கேள்விகளுக்கான பதில்கள், தீர்வுகள் - பயிற்சி 6.3: வெக்டர் முப்பெருக்கல் (Vector triple product), ஐக்கோபியின் முற்றொருமை மற்றும் லாக்ராஞ்சியின் முற்றொருமை (Jacobi's Identity and Lagrange's Identity) | 12th Maths : UNIT 6 : Applications of Vector Algebra
Posted On : 26.02.2024 11:40 pm
12 ஆம் வகுப்பு கணிதம் : அத்தியாயம் 6 : வெக்டர் இயற்கணிதத்தின் பயன்பாடுகள்
பயிற்சி 6.3: வெக்டர் முப்பெருக்கல் (Vector triple product), ஐக்கோபியின் முற்றொருமை மற்றும் லாக்ராஞ்சியின் முற்றொருமை (Jacobi's Identity and Lagrange's Identity)
12 ஆம் வகுப்பு கணிதம் : அத்தியாயம் 6 : வெக்டர் இயற்கணிதத்தின் பயன்பாடுகள் : பயிற்சி 6.3: வெக்டர் முப்பெருக்கல் (Vector triple product), ஐக்கோபியின் முற்றொருமை மற்றும் லாக்ராஞ்சியின் முற்றொருமை (Jacobi's Identity and Lagrange's Identity) : பல்வேறு வினாக்களுக்கான பதில்கள் மற்றும் தீர்வுகள்
பயிற்சி 6.3
1.
ஆகியவற்றைக் காண்க.

2. ஏதேனும் ஒரு வெக்டர்
என நிறுவுக.

3.
என நிறுவுக.

4.
எனில்

என்பவற்றைச் சரிபார்க்க.

5.
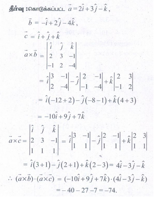
–ன் மதிப்புக் காண்க.

6.
என்பன ஒரு தள வெக்டர்கள் எனில்,
என நிரூபிக்க.

7.
எனில், l, m, n –ன் மதிப்புகளைக் காண்க.

8.
என்ற மூன்று அலகு வெக்டர்களில்
என்பன இணை அல்லாத வெக்டர்கள் மற்றும்
என்ற வெக்டர்களுக்கு இடைப்பட்ட கோணம் காண்க.

Tags : Problem Questions with Answer, Solution கேள்விகளுக்கான பதில்கள், தீர்வுகள்.
12th Maths : UNIT 6 : Applications of Vector Algebra : Exercise 6.3: Vector triple product, Jacobi’s Identity and Lagrange’s Identity Problem Questions with Answer, Solution in Tamil : 12th Standard
Tamil Medium School Samacheer Book Back Questions and answers, Important Question with Answer.
12 ஆம் வகுப்பு கணிதம் : அத்தியாயம் 6 : வெக்டர் இயற்கணிதத்தின் பயன்பாடுகள் : பயிற்சி 6.3: வெக்டர் முப்பெருக்கல் (Vector triple product), ஐக்கோபியின் முற்றொருமை மற்றும் லாக்ராஞ்சியின் முற்றொருமை (Jacobi's Identity and Lagrange's Identity) - கேள்விகளுக்கான பதில்கள், தீர்வுகள் : 12 ஆம் வகுப்பு
புத்தகம் கேள்விகள் மற்றும் பதில்கள்.