புத்தக கணக்குகளுக்கான பதில்கள், தீர்வுகள் | கணக்கு - பயிற்சி 10.1: வகைமை (வகையிடல் தன்மை) மற்றும் தொடர்ச்சி (Differentiability and Continuity) | 11th Mathematics : UNIT 10 : Differential Calculus: Differentiability and Methods of Differentiation
Posted On : 09.02.2024 10:03 pm
11 வது கணக்கு : அலகு 10 : வகை நுண்கணிதம் வகைமை மற்றும் வகையிடல் முறைகள் DIFFERENTIABILITY AND METHODS OF DIFFERENTIATION
பயிற்சி 10.1: வகைமை (வகையிடல் தன்மை) மற்றும் தொடர்ச்சி (Differentiability and Continuity)
11 வது கணக்கு : அலகு 10 : வகை நுண்கணிதம் வகைமை மற்றும் வகையிடல் முறைகள் DIFFERENTIABILITY AND METHODS OF DIFFERENTIATION : பயிற்சி 10.1: வகைமை (வகையிடல் தன்மை) மற்றும் தொடர்ச்சி (Differentiability and Continuity) : பல்வேறு வினாக்களுக்கான பதில்கள் மற்றும் தீர்வுகள்
பயிற்சி 10.1
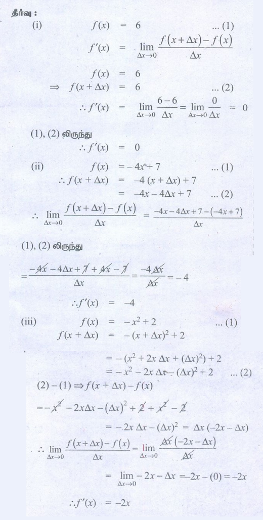
(1) முதல் கொள்கையினைப் பயன்படுத்திப் பின்வரும் சார்புகளின் வகைக்கெழுக்களைக் காண்க.
(i) ƒ(x) = 6
(ii) ƒ(x) = -4x + 7
(iii) ƒ(x) = -x2 + 2

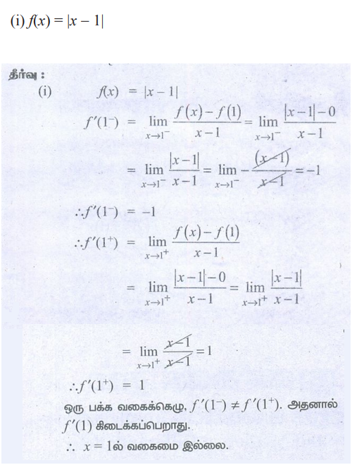
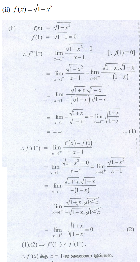
(2) கீழ்க்காணும் சார்புகளுக்கு x=1ல் இடப்பக்க மற்றும் வலப்பக்க வகைக்கெழு (கிடைக்கப்பெறின்) காண்க. x = 1-ல் சார்புகளுக்கு வகைமைத் தன்மை உள்ளதா என்பதனையும் காண்க.



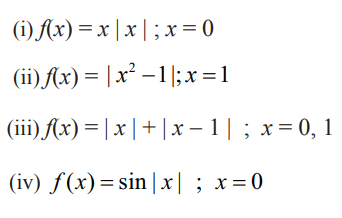
(3) கொடுக்கப்பட்டுள்ள புள்ளிகளில் கீழ்க்காணும் சார்புகள் வகைமையானதா என்பதைத் தீர்மானிக்கவும்.


(4) கீழ்க்காணும் சார்புகளுக்குக் குறிப்பிடப்பட்டுள்ள புள்ளிகளில் வகைமை இல்லை என்பதை நிறுவுக.

(5) தரப்பட்டுள்ள ƒ -ன் வரைபடத்தில் எந்தெந்த x -ன் மதிப்புகளுக்கு (எண்களுக்கு) ƒ வகைமை இல்லை என்பதனையும் அதற்கான காரணங்களையும் கூறுக.


(6) ƒ(x) = |x + 100| + x2 எனில், ƒ'(-100) கிடைக்கப்பெறுமா எனச் சோதித்துப் பார்க்கவும்.

(7) கீழ்க்காணும் சார்புகளின் வகைமைத் தன்மையைப் படங்கள் வரைந்து ppppp -ல் பரிசோதிக்கவும்.
(i) | sin x |
(ii) | cos x |

Tags : Problem Questions with Answer, Solution | Differential Calculus | Mathematics புத்தக கணக்குகளுக்கான பதில்கள், தீர்வுகள் | கணக்கு.
11th Mathematics : UNIT 10 : Differential Calculus: Differentiability and Methods of Differentiation : Exercise 10.1: Differentiability and Continuity Problem Questions with Answer, Solution | Differential Calculus | Mathematics in Tamil : 11th Standard
Tamil Medium School Samacheer Book Back Questions and answers, Important Question with Answer.
11 வது கணக்கு : அலகு 10 : வகை நுண்கணிதம் வகைமை மற்றும் வகையிடல் முறைகள் DIFFERENTIABILITY AND METHODS OF DIFFERENTIATION : பயிற்சி 10.1: வகைமை (வகையிடல் தன்மை) மற்றும் தொடர்ச்சி (Differentiability and Continuity) - புத்தக கணக்குகளுக்கான பதில்கள், தீர்வுகள் | கணக்கு : 11 ஆம் வகுப்பு
புத்தகம் கேள்விகள் மற்றும் பதில்கள்.