கேள்விகளுக்கான பதில்கள், தீர்வுகள் - பயிற்சி 11.3 : தொடர்ச்சியானப் பரவல்கள் (Continuous Distributions) | 12th Maths : UNIT 11 : Probability Distributions
பயிற்சி 11.3
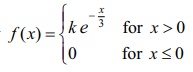
1. சமவாய்ப்பு மாறி X -யின் நிகழ்தகவு அடர்த்தி சார்பு
எனில் k -ன் மதிப்பைக் காண்க.

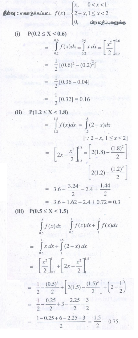
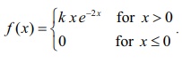
2. சமவாய்ப்பு மாறி X -யின் நிகழ்தகவு அடர்த்தி சார்பு
‘(i) P (0.2 ≤ X < 0.6)
(ii) P(1.2 ≤ X < 1.8)
(iii) P(0.5 ≤ X < 1.5) ஆகியவற்றைக் காண்க

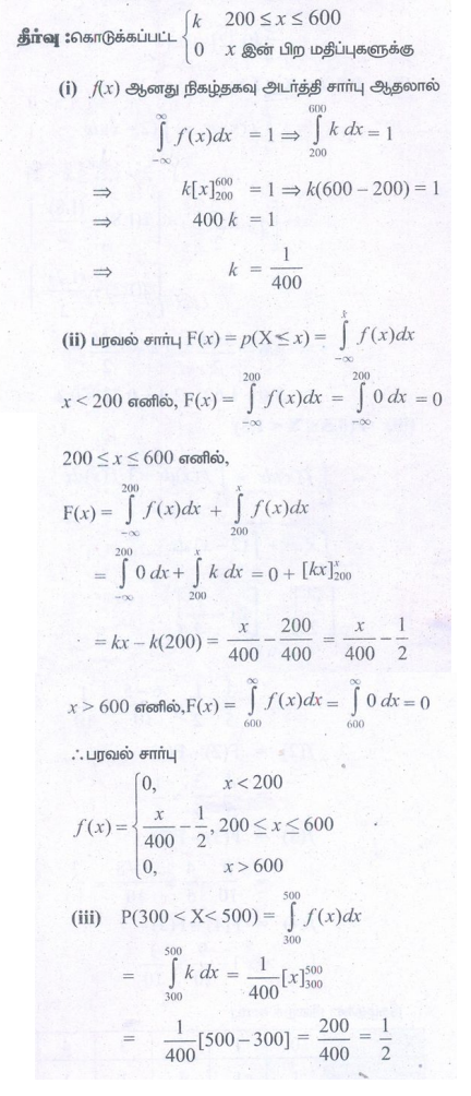
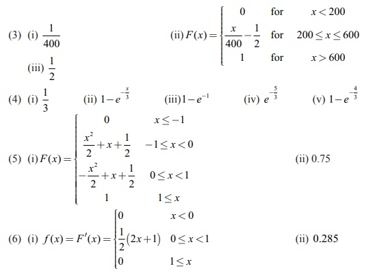
3. ஒரு பால் விற்பனையகத்தில் வினியோகிக்கப்படும் பாலின் அளவு சமவாய்ப்பு மாறி X என்க.குறைந்தபட்சம் 200 லிட்டர்கள் மற்றும் அதிகபட்சம் 600 லிட்டர்களுடன் நிகழ்தகவு அடர்த்தி சார்பு

(i) k மதிப்பு காண்க.
(ii) பரவல் சார்பு காண்க.
(iii) 300 லிட்டர்கள் மற்றும் 500 லிட்டர்களுக்கிடையே தினசரிவிற்பனை இருப்பதற்கானநிகழ்தகவு காண்க?

4. சமவாய்ப்பு மாறி X -யின் நிகழ்தகவு அடர்த்தி
எனில்
(i) k மதிப்பு
(ii) பரவல் சார்பு
(iii) P(X < 3)
(iv) P(5 ≤ X)
(v) P(X ≤ 4) ஆகியவற்றைக் காண்க.
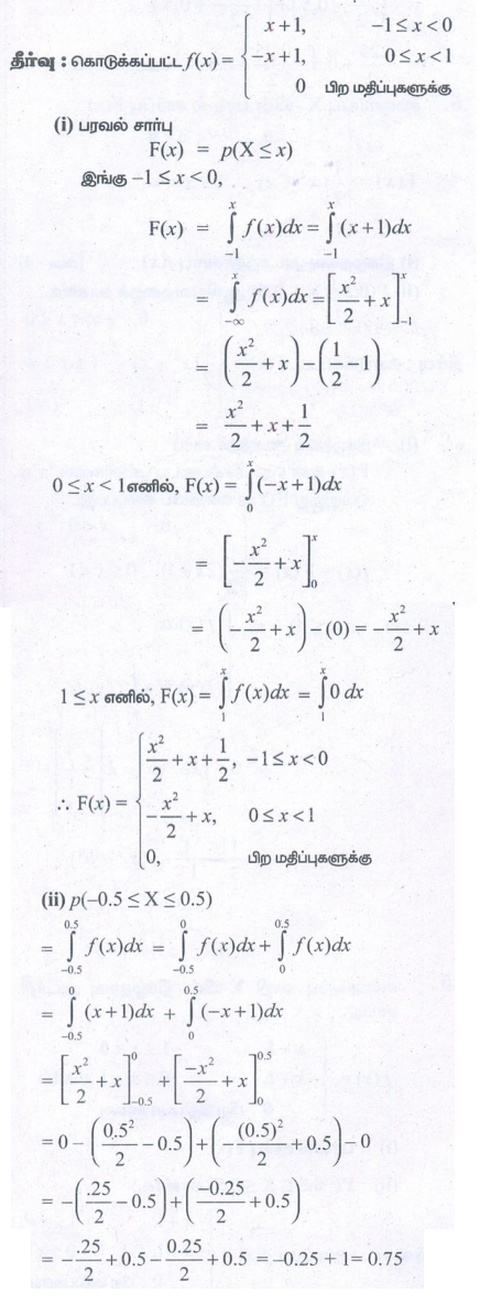
5. சமவாய்ப்பு மாறி X -யின் நிகழ்தகவு அடர்த்தி சார்பு,
(i) பரவல் சார்பு F(x)
(ii) P(-0.5 ≤ X ≤ 0.5) காண்க.

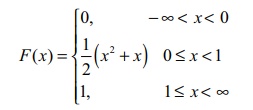
6. சமவாய்ப்பு மாறி X - யின் பரவல் சார்பு F(x)

எனில் (i) நிகழ்தகவு அடர்த்தி சார்பு f (x) (ii) P(0.3 ≤ X ≤ 0.6) ஆகியவற்றைக் காண்க.

(1) 4
(2) (i) 0.16 (ii) 0.3 (iii) 0.75
