எண்ணியல் கணக்குகள் பதில்கள் மற்றும் தீர்வுகள் | மெய்யெண்கள் | கணக்கு - பயிற்சி 2.7: முறுடுகளை விகிதப்படுத்துதல் (Rationalisation of Surds) | 9th Maths : UNIT 2 : Real Numbers
Posted On : 24.09.2023 09:27 am
9 ஆம் வகுப்பு கணக்கு : அலகு 2 : மெய்யெண்கள்
பயிற்சி 2.7: முறுடுகளை விகிதப்படுத்துதல் (Rationalisation of Surds)
9 ஆம் வகுப்பு கணக்கு : அலகு 2 : மெய்யெண்கள் : 9 ஆம் வகுப்பு கணக்கு : அலகு 2 : மெய்யெண்கள் : பயிற்சி 2.7: முறுடுகளை விகிதப்படுத்துதல் (Rationalisation of Surds)
பயிற்சி 2.7
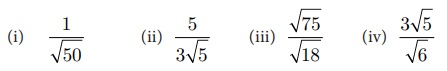
1. பகுதியை விகிதப்படுத்துக.


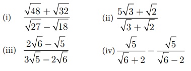
2. பகுதியை விகிதப்படுத்திச் சுருக்குக.



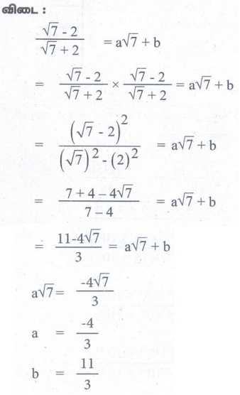
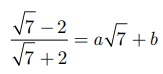
3.
எனில், a மற்றும் b இன் மதிப்புகளைக் காண்க.

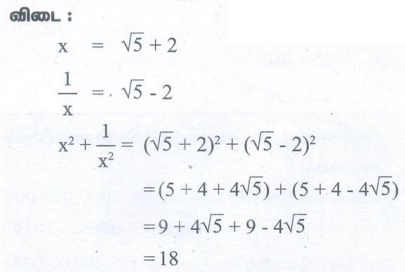
4. x = √5 + 2 எனில், x2 + 1/x2 இன் மதிப்பு காண்க.

5. √2 = 1.414 எனில்,
இன் மதிப்பை 3 தசம இடத் திருத்தமாகக் காணவும்.

Tags : Numerical Problems with Answers, Solution | Real Numbers | Maths எண்ணியல் கணக்குகள் பதில்கள் மற்றும் தீர்வுகள் | மெய்யெண்கள் | கணக்கு.
9th Maths : UNIT 2 : Real Numbers : Exercise 2.7: Rationalisation of Surds Numerical Problems with Answers, Solution | Real Numbers | Maths in Tamil : 9th Standard
Tamil Medium School Samacheer Book Back Questions and answers, Important Question with Answer.
9 ஆம் வகுப்பு கணக்கு : அலகு 2 : மெய்யெண்கள் : பயிற்சி 2.7: முறுடுகளை விகிதப்படுத்துதல் (Rationalisation of Surds) - எண்ணியல் கணக்குகள் பதில்கள் மற்றும் தீர்வுகள் | மெய்யெண்கள் | கணக்கு : 9 ஆம் வகுப்பு
புத்தகம் கேள்விகள் மற்றும் பதில்கள்.