புள்ளியியல் முறைகள் மற்றும் பொருளாதார அளவையியல் - கூட்டுச் சராசரி அல்லது சராசரி | 12th Economics : Chapter 12 : Introduction to Statistical Methods and Econometrics
கூட்டுச் சராசரி அல்லது சராசரி (x) (Arithmetic Mean or Mean or Average)
ஒரு தொகுப்பின் மைய மதிப்பே மைய நிலைப்போக்கு அளவு அல்லது சராசரி அல்லது அமைப்பு அளவு (Measure of Location) எனப்படும். ஐந்து வகை சராசரி அளவுகள் உள்ளன. அவைகளில் கூட்டுச்சராசரி , இடைநிலை மற்றும் முகடு ஆகியவை சாதாரண அல்லது எளிய சராசரிகள் என்றும் பெருக்குச் சராசரி மற்றும் இசைச் சராசரி சிறப்புச் சராசரிகள் ஆகும்.
சராசரி என்பதன் பொருள்
* "மையப்போக்கு அளவை என்பது எந்த எண்ணைச் சுற்றி மற்ற எண்கள் இருக்கின்றதோ அந்த எண்ணினை கண்டறிவது."
* 'எந்த ஒரு எண்ணை மற்ற எண்கள் பிரதிபலிக்கின்றதோ அந்த எண்ணே சராசரி ஆகும்."
* "மொத்தமாக அனைத்து எண்களையும் தொகுத்துச் சொல்கிறதோ அதுதான் எண்களின் மையம் எனப்படுகிறது."
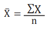
ஒரு மாறியின் சராசரி என்பது மாறியின் அனைத்து எண் மதிப்புகளின் கூட்டுத் தொகையை அவ்வெண்களின் எண்ணிக்கையால் வகுத்தால் கிடைப்பது ஆகும். இப்பொழுது x என்ற மாறியின் மதிப்புக்கள் X1, X2, X3, X4 … Xn என்றால் இந்த n மதிப்புகளின் கூட்டுச் சராசரி அந்த மதிப்புகளின் கூட்டுத்தொகையை n - ஆல் வகுத்தால் கிடைப்பது ஆகும்.

இச் சூத்திரம் தொகுக்கப்படாத விவரங்களுக்கு மட்டுமே பயன்படுத்த வேண்டும்.
உதாரணம் 1 : கீழ்கண்ட விவரங்களுக்கு கூட்டுச் சராசரியினை கணக்கிடுக: 2, 4, 6, 8, 10.
இதில் நாம் இருமுறைகளில் கூட்டுச் சராசரியினை கண்டறியலாம். ஒன்று நேரடி முறை, மற்றொன்று சுருக்க முறை.
நேரடி முறை: 
இங்கு ∑X = அனைத்து X மதிப்புக்களின் கூடுதல்.
n = மொத்தமுள்ள உறுப்புக்களின் எண்ணிக்கை.
தீர்வு

சுருக்க முறை
இம்முறையில் கூட்டுச் சராசரியினை கண்டறிய சூத்திரம்
இங்கு A = அனுமானிக்கப்பட்ட கூட்டுச் சராசரி
∑d = அனுமானிக்கப்பட்ட சராசரியிலிருந்து X-ன் விலகல்
n = மொத்தமுள்ள உறுப்பினர்களின் எண்ணிக்கை.
உதாரணம் 2: ஒரு வகுப்பில் பயிலும் 5 மாணவர்கள் ஒரு பாடத்தில் பெற்ற மதிப்பெண்க ள் 75, 68, 80, 92, 56. இம்மதிப்பெண்களுக்கான கூட்டுச் சராசரியினை கண்டறிக.
தீர்வு:
