புத்தக கணக்குகளுக்கான பதில்கள், தீர்வுகள் | கணக்கு - பயிற்சி 10.4: உயர் வரிசை வகைக்கெழுக்கள் (Higher order Derivatives) | 11th Mathematics : UNIT 10 : Differential Calculus: Differentiability and Methods of Differentiation
Posted On : 10.02.2024 11:07 am
11 வது கணக்கு : அலகு 10 : வகை நுண்கணிதம் வகைமை மற்றும் வகையிடல் முறைகள் DIFFERENTIABILITY AND METHODS OF DIFFERENTIATION
பயிற்சி 10.4: உயர் வரிசை வகைக்கெழுக்கள் (Higher order Derivatives)
11 வது கணக்கு : அலகு 10 : வகை நுண்கணிதம் வகைமை மற்றும் வகையிடல் முறைகள் DIFFERENTIABILITY AND METHODS OF DIFFERENTIATION : பயிற்சி 10.4 : உயர் வரிசை வகைக்கெழுக்கள் (Higher order Derivatives) : பல்வேறு வினாக்களுக்கான பதில்கள் மற்றும் தீர்வுகள்
பயிற்சி 10.4
கீழ்க்காண்பவற்றை வகையிடுக (1 – 18) :
(1) y = xcos x

(2) y = xlogx + (log x)x

(3) √xy = e(x-y)

(4) xy = yx
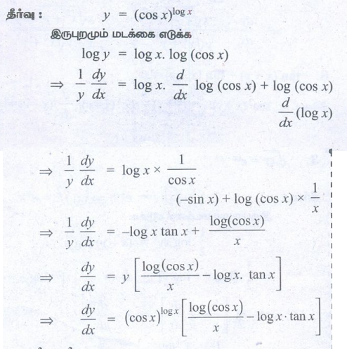
(5) (cos x) log x


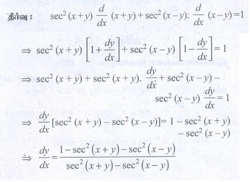
(8) tan (x + y) + tan (x-y) = x

(9) cos (xy) = x எனில்,
எனக்காட்டுக.




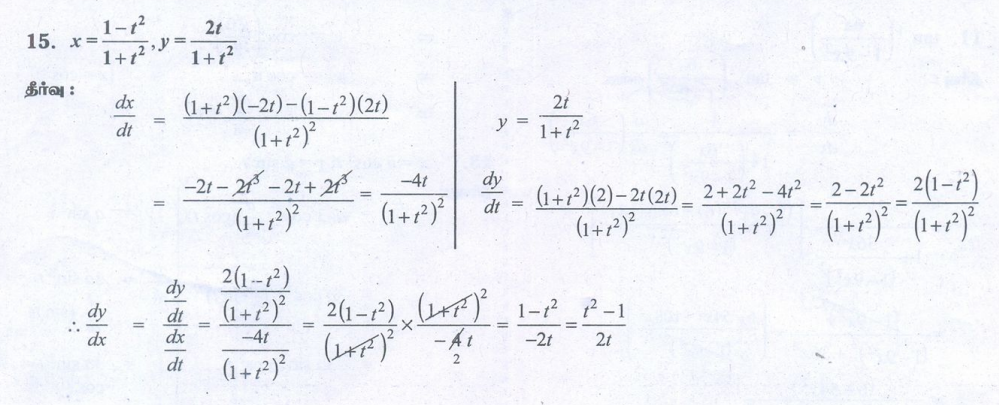
(13) x = a cos3t; y = a sin3t

(14) x = a (cost+t sin t); y = a (sin t -t cost)



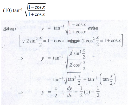
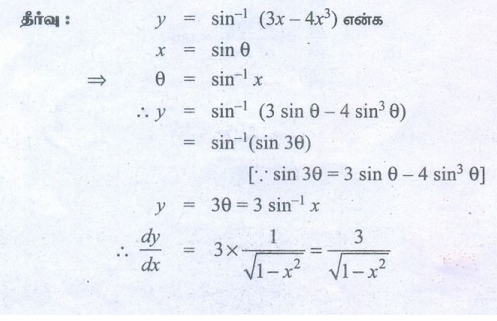
(17) sin-1 (3x - 4x3)


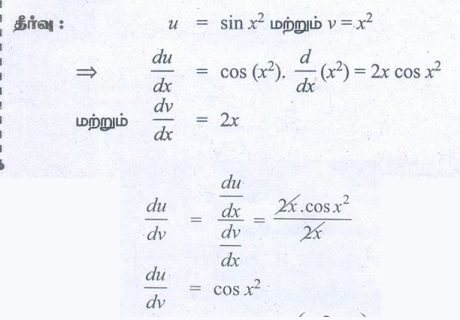
(19) x2-ஐ பொறுத்து sin x2 -ன் வகைக்கெழுவைக் காண்க.

