வகை நுண்கணிதம் வகைமை மற்றும் வகையிடல் முறைகள் DIFFERENTIABILITY AND METHODS OF DIFFERENTIATION | - பயிற்சி 10.5: சரியான விடையினை தேர்ந்தெடுக்கவும் | 11th Mathematics : UNIT 10 : Differential Calculus: Differentiability and Methods of Differentiation
பயிற்சி 10.5
சரியான அல்லது மிகவும் ஏற்புடைய விடையினைக் கொடுக்கப்பட்ட நான்கு மாற்று விடைகளிலிருந்து தேர்ந்தெடுக்கவும்.


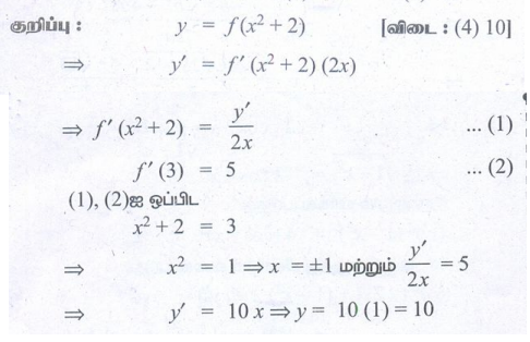
(2) y = f(x2+2) மற்றும் ƒ’ (3) = 5 எனில் , x=1-ல் dy / dx என்பது
(1) 5
(2) 25
(3) 15
(4) 10

(3)
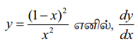
எனில், dy / dx என்பது


(4) f(x) = x2 - 3x எனில், f(x) = ƒ ‘(x) 6700 என அமையும் புள்ளிகள்
(1) இரண்டும் மிகை முழு எண்களாகும்
(2) இரண்டும் குறை முழு எண்களாகும்
(3) இரண்டுமே விகிதமுறா எண்களாகும்
(4) ஒன்று விகிதமுறு எண்ணாகவும் மற்றொன்று விகிதமுறா எண்ணாகவும் இருக்கும்

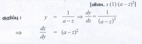
(5) y = 1 / (a - z) எனில், dz / dy -ன் மதிப்பு
(1) (a – z)2
(2) –(z – a)2
(3) (z + a)2
(4) –(z + a)2

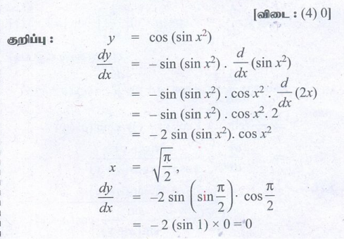
(6) y = cos(sin x2) எனில்,
– ன் மதிப்பு
(1) -2
(2) 2
(3) -2 √π/2
(4) 0

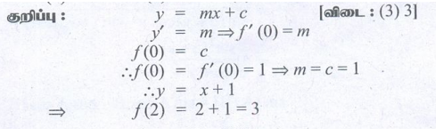
(7) y = mx + c மற்றும் f(0) = f ‘(0) = 1 எனில், f (2) என்பது
(1) 1
(2) 2
(3) 3
(4) -3

(8) f(x) = x tan-1 x எனில், f'(1) என்பது


(9)
என்பது
(1) ex .x4 (x + 5)
(2) ex .x(x + 5)
(3) ex + 5 / x
(4) ex – 5 / x

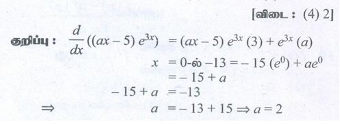
(10) x = 0 -ல், (ax - 5)ex -ன் வகைக்கெழு -13 எனில், 'a’-ன் மதிப்பு
(1) 8
(2) - 2
(3) 5
(4) 2

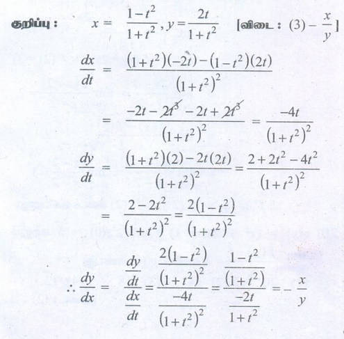
(11)
எனில், dy / dx என்பது


(12) x = a sin θ மற்றும் y = b cos θ எனில், d2y / dx2 என்பது


(13) ) logx 10-ஐ பொறுத்து log10 x -ன் வகைக்கெழு
(1) 1
(2) -(log10 x)2
(3) (logx 10)2
(4) x2 / 100

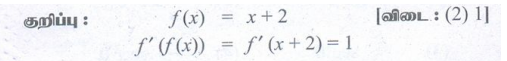
(14) f(x) = x + 2 எனில், x = 4-ல் ƒ'(f (x)) -ன் மதிப்பு
(1) 8
(2) 1
(3) 4
(4) 5

(15)
-ன் மதிப்பு


(16) pv = 81 எனில், v = 9-ல் dp / dv -ன் மதிப்பு
(1) 1
(2) -1
(3) 2
(4) -2

(17)
எனில், x = 2-ல் f(x)-ன் வலப்பக்க வகைக்கெழு
(1) 0
(2) 2
(3) 3
(4) 4

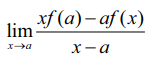
(18) f'(a) உள்ளது எனில்,
என்பது
(1) f(a) - af'(a)
(2) f'(a)
(3) -f'(a)
(4) f(a) + af '(a)

(19)
எனில், f ‘(2) என்பது
(1) 0
(2) 1
(3) 2
(4) கிடைக்கப்பெறாது

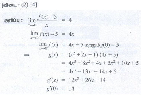
(20) g(x) = (x2 + 2x + 1) ƒ(x), ƒ(0) = 5 மற்றும்
எனில், g’(0) என்பது.
(1) 20
(2) 14
(3) 18
(4) 12

(21)
என்பது.
(1) 1
(2) -1
(3) 0
(4) கிடைக்கப்பெறாது

(22) x = -3-ல் f(x) = x |x|-ன் வகையிடலின் மதிப்பு
(1) 6
(2) -6
(3) கிடைக்கப்பெறாது
(4) 0

(23)
எனில் கீழ்க்காணும் கூற்றுகளில் எது மெய்யானது?
(1) x = a-ல் f(x) வகைமை இல்லை
(2) x = a-ல் f(x) தொடர்ச்சியற்று உள்ளது
(3) ℝ -ல் உள்ள அனைத்து x-க்கும் f(x) தொடர்ச்சியானது
(4) அனைத்து x ≥ a-க்கும் f(x) வகைமையாகிறது

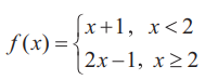
(24)
, x = 1 -ல் வகைமையானது எனில்


(25) f(x) = |x - 1| + |x - 3| + sin x எனும் சார்பு ℝ-ல் வகைமையாகாத புள்ளிகளின் எண்ணிக்கை
(1) 3
(2) 2
(3) 1
(4) 4
