இயல் உலகத்தின் தன்மையும் அளவீட்டியலும் | இயற்பியல் - சரியான விடையைத் தேர்ந்தெடுத்து எழுதுக. | 11th Physics : UNIT 1 : Nature of Physical World and Measurement
இயல் உலகத்தின் தன்மையும் அளவீட்டியலும்
சரியான விடையைத் தேர்ந்தெடுத்து எழுதுக
1. அடிப்படை மாறிலிகளில் இருந்து hc/G என்ற ஒரு சமன்பாடு பெறப்படுகிறது. இந்த சமன்பாட்டின் அலகு.
(a) Kg2
(b) m3
(c) s-1
(d) m
விடை : (a) Kg2
தீர்வு :
h-ன் பரிமாண வாய்ப்பாடு M2
c-ன் பரிமாண வாய்ப்பாடு LT-1
G-ன் பரிமாண வாய்ப்பாடு M-1 L-3 T-2
⸫ hc/G = ML2 T-1 LT-1 / M-1 L3 T-2 = M2 = Kg2
2. ஒரு கோளத்தின் ஆரத்தை அளவிடுதலில் பிழை 2% எனில், அதன் கன அளவைக் கணக்கிடுதலின் பிழையானது,
(a) 8%
(b) 2%
(c) 4%
(d) 6%
விடை : (d) 6%
தீர்வு :
R = 2%
கன அளவு = 4/3 πr2
பிழை = 3(Δr/r) = 3 × 2 = 6%
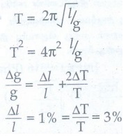
3. அலைவுறும் ஊசலின் நீளம் மற்றும் அலைவுநேரம் பெற்றுள்ள பிழைகள் முறையே 1% மற்றும் 3% எனில் ஈர்ப்பு முடுக்கம் அளவிடுதலில் ஏற்படும் பிழை
(a) 4%
(b) 5%
(c) 6%
(d) 7%
விடை : (d) 7%
தீர்வு :

