நிகழ்தகவு பரவல்கள் | கணிதவியல் - நிகழ்தகவு நிறை சார்பிலிருந்து குவிவு பரவல் சார்பு (Cumulative Distribution Function from Probability Mass function) | 12th Maths : UNIT 11 : Probability Distributions
4. நிகழ்தகவு நிறை சார்பிலிருந்து குவிவு பரவல் சார்பு (Cumulative Distribution Function from Probability Mass function)
ஒரு தனிநிலை சமவாய்ப்பு மாறி X - இன் நிகழ்தகவு நிறை சார்பு மற்றும் குவிவு பரவல் சார்பு ஆகிய இரண்டும் X -இன் அனைத்து நிகழ்தகவு தகவல்களையும் கொண்டிருக்கும். X -ன் நிகழ்தகவு பரவலை இந்த இரண்டிலொன்று தீர்மானிக்க இயலும். உண்மையில், தனிநிலை சமவாய்ப்பு மாறி X -இன் பரவல் சார்பு F-இனை X-இன் நிகழ்தகவு நிறைச்சார்பு f (x) மூலமாக விளக்கலாம். அதற்கு நேர்மாறாகவும் விளக்கலாம்.
எடுத்துக்காட்டு 11.7
சமவாய்ப்பு மாறி X -இன் நிகழ்தகவு நிறை சார்பு f (x) என்பது

எனில், (i) அதன் குவிவு பரவல் சார்பு காண்க. அதன் மூலமாக (ii) P(X ≤ 3) மற்றும், (iii) P(X ≥ 2) ஆகியவற்றைக் காண்க
தீர்வு
(i) வரையறைப்படி தனிநிலை சமவாய்ப்பு மாறிக்கான குவிவு பரவல் சார்பு

எடுத்துக்காட்டு 11.8
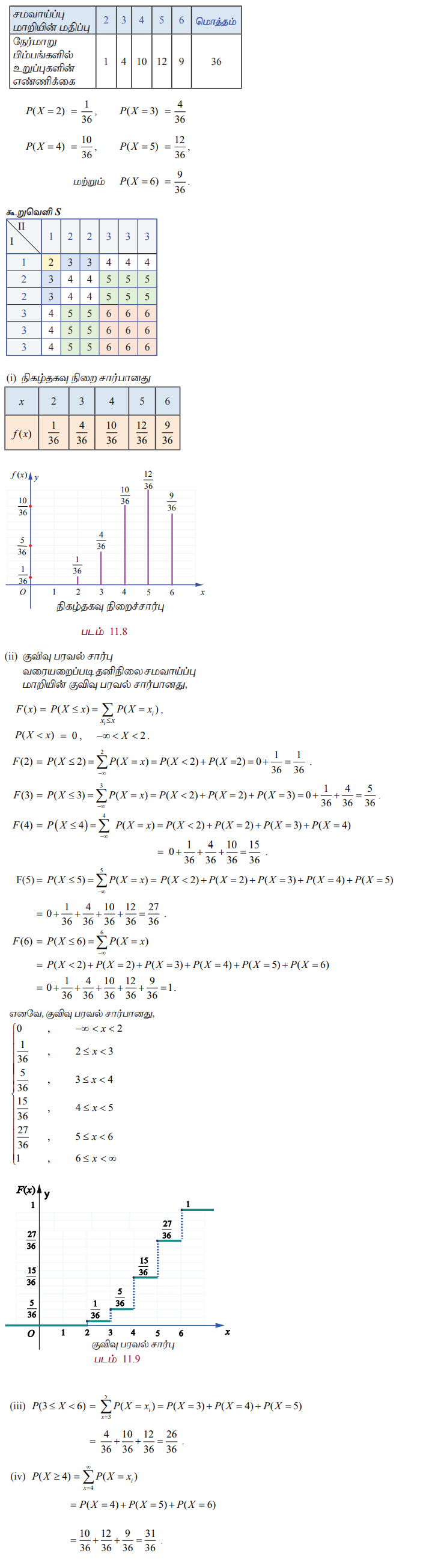
ஓர் ஆறு பக்க பகடையின் ஒரு பக்கத்தில் 1' என குறிக்கப்படுகிறது. அதன் இரு பக்கங்களில் '2' எனவும் மீதமுள்ள மூன்று பக்கங்களில் '3' எனவும் குறிக்கப்படுகிறது. இரு முறை பகடை உருட்டப்படுகிறது. இருமுறை எறிதலின் மொத்தத் தொகையை X குறிக்கிறது எனில்

(i) நிகழ்தகவு நிறை சார்பு காண்க.
(ii) குவிவு பரவல் சார்பு காண்க.
(iii) P(3 ≤ X ≤ 6) காண்க (iv) P(X ≥ 4) காண்க .
தீர்வு
இருமுறை எறிதலின் மொத்தத் தொகை X -ஐ குறிப்பதால், X -ஆனது 2, 3, 4, 5, மற்றும் 6 ஆகிய மதிப்புகளைக் கொண்டிருக்கும்.
அருகிலுள்ள அட்டவணை S-லிருந்து,
