வகைப்பாடு, தயாரிப்பு, இயற்பியல் மற்றும் வேதியியல் பண்புகள், பீனாலின் பயன்கள், பொதுவான எலக்ட்ரான் கவர் அரோமேட்டிக் பதிலீட்டு வினைகள் - பீனால்கள் | 12th Chemistry : UNIT 11 : Hydroxy Compounds and Ethers
பீனால்கள்
பென்சீனில் - OH தொகுதியை நேரடியாக பெற்றுள்ள கரிம சேர்மங்கள் பீனால்கள் என அழைக்கப்படுகிறது. - OH தொகுதியை கொண்டுள்ள கார்பன் அணு sp2 இனக்கலப்பினமாதலை பெற்றுள்ளது.
அட்டவணை : பீனால்கள் வகைப்பாடு

பீனால்களின் தயாரிப்பு முறைகள்
அ) ஹேலோ அரீனில் இருந்து (டவ் முறை)
300 வளிமண்டல அழுத்தம் மற்றும் 633K வெப்பநிலை கொண்ட மூடிய கலனில் வைத்து குளோரோ பென்சீனை 6-8% NaOH கொண்டு நீராற்பகுக்கும் போது முதலில் சோடியம் பீனாக்ஸைடு கிடைக்கிறது. இதனை நீர்த்த HC) கொண்டு வினைப்படுத்த பீனால் கிடைக்கிறது.

ஆ) பென்சீன் சல்போனிக் அமிலத்தில் இருந்து
பென்சீனை ஒலியம் கொண்டு சல்போனேற்றம் செய்யும் போது பென்சீன் சல்போனிக் அமிலம் கிடைக்கிறது. இதனை 623K வெப்பநிலையில் NaOH கொண்டு வெப்பப்படுத்தும் போது உருவாகும் சோடியம் பீனாக்ஸைடு சேர்மத்தை அமிலமாக்கலுக்கு உட்படுத்தும் போது பீனால் கிடைக்கிறது.

இ) அனிலீனில் இருந்து
அனிலீனை 273 - 278K வெப்பநிலையில் நைட்ரஸ் அமிலத்துடன் (NaNO2 HCl) டயசோ ஆக்கலுக்கு உட்படுத்தும் போது முதலில் பென்சீன் டயசோனியம் குளோரைடு கிடைக்கிறது. இதனை கனிம அமில முன்னிலையில் சூடான நீருடன் வினைப்படுத்தும் போது பீனால் கிடைக்கிறது.

ஈ) கியூமினில் இருந்து
523K வெப்பநிலையில் H3PO4 வினையூக்கி முன்னிலையில் ஒரு மூடிய கலனில் பென்சீன் மற்றும் புரோப்பீன் கலந்த கலவையை வெப்பப்படுத்தும் போது கியூமின் (ஐசோரோப்பைல் பென்சீன்) கிடைக்கிறது. கியூமின் மற்றும் 5% நீரிய சோடியம் கார்பனேட் கரைசலுடன் காற்றை செலுத்தும் போது ஆக்ஸிஜனேற்றமடைந்து கியூமின் ஹைட்ரோபெராக்ஸைடு கிடைகிறது. இதனை நீத்த அமிலத்துடன் வினைப்படுத்தும் போது பீனால் மற்றும் அசிட்டோன் கிடைக்கிறது. அசிட்டோன் இவ்வினையில் முக்கிய துணை விளைபொருளாக கிடைக்கிறது.

இயற்பியல் பண்புகள்
பீனால்கள் நிறமற்ற, ஊசி வடிவமுடைய படிகம். இது நீர் உறிஞ்சும் தன்மை, அரிக்கும் தன்மை மற்றும் விஷத் தன்மை கொண்டதாகவும் உள்ளது. காற்று மற்றும் ஒளி பீனாலின் மீது படும் போது இளஞ்சிவப்பு நிறமாக மாறும். எளிய பீனால்கள் நீர்மமாகவும் அல்லது குறைந்த உருகுநிலை கொண்ட திண்மங்களாகவும் உள்ளன. இவை மிக அதிக கொதிநிலைகளை கொண்டுள்ளன. பீனாலில் ஹைட்ரஜன் பிணைப்பு இருப்பதால் நீரில் குறைந்த அளவு கரைகிறது. இருப்பினும் பதிலீடு செய்யப்பட்ட பீனால்கள் நீரில் கரைவதில்லை.
வேதிப்பண்புகள்
- OH தொகுதிக்களான வினைகள்
அ) Zn தூளுடன் வினை
பீனால் Zn தூளுடன் வினைப்படுத்தும் போது பென்சீன் கிடைக்கிறது. இவ்வினையில் அரோமேட்டிக் வளையத்தில் உள்ள - OH தொகுதி நீக்கப்படுகிறது.

