பயிற்சிக் கணக்குகள்
1) சோனார் கருவி (sonar) பொருத்தப்பட்ட ஒரு நீர்மூழ்கி கப்பலிலிருந்து அனுப்பப்பட்ட துடிப்பு 80 வினாடிகளுக்கு பிறகு எதிரொலியாக எதிரி நீர்மூழ்கி கப்பலிலிருந்து பெறப்படுகின்றது. நீரில் ஒலியின் திசைவேகம் 1460 ms-1, எனில் எதிரி நீர்மூழ்கி கப்பல் உள்ள தொலைவு யாது?
தீர்வு:
காலம் t = 80s
ஒலியின் வேகம் v = 1460 ms-1
நீர்மூழ்கி கப்பலின் தொலைவு = d
ஒலியின் வேகம் = v = 2d/t
நீர்மூழ்கி கப்பலின் தொலைவு
d = vt = 1460 × 80 / 2 = 58400m = 58.40 km
விடை : (58.40 km)
2) ஒரு வட்டத்தின் ஆரம் 3.12m. எனில், அதன் பரப்பை முக்கிய எண்ணுருக்களில் கணக்கிடுக.
தீர்வு :
பரப்பு A = πr2
= 3.14 × 3.12 × 3.12
= 30.566016
இங்கு குறைந்த முக்கிய எண்ணுரு மூன்று. எனவே முக்கிய எண்ணுரு மூன்றுக்கு முழுமைப்படுத்தும் போது
A = 30.6 m2
விடை : (30.6 m2)
3) அதிர்வடையும் கம்பியின் அதிர்வெண் (v) ஆனது i) அளிக்கப்பட்ட விசை (F) ii) நீளம் (l) iii) ஓரலகு நீளத்திற்கான நிறை (m), ஆகியவற்றைப் பொறுத்தது எனக் கொண்டால், பரிமாண முறைப்படி அதிர்வெண்
என நிரூபி.
தீர்வு :
v α Fa lb mc
பரிமாண வாய்ப்பாட்டைப் பிரதியிட
T-1 α [MLT-2]a [L]b [M L-1]c
M0 L0 T-1 α Ma+c La+b-c T-2a
அடுக்குகளைச் சமப்படுத்த
a + c = 0; a + b – c = 0; -2a = -1
தீர்க்கும் போது a = 1/2, b = -1
மற்றும் c = -1/2

4) புவியிலிருந்து ஜூபிடரின் தொலைவு 824.7 மில்லியன் km அதன் அளவிடப்பட்ட கோணவிட்டம் 35.72" எனில் ஜூபீடரின் விட்டத்தை கணக்கிடுக.
தீர்வு :
a = d/D
d = α. D
= 35.72 × 4.85 × 10-6 × 824.7 × 109
= 142872.67 × 103 m
= 1.428 × 105 km

விடை: (1.428 × 105 km)
5) ஒரு தனி ஊசலின் நீளத்தின் அளவிடப்பட்ட மதிப்பு 20cm மற்றும் 2mm துல்லியத் தன்மை கொண்டது. மேலும் 50 அலைவுகளுக்கான கால அளவு 40s மற்றும் பகுதிறன் 18 ஆகும் எனில் புவியீர்ப்பு முடுக்கம் (g) கணக்கிடுதலில் துல்லியத்தின் சதவீதத்தைக் கணக்கிடுக.
தீர்வு :

