அளவைகள் | அலகு 2 | 8 ஆம் வகுப்பு கணக்கு - கூட்டு வடிவங்கள் | 8th Maths : Chapter 2 : Measurements
கூட்டு வடிவங்கள்
நாம் அன்றாட வாழ்வில் வட்டம், முக்கோணம், சதுரம், செவ்வகம், சாய்சதுரம் போன்ற வடிவங்களில் எண்ணற்ற பொருட்களைப் பயன்படுத்துகிறோம் அல்லவா! மேலும் அவற்றைத் தனித்தனியாகப் பயன்படுத்துவது மட்டுமல்லாமல் இரண்டு அல்லது அதற்கு மேற்பட்ட வடிவங்களை ஒன்றாக இணைத்துப் புதிய வடிவங்களிலும் பயன்படுத்தி வருகிறோம்.

மேற்காணும் படங்களிலிருந்து நாம் அறிந்துகொள்வது என்ன?
சன்னல் கண்ணாடியின் வடிவம் செவ்வகத்தின் மீது அரைவட்டத்தை இணைத்தும், மாதிரி வீட்டின் முகப்புச்சுவரின் வடிவம் சதுரத்தின் மீது முக்கோணத்தை இணைத்தும் உருவாக்கப்பட்டுள்ளது.
அழைப்பிதழ் அட்டை மற்றும் பாதுகாப்புப் பெட்டகத்தைச் செய்யப் பயன்படுத்தப்பட்டுள்ள வடிவங்களைப் பட்டியலிடுக.
இவ்வாறு இரண்டு அல்லது அதற்கு மேற்பட்ட தள வடிவங்களை, ஒரு வடிவத்தின் ஏதேனும் ஒரு பக்கத்தை அதற்கு ஒத்த நீளமுள்ள மற்றொன்றின் பக்கத்துடன் ஒன்றாக இணைத்துப் புதிய வடிவங்கள் உருவாக்கப்படுகின்றன. இவை கூட்டு வடிவங்கள் எனப்படும்.
1. கூட்டு வடிவங்களின் சுற்றளவு
கூட்டு வடிவங்களின் சுற்றளவு என்பது அந்த மூடிய வடிவத்தினைச் சுற்றி எல்லையாக அமைந்துள்ள மொத்தப் பக்க அளவுகளின் கூடுதல் ஆகும்.

உதாரணமாக, ‘a’ அலகு பக்க அளவைக் கொண்ட ஒரு சதுரமும், அதே அலகு பக்க அளவுடைய ஒரு சமபக்க முக்கோணத்தையும் படம் 2.19 இல் உள்ளவாறு இணைத்து உருவாக்கப்பட்டக் கூட்டு வடிவத்தினை உற்றுநோக்குக.
சதுரத்திற்கு 4 பக்கங்கள் மற்றும் முக்கோணத்திற்கு 3 பக்கங்கள் என மொத்தம் 7 பக்கங்கள் இருப்பினும், அவையிரண்டும் ஒன்றாக இணைத்து உருவாக்கப்பட்டக் கூட்டு வடிவத்தினைச் சுற்றி எல்லையாக அமைந்துள்ள பக்கங்களின் எண்ணிக்கை 5 மட்டுமே, 7 பக்கங்கள் அல்ல. எனவே, கொடுக்கப்பட்டுள்ள கூட்டு வடிவத்தின் சுற்றளவு 5a அலகுகள் ஆகும்.
2. கூட்டு வடிவங்களின் பரப்பளவு
கூட்டு வடிவத்தின் பரப்பளவைக்காண, அந்த வடிவத்தினை நாம் ஏற்கனவே அறிந்த எளிய வடிவங்களாகப் பிரித்து அவற்றின் பரப்பளவுகளைத் தனித்தனியாகக் கண்டறிந்து, அவற்றைக் கூட்டிக்கொள்ள வேண்டும். அதாவது, கூட்டு வடிவத்தினை உருவாக்கும் அனைத்து எளிய வடிவங்களின் பரப்பளவுகளின் கூடுதலாகும்.

