தொகை நுண்கணிதத்தின் பயன்பாடுகள் | கணிதவியல் - பாடச்சுருக்கம் | 12th Maths : UNIT 9 : Applications of Integration
பாடச்சுருக்கம்
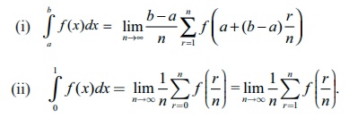
(1) வரையறுத் தொகையிடலின் கூட்டலின் எல்லை

(2) வரையறுத்த தொகையிடலின் பண்புகள்

(3) பெர்னோலி சூத்திரம்

(4) குறைப்புச் சூத்திரங்கள்

(5) காமா தொகையிடல்கள்

(6) ஒரு வளைவரைக்கும் கோடுகளுக்கு இடையே அடைபடும் அரங்கத்தின் பரப்பு
(i) ஒரு வளைவரைக்கும் கோடுகள் x = a மற்றும் x = b ஆகியவற்றுக்கும் இடையே அடைபடும் x -அச்சின் மேல் உள்ள பரப்பானது, A = b∫a y dx .
(ii) ஒரு வளைவரைக்கும் கோடுகள் x = a மற்றும் x = b ஆகியவற்றுக்கும் இடையே அடைபடும் x -அச்சின் கீழ் உள்ள பரப்பானது, A = − b∫a ydx = | b∫a ydx |
(iii) ஒரு வளைவரைக்கும் கோடுகள் y = c மற்றும் y = d ஆகியவற்றுக்கும் இடையே அடைபடும் y -அச்சின் வலதுபுறத்தில் உள்ள பரப்பானது A = d∫c xdy
(iv) ஒரு வளைவரைக்கும் கோடுகள் y = c மற்றும் y = d ஆகியவற்றுக்கும் இடையே அடைபடும் y -அச்சின் இடது புறத்தில் உள்ள பரப்பானது, A = - d∫c xdy = | d∫c xdy|
(7) சுழற்றுவதால் உருவாகும் திடப்பொருளின் கன அளவு
(i) x-அச்சைப் பொருத்து சுழற்றுவதால் உருவாகும் திடப்பொருளின் கன அளவு V = π b∫a y2 dx.
(ii) y-அச்சைப் பொருத்து சுழற்றுவதால் உருவாகும் திடப்பொருளின் கன அளவு V = π d∫c x2 dy.