துல்லியத்தின் சதவீதம்

= 1% + 5%
= 6%
புவிஈர்ப்பு முடுக்கத்தின் துல்லியத் தன்மையின் சதவீதம் g = 6%
விடை: (6%)
கருத்துரு வினாக்கள்
1) விண்மீன்களின் தொலைவை km-இல் அளவிடாமல் ஒளியாண்டு அல்லது பர்செக் அலகில் குறிப்பிடுவது சிறந்தது. ஏன்?
விடை:
● நமக்கும் விண்மீன்களுக்கு மிடையேயான தொலைவு மிக அதிகம். ஒளியாண்டு அல்லது பர்செக் அலகில் குறிப்பிடும்போது எண்களைக் கையாளுவது சிறியதாகவும் எளிமையானதாகவும் இருக்கும். எனவே மிக நீண்ட தொலைவுகளை கணக்கிடுவது எளிது.
● km அல்லது m அலகுகளைக் கொண்டு கணக்கிடுவது மிகக் கடினமான ஒன்று. அதுமட்டுமல்லாமல் அளவிடும்போது பிழைகள் ஏற்படலாம்.
● உதாரணமாக, அருகிலுள்ள விண்மீன் களின் தொலைவு 4 ஒளி ஆண்டுகளாகும். km-ல் குறிப்பிடுவோமானால்
4 × 9,460,730,472,580.8 km.
● எனவே, விண்மீன்களின் தொலைவை ஒளி ஆண்டு அல்லது பர்செக் அளவுகளில் குறிப்பிடுவது சுலபமானது.
2) 20 பிரிவுகள் கொண்ட நகரும் அளவுகோலைக் கொண்ட வெர்னியர் அளவியை விட 1mm புரிக்கோலும், 100 பிரிவுகளும் கொண்ட திருகு அளவி சிறந்தது என நிரூபி.
விடை:
வெர்னியர் அளவியின் மீச்சிற்றளவு =
1. மு. கோ. பிரிவு / வெர்னியர் கோல் பிரிவுகளின் எண்ணிக்கை
= 1mm / 20 = 0.05 mm
திருகு அளவியின் மீச்சிற்றளவு
புரியிடைத் தொலைவு / தலைக்கோல் பிரிவுகளின் எண்ணிக்கை = 1mm / 100 = 0.01mm
திருகு அளவியின் மீச்சிற்றளவு, வெர்னியர் அளவியின் மீச்சிற்றளவை விடக் குறைவாக இருப்பதால், திருகு அளவியே துல்லியமானது.
3) வேறு கோளில் மனிதன் உள்ளபோது எந்த அடிப்படை அளவுகளில் மாற்றம் நிகழும்? ஏன்?
விடை:
● அடிப்படை அளவுகளில் எந்த மாற்றமும் ஏற்படாது. ஏனெனில் அனைத்து அளவுகளும் அணுவை படித்தரமாகக் கொண்டு வரையறுக்கப் பட்டவை.
● ஆனால் வழிவந்த அளவுகளில், குறிப்பாக எடை (விசை)யைக் குறிப்பிடும் போது, அவ்விடத்திலுள்ள ஈர்ப்பு முடுக்கத்தன் g மதிப்பைப் பொறுத்து மாறுபடும். ஆனால் நிறை மாறாதது. ஏனெனில் நிறை என்பது அப்பொருளில் எவ்வளவு துகள்கள் நிறைந்துள்ளன எனும் அடிப்படையில் அமைவது.
● உதாரணமாக, புவியில் ஒரு மனிதனின் நிறை 60kg. இம்மதிப்பு நிலவு மற்றும் பிற கோள்களிலும் மாறாத ஒன்று. புவியில் அம்மனிதனின் எடை 60 × 9.8 = 588N நிலவில் ஈர்ப்பு முடுக்கத்தின் மதிப்பு, புவியின் மதிப்போடு ஒப்பிடும் போது 1/6 ஆகும். எனவே நிலவில் மனிதனின் எடை 60 × 1.6 = 96N.
4) அனைத்து அலகுகளின் அணுப்படித்தரம் மிகவும் பயனுள்ளதா விவரி.
விடை:
● அனைத்து அலகுகளின் அணுப்படித்தரம் மிகவும் பயனுள்ளது. ஏனென்றால் அவை வெப்ப நிலை, அழுத்தம், ஈரப்பதம் போன்ற இயற் காரணிகளால் மாறுபடாது.
● அது காலம் மற்றும் இடத்தைச் சார்ந்திருக்காது. இது மிகவும் எளிதில் கிடைப்பதால், எல்லா ஆய்வகங்களிலும் தேவைக்கேற்றவாறு அது ஒத்திசைவான ஒன்று சோதனை செய்து பார்க்கலாம்.
5) பரிமாண முறையானது மூன்றுக்கு உட்பட்ட இயற்பியல் அளவுகள் உள்ள சமன் பாடுகளுக்கு மட்டுமே பொருந்தும் ஏன்?
விடை:
● பரிமாண முறையானது மூன்றுக்கு மேற்பட்ட இயற்பியல் அளவுகளின் மிகச் சரியான தொடர்பைப் பெறுவதில் தவறிவிடுகிறது.
● ஏனென்றால் M, L மற்றும் T-ன் அடுக்குகளின் மதிப்பைக் கொண்டு மூன்று சமன்பாடுகளை மட்டுமே பெற முடியும்.
● மூன்று சமன்பாடுகளைக் கொண்டு மூன்றுக்கு மேற்பட்ட தெரியாத இயற்பியல் அளவுகளைக் கணக்கிட இயலாது.
நீளத்தை அளவிடுவதற்கான தீர்க்கப்பட்ட மாதிரி கணக்குகள்
எடுத்துக்காட்டு 1.1
தரையில் ஒரு புள்ளியிலிருந்து ஓர் மரத்தின் உச்சியானது60 ஏற்றக் கோணத்தில் தோன்றுகிறது. மரத்திற்கும் அப்புள்ளிக்கும் இடைப்பட்ட தூரம் 50m எனில் மரத்தின் உயரத்தைக் காண்க.
தீர்வு
கோணம் θ = 60°
மரத்திற்கும் புள்ளிக்கும் இடையேயான தொலைவு (x) = 50 m
மரத்தின் உயரம் (h) = ?
முக்கோண முறைப்படி tan θ = h/x
h = x tan θ
h = 50 × tan 60°
= 50 × 1.732
∴ மரத்தின் உயரம் h = 86.6 m

எடுத்துக்காட்டு 1.2
புவியின் விட்டத்திற்கு சமமான அடிக்கோட்டுடன் 1°55' கோணத்தை சந்திரன் உருவாக்குகிறது எனில், புவியிலிருந்து சந்திரனின் தொலைவு என்ன?
(புவியின் ஆரம் 6.4 × 106 m)
தீர்வு

புவியின் ஆரம் = 6.4 × 106 m
புவியிலிருந்து சந்திரனின் தொலைவு x = ?
படம் 1.5 இலிருந்து பூமியின் விட்டம் AB அதாவது

எடுத்துக்காட்டு 1.3
ஒரு கோளின் மீது ரேடார் துடிப்பினை செலுத்தி 7 நிமிடங்களுக்குப் பின் அதன் எதிரொளிக்கப்பட்ட துடிப்பு பெறப்படுகிறது. கோளுக்கும் பூமிக்கும் இடையேயான தொலைவு 6.3 × 1010 m எனில் ரேடார் துடிப்பின் திசைவேகத்தைக் கணக்கிடுக.
தீர்வு

நீளத்தின் நெடுக்கங்களும் அதன் வரிசை முறைகளும் அட்டவணை 1.5 இல் காட்டப்பட்டுள்ளது

பிழை பகுப்பாய்விற்கான தீர்க்கப்பட்ட எடுத்துக்காட்டு கணக்குகள்
எடுத்துக்காட்டு 1.4
ஒரு சோதனையில் அடுத்தடுத்து தொடர்ச்சியாக அளவீடு செய்யும் பொழுது, தனி ஊசலின் அலைவு நேரத்திற்கான பெறப்பட்ட அளவீடுகள் 2.63 s, 2.56s, 2.42 s, 2.71 s மற்றும் 280 s. எனில்
i. அலைவு நேரத்தின் சராசரி மதிப்பு
ii. ஒவ்வொரு அளவீட்டிற்கும் தனிப் பிழை
iii. சராசரி தனிப் பிழை
iv. ஒப்பீட்டுப் பிழை
v. விழுக்காட்டுப் பிழை ஆகியவற்றைக் கணக்கிடுக. முடிவுகளை முறையான வடிவில் தருக.
தீர்வு

பிழைகளின் பரவுதலுக்கான தீர்க்கப்பட்ட எடுத்துக்காட்டு கணக்குகள்
(i) இரு அளவுகளின் கூடுதலில் ஏற்படும் பிழைகள்
எடுத்துக்காட்டு 1.5
R1 = (100 ± 3) Ω, R2 = (150 ± 2) Ω ஆகிய இரு மின்தடைகள் தொடரிணைப்பில் இணைக்கப்பட்டுள்ளன. அவற்றின் தொகுபயன் மின் தடை என்ன?
தீர்வு

(ii) இரு அளவுகளின் வேறுபாட்டினால் உருவாகும் பிழைகள்
எடுத்துக்காட்டு 1.6
ஒரு வெப்பநிலைமானி கொண்டு அளவிடப்பட்ட இரு பொருட்களின் வெப்பநிலை t = (20 ± 0.5)°C மற்றும் t = (50 ± 0.5)°C எனில் அவற்றின் வெப்பநிலை வேறுபாட்டையும், பிழையையும் கணக்கிடுக.
தீர்வு

(iii) இரு அளவுகளைப் பெருக்குவதால் ஏற்படும் பிழைகள்:
எடுத்துக்காட்டு 1.7
ஒரு செவ்வகத்தின் நீளம் மற்றும் அகலம் முறையே (5.7 ± 0.1) cm மற்றும் (3.4 ± 0.2) cm எனில் செவ்வகத்தின் பரப்பை பிழை எல்லையுடன் கணக்கிடுக.
தீர்வு

(iv) இரு அளவுகளை வகுப்பதால் ஏற்படும் பிழைகள்
எடுத்துக்காட்டு 1.8
ஒரு கம்பிக்கு குறுக்கே உள்ள மின்னழுத்த வேறுபாடு (100 ± 5) V மற்றும் அதன் வழியே பாயும் மின்னோட்டம் (10 ± 0.2) A எனில். அக்கம்பியின் மின்தடையைக் காண்க.
தீர்வு

(v) அளவின் அடுக்கினால் ஏற்படும் பிழை
எடுத்துக்காட்டு 1.9
ஒரு இயற்பியல் அளவு
என்று கொடுக்கப்பட்டுள்ளது. a, b, c மற்றும் d ஐ அளவிடுதலில் ஏற்படும் விழுக்காட்டுப்பிழைகள் முறையே 4%, 2%, 3% மற்றும் 1% எனில் ன் விழுக்காட்டுப் பிழையைக் காண்க. (NEET 2013) தீர்வு

முக்கிய எண்ணுருவின் விதிகளுக்கான தீர்க்கப்பட்ட எடுத்துக்காட்டு கணக்குகள்
முக்கிய எண்ணுருவின் விதிகள்
எடுத்துக்காட்டு 1.10
கீழ்க்காணும் எண்களுக்கான முக்கிய எண்ணுருக்களைத் தருக.
(i) 600800
(ii) 400
(iii) 0.007
(iv) 5213.0
(v) 2.65 × 1024m
(vi) 0.0006032
விடைகள்:
(i) நான்கு
(ii) ஒன்று
(iii) ஒன்று
(iv) ஐந்து
(v) மூன்று
(vi) நான்கு
முழுமைப் படுத்துதல் (Rounding off)
எடுத்துக்காட்டு 1.11
கீழ்க்கண்ட எண்களை குறிப்பிட்ட இலக்கத்திற்கு முழுமைப்படுத்துக.
i) 18.35 ஐ 3 இலக்கம் வரை
ii) 19.45 ஐ 3 இலக்கம் வரை
iii) 101.55 × 10 ஐ 4 இலக்கம் வரை
iv) 248337 ஐ 3 இலக்கம் வரை
v) 12.653 ஐ 3 இலக்கம் வரை
விடைகள்:
i) 18.4
ii) 19.4
iii) 101.6 × 106
iv) 248000
v) 12.7
(i) கூட்டல் மற்றும் கழித்தல்
கூட்டல் மற்றும் கழித்தலின் போது, இறுதி முடிவில் அதிக இலக்கங்கள் வரும்பொழுது அந்த எண்களில் மிகக்குறைந்த தசம இலக்கம் உள்ள எண்களின் இலக்கத்திற்கு முழுமைப்படுத்த வேண்டும்.
எடுத்துக்காட்டு
1. 3.1 + 1.780 + 2.046 = 6.926
இங்கு முக்கிய எண்ணுருவின் தசம் புள்ளிக்கு பின்வரும் குறைந்த இலக்க எண்ணிக்கை 1. எனவே முடிவானது 6.9 ஆக முழுமைப்படுத்தப்படுகிறது.
2. 12.637 - 2.42 = 10.217
இங்கு முக்கிய எண்ணுருவின் தசம் புள்ளிக்கு பின்வரும் குறைந்த இலக்க எண்ணிக்கை 2. எனவே முடிவானது 10.22 ஆக முழுமைப்படுத்தப்படுகிறது.
(ii) பெருக்கல் மற்றும் வகுத்தல்
எண்களின் பெருக்கல் அல்லது வகுத்தலின் போது இறுதி முடிவின் முக்கிய எண்ணுருக்கள், அந்த எண்களில் குறைந்த எண்ணிக்கையில் உள்ள எண்களின் முக்கிய எண்ணுருவிற்கு முழுமைப்படுத்த வேண்டும்.
எடுத்துக்காட்டு
1. 1.21 × 36.72 = 44.4312 = 44.4
அளவிட்ட அளவின் மிகக்குறைந்த முக்கிய எண்ணுரு மதிப்பு 3. எனவே முடிவானது 44.4 என்ற மூன்று முக்கிய எண்ணுருக்களாக முழுமைப்படுத்தப்பட்டுள்ளது.
2. 36.72 = 1.2 = 30.6 = 31
அளவிடப்பட்ட அளவின் மிகக்குறைந்த முக்கிய எண்ணுரு மதிப்பு 2. எனவே முடிவானது 31 என்ற இரண்டு முக்கிய எண்ணுருக்களாக முழுமைப்படுத்தப்படுகிறது.
பரிமாணப்பகுப்பாய்வின் வரம்புகளுக்கான தீர்க்கப்பட்ட எடுத்துக்காட்டு கணக்குகள்
தீர்க்கப்பட்ட எடுத்துக்காட்டு கணக்குகள்
(i) இயற்பியல் அளவு ஒன்றை ஒரு அலகிடும் முறையில் இருந்து மற்றொரு அலகிடும் முறைக்கு மாற்றுதல்
எடுத்துக்காட்டு 1.12
பரிமாணங்கள் முறையில் 76 cm பாதரச் அழுத்தத்தை Nm-2 என்ற அலகிற்கு மாற்றுக.
தீர்வு
CGS முறையில் 76 cm பாதரச அழுத்தம் (P1) = 76 × 13.6 × 980 dyne cm-2
SI முறையில் P-ன் மதிப்பு (P2)=?