படம் 2.20 இல் கொடுக்கப்பட்டுள்ளக் கூட்டு வடிவத்தின் பரப்பளவைக் காண, சதுரத்தின் பரப்பளவையும், முக்கோணத்தின் பரப்பளவையும் தனித்தனியாகக் கண்டறிந்து, அவற்றைக் கூட்ட வேண்டும்.
நம் அன்றாட வாழ்வில் பயன்படுத்தும் கூட்டு வடிவங்களில் பெரும்பாலானவை ஒழுங்கற்ற பலகோணம் ஆகும். அவற்றின் பரப்பளவுகளைக் காண, அவற்றிலுள்ள எளிய வடிவங்களின் பரப்பளவுகளைத் தனித்தனியாகக் கண்டறிந்து அவற்றைக் கூட்ட வேண்டும்.
உதாரணமாக, ஒழுங்கற்ற பலகோண வடிவிலுள்ள ஒரு நிலத்தைக் கீழே கொடுக்கப்பட்டுள்ளவாறு எளிய வடிவங்களாகப் பிரித்து, அதன் பரப்பளவைக் கண்டறியலாம்.

உங்களுக்குத் தெரியுமா?
மூன்று அல்லது அதற்கு மேற்பட்ட பக்கங்களைக் கொண்டு உருவாக்கப்பட்ட மூடிய தள வடிவம் பலகோணம் ஆகும். பக்கங்களின் எண்ணிக்கையைப் பொறுத்து அவற்றின் சில வகைகள் கீழே அட்டவணைப்படுத்தப்பட்டுள்ளன.

பலகோணத்தின் அனைத்துப் பக்கங்களும், அனைத்துக் கோணங்களும் சமமாக இருந்தால் அது ஒழுங்கு பலகோணம் ஆகும். எடுத்துக்காட்டு: சமபக்க முக்கோணம், சதுரம். மற்றவை ஒழுங்கற்ற பலகோணங்கள் ஆகும். எடுத்துக்காட்டு: அசமபக்க முக்கோணம், செவ்வகம்.
சிந்திக்க
சாய்சதுரத்தின் அனைத்துப் பக்கங்களும் சமம். அது ஓர் ஒழுங்குப் பலகோணமாகுமா?
கூட்டு வடிவங்களின் பரப்பளவு மற்றும் சுற்றளவைக் காண்பதற்கு உதவியாக, முந்தைய வகுப்புகளில் கற்றுக்கொண்ட சில தள உருவங்களின் பரப்பளவு மற்றும் சுற்றளவைக் கண்டறியப் பயன்படும் சூத்திரங்கள் கீழே கொடுக்கப்பட்டுள்ளன.

எடுத்துக்காட்டு 2.6
படம் 2.23 இல் கொடுக்கப்பட்டுள்ளக் கூட்டு வடிவத்தின் சுற்றளவு மற்றும் பரப்பளவைக் காண்க. [π = (22/7)] 

தீர்வு :
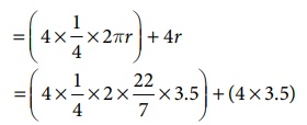
கொடுக்கப்பட்டுள்ள கூட்டு வடிவமானது, ஒரு சதுரத்தின் ஒவ்வொரு பக்கத்துடனும் 4 கால்வட்டங்களை ஒன்றாக இணைத்து உருவாக்கப்பட்டுள்ளது. அதன் எல்லையாக நான்கு ஆரங்களும், நான்கு கால் வட்டவிற்களும் உள்ளன.
(i) கூட்டு வடிவத்தின் சுற்றளவு
= (4 × கால்வட்ட விற்களின் நீளம்) + (4 × ஆரங்கள்)

= 22 + 14
= 36 செ.மீ. (தோராயமாக)
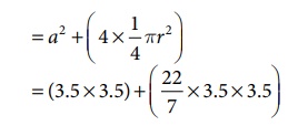
(ii) கூட்டு வடிவத்தின் பரப்பளவு
= சதுரத்தின் பரப்பளவு + (4 × கால்வட்டத்தின் பரப்பளவு)