4. பொருளொன்றின் நீளம் 3.51m என அளவிடப்பட்டுள்ளது. துல்லியத்தன்மை 0.01 m எனில், அளவீட்டின் விழுக்காட்டுப் பிழை
(a) 351%
(b) 1%
(c) 0.28%
(d) 0.035%
விடை : (c) 0.28%
தீர்வு :
விழுக்காட்டுப் பிழை = 0.01/3.51 × 100%
= 1 / 3.51 = 0.28 %
5. கீழ்கண்டவற்றுள் அதிக முக்கிய எண்ணுருக்களைக் கொண்டது எது?
(a) 0.007m2
(b) 2.64 x 10 24 kg
(c) 0.0006032 m2
(d) 6.3200 J
விடை : (d) 6.3200 J
தீர்வு :
0.007 → 1
2.64 × 1024 → 3
0.0006032 → 4
6.3200 → 5
6.π -இன் மதிப்பு 3.14 எனில் π2 இன் மதிப்பு
(a) 9.8596
(b) 9.860
(c) 9.86
(d) 9.9
விடை : c) 9.86
தீர்வு :
π = 3.14
π2 = 9.8596
π என் முக்கிய எண்ணுறு '3' எனவோ π2 ன் முக்கிய எண்ணுறு '3'.'3' முக்கிய எண்ணுறுக்களுக்கு முழுமைப்படுத்த = 9.86
7. கீழ்க்கண்ட இணைகளில் ஒத்த பரிமாணத்தை பெற்றுள்ள இயற்பியல் அளவுகள்
(a) விசை மற்றும் திறன்
(b) திருப்பு விசை மற்றும் ஆற்றல்
(c) திருப்புவிசை மற்றும் திறன்
(d) விசை மற்றும் திருப்பு விசை
விடை : (b) திருப்பு விசை மற்றும் ஆற்றல்
தீர்வு :
விசை = MLT-2
திருப்புவிசை = M2LT-2
ஆற்றல் = ML2T-2
திறன் = ML2T-3
8. பிளாங்க் மாறிலியின் (Planck's constant) பரிமாண வாய்ப்பாடு [AMU, Main JEE, NEET)
(a) [ML2T-1]
(b) [M2LT-3)
(c) [MLT-1]
(d) [ML3T3]
விடை (a) [ML2T-1]
தீர்வு:
E = hγ
h = E/γ = [ ML2T2 ] / T−1
= ML2T-l
9. t என்ற கணத்தில் ஒரு துகளின் திசைவேகம் v = at + bt2 எனில், b-இன் பரிமாணம்
(a) [L]
(b) [LT-1]
(c) [LT-2)
(d) [LT-3)
விடை : (d) [LT-3]
தீர்வு :
v = bt2
b = v/t2 = LT-1/T2 = [LT-3]
10. ஈர்ப்பியல் மாறிலி G-யின் பரிமாண வாய்ப்பாடு
(a) [ML3T-2]
(b)[ M-1L3 T-2]
(c) [M-1L-3 T-2]
(d) [ML-3T-2]
விடை : (b) [M-1L3 T-2]
தீர்வு :
F = Gm1m2 / r2
G = Fr2 / m1.m2
= [ MLT−2 × L2 ] / M2
G = [M−1L3T−2]
11. CGS முறையில் ஒரு பொருளின் அடர்த்தி 4 gcm-3 ஆகும். நீளம் 10cm, நிறை 100g கொண்டிருக்கும் ஒர் அலகு முறையில் அப்பொருளின் அடர்த்தி
(a) 0.04
(b) 0.4
(c) 40
(d) 400
விடை : (c) 40
தீர்வு :
n1u1 = n2u2
4 g/cm3 = n2 100/(10)3
n2 = 4 × 103 / 100 = 40
12. விசையானது திசைவேகத்தின் இருமடிக்கு நேர் விகிதப் பொருத்தமுடையது எனில் விகித மாறிலியின் பரிமாண வாய்ப்பாடு
(a) [MLT0]
(b) [MLT-1]
(c) (ML-2T]
(d) [ML-1T0]
விடை : (d) [ML-1T0]
தீர்வு :
F = Kv2
K = F/v2 = MLT-2/(LT-1)2 = MLT-2/L2T-2
= [ML-1T0] F&v2
13. (μ0ε0)-1/2 ன் பரிமாணத்தைக் கீழ்கண்டவற்றுள் எது பெற்றிருக்கும்?
(a) நீளம்
(b) காலம்
(c) திசைவேகம்
(d) விசை
விடை : (c) திசைவேகம்
தீர்வு:
c = 1 / (μ0ε0)1/2
14. பிளாங் மாறிலி (h) வெற்றிடத்தின் ஒளியின் திசைவேகம் (c) மற்றும் நியூட்டனின் ஈர்ப்பு மாறிலி (G) ஆகிய மூன்று அடிப்படை மாறிலிகள் கொண்டு பெறப்படும் கீழ்காணும் எந்த தொடர்பு நீளத்தின் பரிமாணத்தைப் பெற்றிருக்கும்.

விடை : (a)
விடை : (a) √(hG) / C3/2
தீர்வு :
r ∝ hxcyGz
L = (ML2T-1) × (LT-1)y(M-1L3T-2)z
L = Mx-zL2x+y+3zT-x-y-2z
x−z = 0
2x+y+3z = 1
-x-y-2z=0
On solving x =1/2
y = -3/2
z = ½
L = √(hG) / C3/2
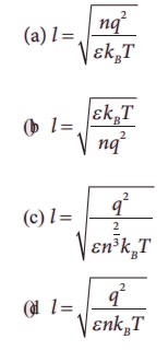
15. ஒர் அளவின் நீளம் (l) மின்காப்பு பொருளின் விடுதிறன் (ε) போல்ட்ஸ்மேன் மாறிலி (kB). தனிச்சுழி வெப்பநிலை (T), ஓரலகு பருமனுக்கான மின்னூட்ட துகள்களின் எண்ணிக்கை (n), ஒவ்வொரு துகளின் மின்னூட்டம் (q) ஆகியவற்றினை பொருத்தது எனில் கீழ்கண்டவற்றுள் நீளத்திற்கான எந்த சமன்பாடு பரிமாண முறையில் சரி?

விடை: (b)
தீர்வு

விடைகள்:
1) a 2) d 3) d 4) c 5) d 6) c 7) b 8) a 9) d 10) b 11) c 12) d 13) c 14) a 15) b