ஆ) அம்மோனியாவுடன் வினை
நீரற்ற ZnCl2 முன்னிலையில் பீனால் அம்மோனியவுடன் வினைப்பட்டு அனிலீனை தருகிறது.

இ) எஸ்டர் உருவாதல்
ஸ்காட்டன் – பௌமன் வினை
பீனால் அமிலக்குளோரைடுன் வினைப்பட்டு எஸ்டர்களை தருகிறது. பீனாலின் அசிட்டைலேற்ற மற்றும் பென்சாயிலேற்ற வினைகளுக்கு ஸ்காட்டன் பௌமன் வினை என்று பெயர்

ஈ) ஈதர்கள் உருவாதல்
வில்லியம் சன் ஈதர் தொகுப்பு வினை
பீனாலின் காரக்கரைசல் ஆல்கைல் ஹாலைடுகளுடன் வினைப்பட்டு ஈதர்கள் தருகிறது. ஆல்கைல் ஹாலைடு காரமுன்னிலையில் பீனாக்ஸைடு அயனியால் கருகவர் பதிலீட்டு வினைகளுக்கு உட்படுகிறது.

உ) ஆக்சிஜனேற்றம்:
பீனால், அடர் H2SO4 அமிலம்கலந்த K2Cr2O7 முன்னிலையில் காற்றில் ஆக்சிஜனேற்றம் அடைந்து 1,4 பென்சோகுயினோன் சேர்மத்தினை தரும்.

ஊ) ஒடுக்கம்
பீனாலை வினையூக்கி முன்னிலையில் ஹைட்ரஜன் ஏற்றம் செய்யும் போது வளைய ஹெக்சனால் கிடைக்கிறது.

எலக்ட்ரான் கவர் அரோமேட்டிக் பதிலீட்டு வினைகள்
-OH, --NH2, etc., போன்ற தொகுதிகள் பென்சீன் வளையத்தின் நேரடியாக இடம் பெற்றிருக்கும் போது அவைகள் பென்சீன் வளையத்தை கிளர்வுறுத்துவதால் வரக்கூடிய எலக்ட்ரான் கவர் பொருள்கள் ஆர்த்தோ மற்றும் பாரா இடத்தை ஆக்கிரமித்துக் கொள்கின்றன என்பதை பதினொராம் வகுப்பில் படித்துள்ளோம்.
பொதுவான எலக்ட்ரான் கவர் அரோமேட்டிக் பதிலீட்டு வினைகள்
i) நைட்ரசோ ஏற்றம்
குறைந்த வெப்பநிலையில் பீனால் HNO2 உடன் எளியதாக நைட்ரசோ ஏற்றம் அடைகிறது.

ii) நைட்ரோ ஏற்றம்
பீனால் அறை வெப்பநிலையில் 20% நைட்ரிக் அமிலத்துடன் வினைப்பட்டு ஆர்த்தோ மற்றும் பாரா நைட்ரோ பீனால் கலவைகளை தருகிறது.

ஆர்த்தோ மற்றும் பாரா மாற்றியங்கள் நீராவியால் காய்ச்சி வடித்தல் மூலம் பிரித்தெடுக்கப்படுகிறது. ஆர்த்தோ நைட்ரோ பீனாலில் மூலக்கூறினுள் நிகழும் ஹைட்ரஜன் பிணைப்பு இருப்பதால் நீரில் கரையும் திறன் குறைவாகவும் எளிதில் ஆவியாகும் தன்மையுடையதாகவும் உள்ளது. மாறாக பாராநைட்ரோ பீனாலில் மூலக்கூறுகளுக்கு இடைப்பட்ட ஹைட்ரஜன் பிணைப்பு காணப்படுவதால் நீரில் எளிதில் கரையும் தன்மையும், குறைந்த ஆவியாகும் தன்மையும் கொண்டதாக உள்ளது.
அடர் HNO3 + அடர் H2SO4 உடன் பீனால் நைட்ரோ ஏற்றம் அடைந்து பிக்ரிக் அமிலத்தை தருகிறது.

ii) சல்போனேற்றம்
280K வெப்பநிலையில் பீனால் அடர் அடர் H2SO4உடன் வினைப்பட்டு O– பீனால் சல்போனிக் அமிலம் முக்கிய விளைபொருளாக கிடைக்கிறது. மாறாக 373K வெப்பநிலையில் p - பீனால் சல்போனிக் அமிலம் முக்கிய விளை பொருளாக கிடைக்கிறது.

iv) ஹேலஜனேற்றம்
பீனால் புரோமின் நீருடன் வினைப்பட்டு 2,4,6 டிரை புரோமோ பீனால் எனும் வெண்மை நிற வீழ்படிவை தருகிறது.

