புத்தக கணக்குகளுக்கான பதில்கள், தீர்வுகள் | கணக்கு - பயிற்சி 10.2: வகையிடல் விதிகள் (Differentiation Rules) | 11th Mathematics : UNIT 10 : Differential Calculus: Differentiability and Methods of Differentiation
Posted On : 10.02.2024 01:20 am
11 வது கணக்கு : அலகு 10 : வகை நுண்கணிதம் வகைமை மற்றும் வகையிடல் முறைகள் DIFFERENTIABILITY AND METHODS OF DIFFERENTIATION
பயிற்சி 10.2: வகையிடல் விதிகள் (Differentiation Rules)
11 வது கணக்கு : அலகு 10 : வகை நுண்கணிதம் வகைமை மற்றும் வகையிடல் முறைகள் DIFFERENTIABILITY AND METHODS OF DIFFERENTIATION : பயிற்சி 10.2: வகையிடல் விதிகள் (Differentiation Rules) : பல்வேறு வினாக்களுக்கான பதில்கள் மற்றும் தீர்வுகள்
பயிற்சி 10.2
பின்வரும் சார்புகளைத் தொடர்புடைய சாராமாறிகளைப் பொறுத்து வகையிடுக.
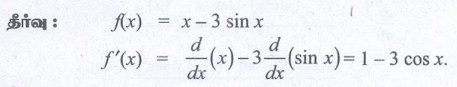
(1) f(x) = x – 3 sin x

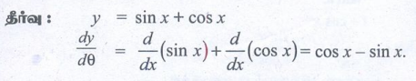
(2) y = sin x + cos x

(3) f(x) = x sin x

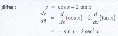
(4) y = cos x – 2 tan x

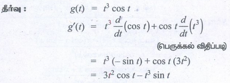
(5) g(t) =t3 cos t

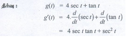
(6) g(t) = 4 sec t + tan t

(7) y = ex sin x

(8) y = tan x / x

(9) y = sin x / 1 + cos x

(10) y = x / sin x + cos x

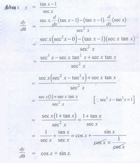
(11) y = tan x – 1 / sec x

(12) y = sin x / x2

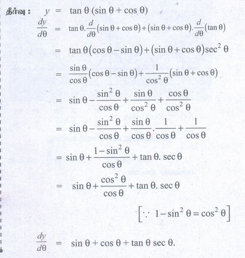
(13) y = tan θ(sin θ + cos θ)

(14) y = cosec x . cot x

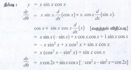
(15) y = x sin x cos x

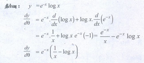
(16) y = e-x. log x

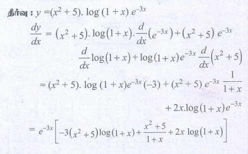
(17 ) y = (x2 + 5) ln (1+x)e-3x

(18) y = sin xo

(19) 
(20) f(x) = 2x2 – 5x + 3 எனில் f’(x) என்ற சார்பின் வரைபடம் வரைக.

Tags : Problem Questions with Answer, Solution | Differential Calculus | Mathematics புத்தக கணக்குகளுக்கான பதில்கள், தீர்வுகள் | கணக்கு.
11th Mathematics : UNIT 10 : Differential Calculus: Differentiability and Methods of Differentiation : Exercise 10.2: Derivatives of basic elementary functions - Differentiation Rules Problem Questions with Answer, Solution | Differential Calculus | Mathematics in Tamil : 11th Standard
Tamil Medium School Samacheer Book Back Questions and answers, Important Question with Answer.
11 வது கணக்கு : அலகு 10 : வகை நுண்கணிதம் வகைமை மற்றும் வகையிடல் முறைகள் DIFFERENTIABILITY AND METHODS OF DIFFERENTIATION : பயிற்சி 10.2: வகையிடல் விதிகள் (Differentiation Rules) - புத்தக கணக்குகளுக்கான பதில்கள், தீர்வுகள் | கணக்கு : 11 ஆம் வகுப்பு
புத்தகம் கேள்விகள் மற்றும் பதில்கள்.