முக்கோணவியல் | கணக்கு - பலவுள் தெரிவு வினாக்கள் | 10th Mathematics : UNIT 6 : Trigonometry
பயிற்சி 6.5
பலவுள் தெரிவு வினாக்கள்
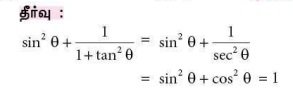
1. sin2θ +
–ன் மதிப்பு
(அ) tan2 θ
(ஆ) 1
(இ) cot2 θ
(ஈ) 0

2. tanθ cosec2θ - tan θ - ன் மதிப்பு
(அ) sec θ
(ஆ) cot2θ
(இ) sin θ
(ஈ) cotθ

3. (sin a + coseca)2 + (cos a + sec a)2 = k + tan2a + cot2a எனில் k - ன் மதிப்பு
(அ) 9
(ஆ) 7
(இ) 5
(ஈ) 3

4. sin θ + cos θ = a மற்றும் sec θ + cosecθ = b எனில் b (a2 -1) -ன் மதிப்பு
(அ) 2a
(ஆ) 3a
(இ) 0
(ஈ) 2ab

5. 5x = sec θ and 5/x = tan θ எனில் x2 – (1/ x2) -ன் மதிப்பு
(அ) 25
(ஆ) 1 / 25
(இ) 5
(ஈ) 1

6. sin θ = cos θ, எனில் 2 tan2θ + sin2θ −1 -ன் மதிப்பு
(அ) -3/2
(ஆ) 3/2
(இ) 2/3
(ஈ) -2/3

7. x = a tan θ மற்றும் y =
b sec θ எனில்

8. (1 + tan θ + sec θ) (1 + cot θ − cosecθ) -ன் மதிப்பு
(அ) 0
(ஆ) 1
(இ) 2
(ஈ) -1

9. a cot θ + b cosecθ = p மற்றும் b cot θ + a cosec θ = q எனில் p2 - q2 -ன் மதிப்பு
(அ) a2 - b2
(ஆ) b2 - a2
(இ) a2 + b2
(ஈ) b –a

10. ஒரு கோபுரத்தின் உயரத்திற்கும் அதன் நிழலின் நீளத்திற்கும் உள்ள விகிதம் √3 : 1, எனில் சூரியனைக் காணும் ஏற்றக்கோண அளவானது
(அ) 45°
(ஆ) 30°
(இ) 90°
(ஈ) 60°

11. ஒரு மின் கம்பமானது அதன் அடியில் சமதளப் பரப்பில் உள்ள ஒரு புள்ளியில் 30° கோணத்தை ஏற்படுத்துகிறது. முதல் புள்ளிக்கு ‘b’ மீ உயரத்தில் உள்ள இரண்டாவது புள்ளியிலிருந்து மின்கம்பத்தின் அடிக்கு இறக்கக்கோணம் 60° எனில் மின் கம்பத்தின் உயரமானது (மீட்டரில்)
(அ) √3b
(ஆ) b/3
(இ) b/2
(ஈ) b/√3

12. ஒரு கோபுரத்தின் உயரம் 60 மீ ஆகும். சூரியனை காணும் ஏற்றக்கோணம் 30° -லிருந்து 45° ஆக உயரும்போது கோபுரத்தின் நிழலானது xமீ குறைகிறது எனில், x-ன் மதிப்பு
(அ) 41.92 மீ
(ஆ) 43.92 மீ
(இ) 43 மீ
(ஈ) 45.6 மீ

13. பல அடுக்குக் கட்டடத்தின் உச்சியிலிருந்து 20 மீ உயரமுள்ள கட்டடத்தின் உச்சி, அடி ஆகியவற்றின் இறக்கக்கோணங்கள் முறையே 30° மற்றும் 60° எனில் பல அடுக்குக் கட்டடத்தின் உயரம் மற்றும் இரு கட்டடங்களுக்கு இடையேயுள்ள தொலைவானது (மீட்டரில்)
(அ) 20, 10√3
(ஆ) 30, 5√3
(இ) 20, 10
(ஈ) 30, 10√3

14. இரண்டு நபர்களுக்கு இடைப்பட்ட தொலைவு x மீ ஆகும். முதல் நபரின் உயரமானது இரண்டாவது நபரின் உயரத்தைப் போல இரு மடங்காக உள்ளது. அவர்களுக்கு இடைப்பட்ட தொலைவு நேர்கோட்டின் மையப் புள்ளியிலிருந்து இரு நபர்களின் உச்சியின் ஏற்றக் கோணங்கள் நிரப்புக்கோணங்கள் எனில், குட்டையாக உள்ள நபரின் உயரம் (மீட்டரில்) காண்க.
(அ) √2 x
(ஆ) x / 2√2
(இ) x / √2
(ஈ) 2x

15. ஓர் ஏரியின் மேலே h மீ உயரத்தில் உள்ள ஒரு புள்ளியிலிருந்து மேகத்திற்கு உள்ள ஏற்றக்கோணம் β. மேக பிம்பத்தின் இறக்கக்கோணம் 45° எனில், ஏரியில் இருந்து மேகத்திற்கு உள்ள உயரமானது (மீட்டரில்)

(இ) h tan (45° − β)
(ஈ) இவை ஒன்றும் இல்லை

