ┴ PR எனில், ST × (PQ + PR) = PQ × PR.என நிறுவுக.


10. நாற்கரம் ABCD-யில் AB=AD, ∠BAC மற்றும் ∠CAD-யின் கோண இருசமவெட்டிகள் BC மற்றும் CD ஆகிய பக்கங்களை முறையே E மற்றும் F என்ற புள்ளிகளில் சந்திக்கின்றன எனில், EF || BD என நிறுவுக.

11. PQ = 4.5 செ.மீ, ∠R = 35° மற்றும் உச்சி R-யிலிருந்து வரையப்பட்ட நடுக்கோட்டின் நீளம் RG = 6 செ.மீ என அமையுமாறு ΔPQR வரைக.

12. QR = 5 செ.மீ, ∠P = 40° மற்றும் உச்சி P-யிலிருந்து QR-க்கு வரையப்பட்ட நடுக்கோட்டின் நீளம் PG = 4.4 செ.மீ என இருக்கும்படி ΔPQR வரைக. மேலும் P-லிருந்து QR-க்கு வரையப்பட்ட குத்துக்கோட்டின் நீளம் காண்க.

13. QR = 6.5 செ.மீ, ∠P = 60° மற்றும் உச்சி P-யிலிருந்து QR-க்கு வரையப்பட்ட குத்துக் கோட்டின் நீளம் 4.5 செ.மீ உடைய ΔPQR வரைக.

14. AB = 5.5 செ.மீ, ∠C = 25° மற்றும் உச்சி C-யிலிருந்து AB-க்கு வரையப்பட்ட குத்துக்கோட்டின் நீளம் 4 செ.மீ உடைய ΔABC வரைக.

15. அடிப்பக்கம் BC = 5.6 செ.மீ, ∠A = 40° மற்றும் ∠A -யின் இருசமவெட்டியானது அடிப்பக்கம் BC-ஐ CD = 4 செ.மீ என D-யில் சந்திக்குமாறு அமையும் முக்கோணம் ABC வரைக.

16. PQ = 6.8 செ.மீ, உச்சிக்கோணம் 50° மற்றும் உச்சிக்கோணத்தின் இருசமவெட்டியானது அடிப்பக்கத்தை PD = 5.2 செ.மீ என D-யில் சந்திக்குமாறு அமையும் ΔPQR வரைக.

17. In ΔABC, AD is the bisector of ∠A meeting side BC at D, if AB 10 cm, AC = 14 cm and BC = 6 cm, find BD and DC