(20) tan-1 x - ஐ பொறுத்து sin-1(2x / 1 + x2) -ன் வகைக்கெழுவைக் காண்க.

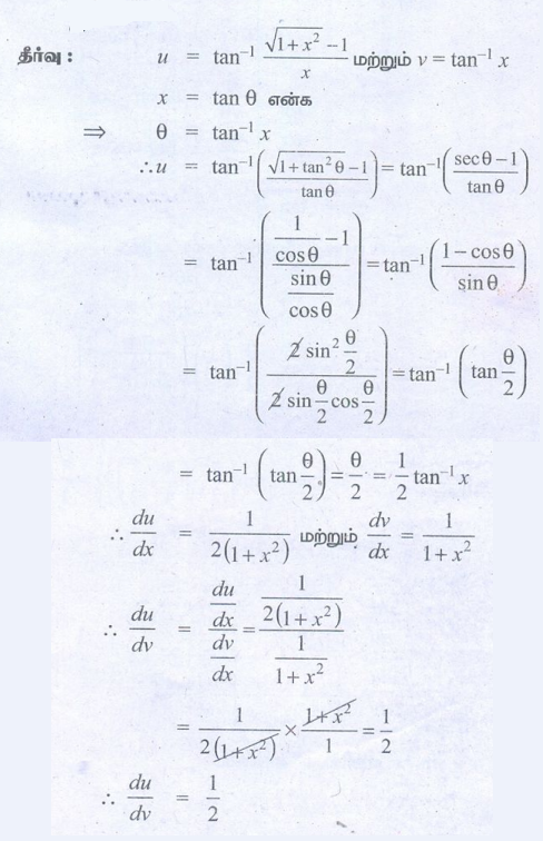
(21)
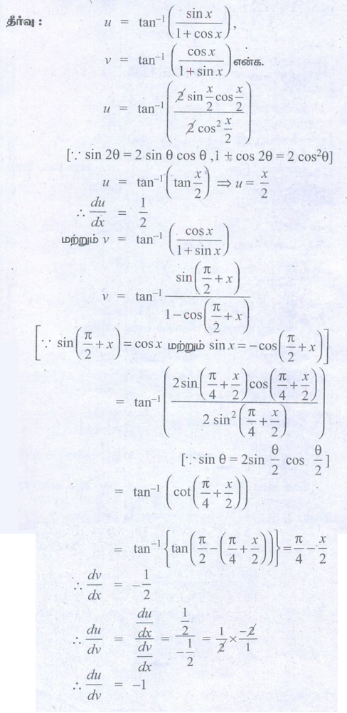
v = tan-1 x எனில் du/dv காண்க.

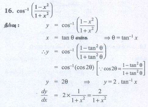
(22) tan-1
- ஐ பொறுத்து tan-1
-ன் வகைக்கெழுவைக் காண்க.

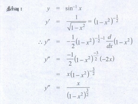
(23) y = sin-1 x எனில், y" காண்க.

(24) y = etan-1 x எனில் (1 + x2) y" + (2x − 1) y' = 0 எனக்காட்டுக.

(25)
எனில், (1 – x2)y2 - 3xy1 - y = 0 எனக்காட்டுக.

(26) x = a (θ + sin θ), y = a (1 − cos θ), எனில், θ = π / 2 எனும்போது y" = 1 / a என நிரூபிக்க.

(27) sin y = x sin (a + y) எனில்,
என நிரூபிக்க. இங்கு a ≠ nπ .

(28) y = (cos-1 x)2 எனில்,
என நிரூபிக்க மேலும், x = 0-ன்போது y2 மதிப்பைக் காண்க.

Tags : Problem Questions with Answer, Solution | Differential Calculus | Mathematics புத்தக கணக்குகளுக்கான பதில்கள், தீர்வுகள் | கணக்கு.
11th Mathematics : UNIT 10 : Differential Calculus: Differentiability and Methods of Differentiation : Exercise 10.4: Higher order Derivatives Problem Questions with Answer, Solution | Differential Calculus | Mathematics in Tamil : 11th Standard
Tamil Medium School Samacheer Book Back Questions and answers, Important Question with Answer.
11 வது கணக்கு : அலகு 10 : வகை நுண்கணிதம் வகைமை மற்றும் வகையிடல் முறைகள் DIFFERENTIABILITY AND METHODS OF DIFFERENTIATION : பயிற்சி 10.4: உயர் வரிசை வகைக்கெழுக்கள் (Higher order Derivatives) - புத்தக கணக்குகளுக்கான பதில்கள், தீர்வுகள் | கணக்கு : 11 ஆம் வகுப்பு
புத்தகம் கேள்விகள் மற்றும் பதில்கள்.