A = 12.25 + 38.5 = 50.75 செ.மீ2 (தோராயமாக)
எடுத்துக்காட்டு 2.7
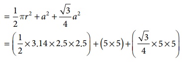
நிஷாந்தின் சாவிக்கொத்தானது 5 செ.மீ. பக்க அளவுள்ள சதுரத்துடன் ஒரு சமபக்க முக்கோணத்தையும், ஓர் அரை வட்டத்தையும் படம் 2.24 இல் உள்ளவாறு இணைத்து உருவாக்கப்பட்டுள்ளது எனில் அதன் பரப்பளவைக் காண்க. (π = 3.14, √3 = 1.732)

தீர்வு :
சதுரத்தின் பக்கம் = 5 செ.மீ
அரைவட்டத்தின் விட்டம் = 5 செ.மீ ⇒ ஆரம் = 2.5 செ.மீ
சமபக்க முக்கோணத்தின் பக்கம் = 5 செ.மீ
ஃ சாவிக்கொத்தின் பரப்பளவு = அரைவட்டத்தின் பரப்பளவு + சதுரத்தின் பரப்பளவு + சமபக்க முக்கோணத்தின் பரப்பளவு

= 9.81 + 25 + 10.83
= 45.64 செ.மீ2. (தோராயமாக)
எடுத்துக்காட்டு 2.8
ஒரு 3 மடிப்பு அழைப்பிதழ் அட்டையானது படம் 2.25 இல் உள்ளவாறு அளவுகளைக் கொண்டுள்ளது. அதன் பரப்பளவைக் காண்க.

தீர்வு:
பகுதி I மற்றும் II ஆகியவை சரிவகங்கள் ஆகும். அதேபோன்று அவற்றின் ஒருங்கிணைந்த வடிவமும் சரிவகமே ஆகும்.
ஒருங்கிணைந்த சரிவகத்தின் இணைப் பக்கங்கள் (I மற்றும் II) = 5 செ.மீ மற்றும் 16 செ.மீ.
அதன் உயரம், h = 8 + 8 = 16 செ.மீ
செவ்வகத்தின் நீளம் (III) = 16 செ.மீ மற்றும் அகலம் = 8 செ.மீ
ஃ அழைப்பிதழ் அட்டையின் பரப்பளவு
= ஒருங்கிணைந்த சரிவகத்தின் பரப்பளவு + செவ்வகத்தின் பரப்பளவு
= (1/2) × h × (a + b) + (l × b)
= (1/2) × 16 × (5 + 16) + (16 × 8)
= 168 + 128 = 296 செ.மீ2
மாற்று முறை:
அழைப்பிதழ் அட்டையின் பரப்பளவு = வெளிச்செவ்வகத்தின் பரப்பளவு − செங்கோண முக்கோணத்தின் பரப்பளவு

= (l × b) – [ (1 / 2) × b × h ]
= (24 × 16) – [(1 / 2) × 11 × 16]
= 384 − 88
= 296 செ.மீ2
எடுத்துக்காட்டு 2.9
சீனு என்பவர் தனது சமையலறையில் பயன்படுத்த படம் 2.27 இல் உள்ளவாறு ஒரு தரைவிரிப்பை வாங்கத் திட்டமிட்டுள்ளார். ஒரு சதுர அடிக்கு ரூ.20 வீதம் தரைவிரிப்பினை வாங்குவதற்கு ஆகும் மொத்தச் செலவினைக் கணக்கிடுக.

தீர்வு:

தரைவிரிப்பினைப் பின்வருமாறு இரு செவ்வகங்களாகப் பிரிக்கலாம்.
ஃ தரைவிரிப்பின் பரப்பளவு
= செவ்வகம் I இன் பரப்பளவு + செவ்வகம் II இன் பரப்பளவு
= (l1 × b1) + (l2 × b2)
= (5 × 2) + (9 × 2)
= 10 + 18
= 28 சதுர அடி
ஒரு சதுர அடி தரைவிரிப்பின் விலை = ₹ 20
ஃ தரைவிரிப்பு வாங்குவதற்கு ஆகும் மொத்தச் செலவு = 28 × ₹ 20 = ₹ 560.
இவற்றை முயல்க
மேலேயுள்ள எடுத்துக்காட்டில் கொடுக்கப்பட்டுள்ள தரைவிரிப்பை இரண்டு சரிவகங்களாகப் பிரித்து விடையைச் சரிபார்க்கவும்.
எடுத்துக்காட்டு 2.10
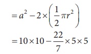
10 செ.மீ பக்க அளவுடைய சதுரத்தில் படம் 2.29 இல் உள்ளவாறு நிழலிடப்பட்டுள்ள பகுதியின் பரப்பளவைக் காண்க. (π = 22 / 7) 

