Home | 11 ஆம் வகுப்பு | 11வது கணிதம் | பயிற்சி 2.12 : மடக்கை

கணக்கு கேள்வி பதில்கள், தீர்வு | அடிப்படை இயற்கணிதம் | கணிதம் - பயிற்சி 2.12 : மடக்கை | 11th Mathematics : UNIT 2 : Basic Algebra

11வது கணக்கு : அலகு 2 : அடிப்படை இயற்கணிதம்

பயிற்சி 2.12 : மடக்கை

கணக்கு புத்தக பயிற்சிக் கணக்குகள், தீர்வுகள் மற்றும் பதில்கள் - கணிதம் : அடிப்படை இயற்கணிதம் : மடக்கை
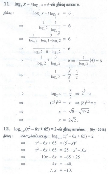
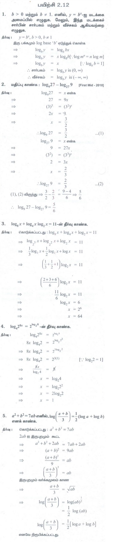
பயிற்சி 2.12



Tags : Problem Questions with Answer, Solution | Basic Algebra | Mathematics கணக்கு கேள்வி பதில்கள், தீர்வு | அடிப்படை இயற்கணிதம் | கணிதம்.
11th Mathematics : UNIT 2 : Basic Algebra : Exercise 2.12: Logarithm Problem Questions with Answer, Solution | Basic Algebra | Mathematics in Tamil : 11th Standard Tamil Medium School Samacheer Book Back Questions and answers, Important Question with Answer. 11வது கணக்கு : அலகு 2 : அடிப்படை இயற்கணிதம் : பயிற்சி 2.12 : மடக்கை - கணக்கு கேள்வி பதில்கள், தீர்வு | அடிப்படை இயற்கணிதம் | கணிதம் : 11 ஆம் வகுப்பு புத்தகம் கேள்விகள் மற்றும் பதில்கள்.
11வது கணக்கு : அலகு 2 : அடிப்படை இயற்கணிதம்