278K வெப்பநிலையில் CS2, அல்லது CCl4, உடன் இவ்வினை நிகழ்த்தப்பட்டால் ஆர்த்தோ மற்றும் பாரா புரோமோ பீனால் கலவை கிடைக்கிறது.

v) கோல்ப் (அல்லது) கோல்ப்ஸ்கிமிட் வினை
இவ்வினையில் பீனால் முதலில் சோடியம் பீனாக்ஸைடாக மாற்றப்படுகிறது. இது பீனாலை விட CO2 உடன் எலக்ட்ரான் கவர் பதிலீட்டு வேகமாக வினைபடுகிறது. 400K வெப்பநிலை மற்றும் 4-7 வளிமண்டல அழுத்தத்தில் சோடியம் பீனாக்ஸைடை அமில நீராற்பகுப்பிற்கு உட்படுத்தும்போது சாலிசிலிக் அமிலம் கிடைக்கிறது.

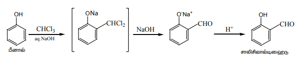
Vi) ரீமர் – டீமன் வினை
CHCl3/NaOH, முன்னிலையில் ஒரு-CHO உடன் பீனால் வினைப்படும் போது ஆர்த்தோ இடத்தில் - CHO தொகுதி இடம் பெறுகிறது. இவ்வினையானது பதிலீடு செய்யப்பட்ட பென்சால் குளோரைடு எனும் இடைநிலை பொருள் மூலமாக நடைபெறுகிறது.

vii) பீனால்ப்தலீன் வினை
அடர் H2SO4 முன்னிலையில் பீனால் தாலிக் நீரிலியுடன் வினைப்பட்டு பீனால்ப்தலீன் கிடைக்கிறது.

viii) இணைப்பு வினை
காரம் கலந்த பென்சீன் டயசோனியம் குளோரைடுடன் பீனால் இணைந்து p-ஹைட்ராக்ஸி அசோபென்சீன் (ஆரஞ்சு சிவப்புநிற சாயம்) கிடைக்கிறது.

i) பென்சீன் டயசோனியம் குளோரைடுடன் ஆரஞ்சு சிவப்பு நிற சாயம் கிடைக்கிறது. மாறாக எத்தனால் தருவதில்லை .
ii) நடுநிலை FeCl3 உடன் பீனால் கரு ஊதா நிறத்தை தருகிறது. ஆனால் ஆல்கஹால்கள் தருவதில்லை .
iii) பீனால் NaOH உடன் சோடியம் பீனாக்ஸைடை தருகிறது. ஆனால் எத்தனால் NaOH உடன் வினைப்படுவதில்லை
பீனாலின் பயன்கள்
1) உலகில் உற்பத்தியாகும் பாதியளவு பீனால்கள் பீனால் பார்மால்டிஹைடு (பேக்கலைட்) பிசின் தயாரிக்கப்பயன்படுகிறது.
2) கீழ்கண்ட பொருட்கள் தயாரிக்க பீனால்கள் துவக்கப்பொருளாக பயன்படுகிறது.
i) பினசெடின், சலால், ஆஸ்பிரின் போன்ற மருந்துகளுக்கு
ii) பினால்ப்தலின் நிறங்காட்டி தயாரிக்க
iii) பிக்ரிக் அமிலம் எனும் வெடி மருந்து தயாரிக்க
3) கார்பாலிக் சோப்புகள் மற்றும் புரைத்தடுக்கும் கார்பாலிக் கிரிம்களில் பயன்படுகிறது.
தன்மதிப்பீடு
1. கீழ்கண்ட எந்த இணை 1, மீத்தாக்ஸி-4- நைட்ரோ பென்சீனை தருகிறது?

2. m - கிரசாலை சோடியம் டை குரோமேட்டுடன் வினைப்படுத்தும் போது என்ன நிகழும்?
3. பீனால், புரப்பன் - 2 - ஆல் உடன் HF முன்னிலையில் ப்ரீடால் கிராப்ட் வினையில் ஈடுபடுகிறது. விளைபொருளை கண்டறிக.