தீர்வு:
நிழலிடப்படாத பகுதியினைப் படத்தில் கொடுக்கப்பட்டுள்ளவாறு I, II, III மற்றும் IV என எடுத்துக்கொள்வோம்.
பகுதிகள் I மற்றும் III இன் பரப்பளவு = சதுரத்தின் பரப்பளவு – 2 அரைவட்டங்களின் பரப்பளவு

= 100 − 78.57
= 21.43 செ.மீ2
இதேபோன்று, பகுதி II மற்றும் IV இன் பரப்பளவு = 21.43 செ.மீ2
நிழலிடப்படாத பகுதியின் பரப்பளவு (I, II, III மற்றும் IV)
= 21.43 × 2
= 42.86 செ.மீ2 (தோராயமாக)
ஃ நிழலிடப்பட்ட பகுதியின் பரப்பளவு = சதுரத்தின் பரப்பளவு − நிழலிடப்படாத பகுதியின் பரப்பளவு
= 100 − 42.86
= 57.14 செ.மீ2 (தோராயமாக)
உங்களுக்குத் தெரியுமா?
1. கீழே கொடுக்கப்பட்டுள்ள 'a' அலகு பக்க அளவுள்ள ஒவ்வொரு சதுரத்திலும் நிழலிடப்பட்டுள்ள பகுதியின் பரப்பளவானது சமம் ஆகும்.

2. 'a' அலகு பக்க அளவுள்ள ஒரு சதுரத்திலிருந்து மிகப்பெரிய வட்டத்தை வெட்டியெடுத்தால், மீதமுள்ள பகுதியின் பரப்பளவு
ச.அலகுகள் ஆகும். (π = 22 / 7)
3. ‘a’ அலகு பக்க அளவுள்ள ஒரு சதுரத்திலிருந்து வெட்டியெடுக்கப்படும் மிகப்பெரிய வட்டத்தின் பரப்பளவு = (11 / 14) a2 ச.அலகுகள். (தோராயமாக)
4. π = (22 / 7) எனில், படத்தில் கொடுக்கப்பட்டுள்ள 'a' அலகு பக்க அளவுள்ள ஒரு சதுரத்தில் நிழலிடப்படாத பகுதியின் பரப்பளவு தோராயமாக(3 / 7) a2 சதுர அலகுகள் மற்றும் நிழலிடப்பட்ட பகுதியின் பரப்பளவு (4 / 7) a2 சதுர அலகுகள் ஆகும்.

எடுத்துக்காட்டு 2.11
படத்தில் கொடுக்கப்பட்டுள்ளவாறு அளவுகளைக் கொண்டுள்ள ஒழுங்கற்ற பலகோண வடிவ நிலத்தின் பரப்பளவைக் காண்க.

தீர்வு:
கொடுக்கப்பட்டுள்ள நிலத்தில், நான்கு முக்கோணங்கள் (I, III, IV மற்றும் V) மற்றும் ஒரு சரிவகம் (II) ஆகியவை உள்ளன.

முக்கோணத்தின் (I) பரப்பளவு = (1/2) × b × h = (1/2) × 5 × 6 = 15 மீ2
சரிவகத்தின் (II) பரப்பளவு = (1/2) h (a + b) = (1/2) × 13 × (6 + 4) = 65மீ2
முக்கோணத்தின் (III) பரப்பளவு = (1/2) × b × h = (1/2) × 8 × 4 = (32 / 2) = 16 மீ2
முக்கோணத்தின் (IV) பரப்பளவு = (1/2) × b × h = (1/2) × 13 × 10 = 65 மீ2
முக்கோணத்தின் (V) பரப்பளவு = (1/2) × b × h = (1/2) × 13 × 10 = 65 மீ2
ஃ நிலத்தின் மொத்தப்பரப்பளவு = 15 + 65 + 16 + 65 + 65 = 226 மீ2