15. இரு தளங்களின் வெட்டுக்கோடு வழியாகச் செல்லும் தளத்தின் சமன்பாடு (Equation of a plane passing through the line of intersection of two given planes)
தேற்றம் 6.22
என்ற தளங்களின் வெட்டுக்கோடு வழியாகச் செல்லும் தளத்தின் வெக்டர் சமன்பாடு
ஆகும். இங்கு λ∈ ℝ.
நிரூபணம்
பின்வரும் சமன்பாட்டை எடுத்துக் கொள்வோம்.

எனவே, சமன்பாடு (2) ஆனது

என்றாகும். சமன்பாடு (3) ஆனது ஒரு தளத்தைக் குறிக்கிறது. எனவே, சமன்பாடு (1)−ம் ஒரு தளத்தைக் குறிக்கும்.
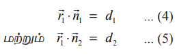
கொடுக்கப்பட்ட தளங்களின் வெட்டுக்கோட்டின் மீதுள்ள ஏதேனும் ஒரு புள்ளியின் நிலைவெக்டர்
என்க. பின்னர்,
ஆனது
என்ற இரு தளங்களின் சமன்பாடுகளையும் நிறைவு செய்யும். எனவே,

சமன்பாடுகள் (4) மற்றும் (5) களிலிருந்து,
என்பது சமன்பாடு (1)−ஐ நிறைவு செய்வதைக் காணலாம். ஆகவே, கொடுக்கப்பட்ட தளங்களின் வெட்டுக்கோட்டின் மீதுள்ள எந்தவொரு புள்ளியும் தளம் (1)−ன் மீது அமையும் எனக் காண்கிறோம். எனவே, தளம் (1) ஆனது கொடுக்கப்பட்ட தளங்களின் வெட்டுக்கோடு வழியாகச் செல்லும் என்பது நிரூபணமாகிறது.
a1x + b1y + c1z = d1 மற்றும் a2x + b2y –c2z = d2 ஆகிய இரு தளங்களின் வழியாகச் செல்லும் தளத்தின் கார்டீசியன் சமன்பாடு (a1x + b1y + c1z − d1 ) + λ (a2x + b2y –c2z − d2) = 0 ஆகும்.
எடுத்துக்காட்டு 6.53
என்ற தளங்களின் வெட்டுக் கோடு வழியாகவும் (−1,2,1) என்ற புள்ளி வழியாகவும் செல்லும் தளத்தின் சமன்பாடு காண்க.
தீர்வு
என்ற தளங்களின் வெட்டுக்கோடு வழியாகச் செல்லும் தளத்தின் சமன்பாடு
ஆகும்.
இச்சமன்பாட்டில்,
எனப்பிரதியிட, கொடுக்கப்பட்ட தளங்களின் வெட்டுக்கோடு வழியாகச் செல்லும்.
(x+y+z+1)+λ(2x−3y+5z−2)=0 என்ற தளத்தின் சமன்பாடு கிடைக்கிறது.
இத்தளம் (−1,2,1) என்ற புள்ளி வழிச் செல்வதால், λ=3/5 எனப் பெறுகிறோம். எனவே, தேவையான தளத்தின் சமன்பாடு 11x−4y+20z = 1 ஆகும்.
எடுத்துக்காட்டு 6.54
2x + 3y – z + 7= 0 மற்றும் x + y − 2z + 5=0 என்ற தளங்களின் வெட்டுக்கோடு வழிச் செல்வதும் x + y − 3z – 5 = 0 என்ற தளத்திற்குச் செங்குத்தானதுமான தளத்தின் சமன்பாட்டைக் காண்க.
தீர்வு
2x+3y−z+7=0 மற்றும் x + y−2z+5=0 ஆகிய தளங்களின் வெட்டுக்கோடு வழிச்செல்லும் தளத்தின் சமன்பாடு (2x+3y−z+7) + λ(x+y−2z+5) =0 அல்லது
(2+ λ)x + (3+ λ)y + (−1−2λ)z + (7+5λ) = 0
இத்தளம், கொடுக்கப்பட்ட x+y−3z−5=0 தளத்திற்குச் செங்குத்தானது என்பதால், இவ்விரு தளங்களின் செங்கோடுகள் ஒன்றுக்கொன்று செங்குத்தாகும். எனவே,
(1)(2+ λ) + (1)(3+ λ) + (−3)(−1−2λ) z = 0
⇒ λ = −1. எனவே, தேவையான தளத்தின் சமன்பாடு
(2x + 3y −z +7) − (x + y − 2z + 5) = 0 ⇒ x + 2y + z + 2 = 0.