எண்ணியல் கணக்குகள் பதில்கள் மற்றும் தீர்வுகள் | மெய்யெண்கள் | கணக்கு - பயிற்சி 2.8: அறிவியல் குறியீடு (Scientific Notation) | 9th Maths : UNIT 2 : Real Numbers
பயிற்சி 2.8
1. கீழ்க்காணும் எண்களை அறிவியல் குறியீட்டில் எழுதுக.
(i) 569430000000
(ii) 2000.57
(iii) 0.0000006000
(iv) 0.0009000002

2. கீழ்க்காணும் எண்களைத் தசம வடிவில் எழுதுக.
(i) 3.459×106
(ii) 5.678×104
(iii) 1.00005×10−5
(iv) 2.530009×10−7

3. கீழ்க்காண்பவற்றைச் சுருக்கி அறிவியல் குறியீட்டில் எழுதுக.
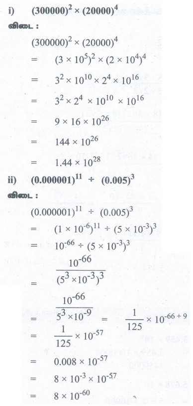
(i) (300000)2 × (20000)4
(ii) (0.000001)11 ÷ (0.005)3
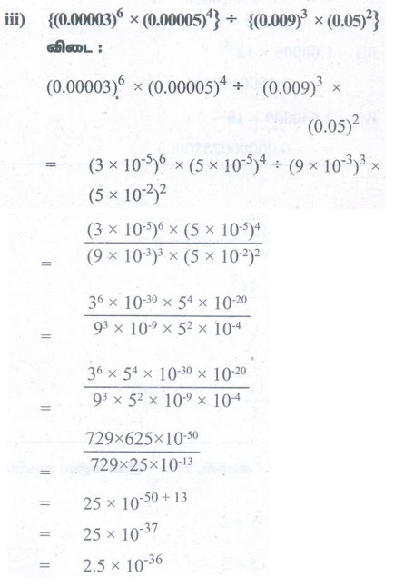
(iii) { (0.00003)6 × (0.00005)4 } ÷ {(0.009)3 × (0.05)2}


4. கீழ்க்காணும் தகவலை அறிவியல் குறியீட்டில் எழுதுக.
(i) உலக மக்கள்தொகை சுமார் 7000,000,000.

(ii) ஓர் ஒளி ஆண்டு என்பது 9,460,528,400,000,000 கி.மீ. தூரத்தைக் குறிக்கிறது.

(iii) ஓர் எலக்ட்ரானின் நிறை
0.000 000 000 000 000 000 000 000 000 000 910 938 22 கி.கி

5. சுருக்குக:
(i) (2.75 × 107) + (1.23 × 108)
(ii) (1.598×1017) – (4.58 ×1015)
(iii) (1.02 × 1010) × (1.20 × 10−3)
(iv) (8.41 × 104) ÷ (4.3 × 105)

செயல்பாடு − 3
கதிரவனிலிருந்து கோள்களுக்கு உள்ள சராசரித் தொலைவு பின்வருமாறு பட்டியலில் கொடுக்கப்பட்டுள்ளது. விடுபட்ட மதிப்புகளை உரிய வடிவில் எழுதுக. மேலும், கோள்களுக்கு உள்ள தொலைவின் அளவுகளைக் கதிரவனுக்கு அருகிலிருந்து வரிசைப்படுத்துக.