எடுத்துக்காட்டு: 1.13
SI முறையில் ஈர்ப்பியல் மாறிலியின் மதிப்பு GSI = 6.6 × 10-11Nm2kg-2, எனில் CGS முறையில் அதன் மதிப்பைக் கணக்கிடுக?
தீர்வு
SI முறையில் ஈர்ப்பு மாறிலி GSI எனவும் cgs முறையில் Gcgs எனவும் கொள்க.


(ii) பரிமாண முறையில் கொடுக்கப்பட்ட இயற்பியல் சமன்பாட்டை சரியா என சோதித்தல்
எடுத்துக்காட்டு: 1.14
என்ற சமன்பாட்டை பரிமாணப் பகுப்பாய்வு முறைப்படி சரியானதா என கண்டறிக.
தீர்வு

இருபுறங்களிலும் பரிமாணங்கள் சமம். எனவே
என்ற சமன்பாடு பரிமாண முறைப்படி சரி.

(iii) வெவ்வேறு இயற்பியல் அளவுகளுக்கிடையே உள்ள தொடர்பினைத் தரும் சமன்பாட்டினைப் பெறுதல்
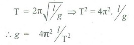
எடுத்துக்காட்டு: 1.15
தனிஊசலின் அலைவு நேரத்திற்கான கோவையை பரிமாண முறையில் பெறுக. அலைவு நேரமானது. (i) ஊசல் குண்டின் நிறை 'm'(ii) ஊசலின் நீளம் ‘l’' (ii) அவ்விடத்தில் புவியீர்ப்பு முடுக்கம் g ஆகியவற்றைச் சார்ந்தது. (மாறிலி k = 2π)
தீர்வு

k என்பது பரிமாணமற்ற மாறிலி. மேற்கண்ட சமன்பாட்டில் பரிமாணங்களை பிரதியிட்ட

சமன்பாட்டின் இருபுறமும் உள்ள M, L T-ன் படிகளை சமன் செய்ய
a = 0, b + c = 0, -2c = 1
சமன்பாடுகளைத் தீர்க்க
a = 0, b = 1/2, மற்றும் c = -1/2
a,b மற்றும் c மதிப்புகளை சமன்பாடு 1 இல் பிரதியிட T = k. m0 l1/2 g−1/2
