கேள்வி பதில்கள், தீர்வுகள் | வாழ்வியல் கணிதம் | அலகு 4 | 8 ஆம் வகுப்பு கணக்கு - பயிற்சி 4.5 | 8th Maths : Chapter 4 : Life Mathematics
பயிற்சி 4.5
பல்வகைத் திறனறிப் பயிற்சிக் கணக்குகள்
1. ஒரு பழ வியாபாரி வாங்கிய மாம்பழங்களில் 10% அழுகியிருந்தன. மீதமிருந்த மாம்பழங்களில்
ஐ விற்றுவிட்டார். தற்போது அவரிடம் 240 மாம்பழங்கள் இருக்கின்றன எனில், தொடக்கத்தில் அவர் வாங்கிய மொத்த மாம்பழங்களின் எண்ணிக்கையைக் காண்க.


2. ஒரு மாணவர் 31% மதிப்பெண்களைப் பெற்று 12 மதிப்பெண்கள் குறைவாக பெற்றதால் தேர்வில் தேர்ச்சி பெறவில்லை. தேர்ச்சி பெற 35% மதிப்பெண்கள் தேவை எனில், தேர்வின் மொத்த மதிப்பெண்களைக் காண்க.

3. சுல்தானா, ஒரு பொது அங்காடியில் பின்வரும் பொருள்களை வாங்கினார். அவர் செலுத்திய மொத்த இரசீதுத் தொகையைக் கணக்கிடுக.
(i) 5% சரக்கு மற்றும் சேவை வரியுடன் ₹800 மதிப்பிலான மருந்துகள்

(ii) 12% சரக்கு மற்றும் சேவை வரியுடன் ₹650 மதிப்பிலான அழகு சாதனப்பொருள்கள்

(iii) 0% சரக்கு மற்றும் சேவை வரியுடன் ₹900 மதிப்பிலான தானியங்கள்

(iv) 18% சரக்கு மற்றும் சேவை வரியுடன் ₹1750 மதிப்பிலான கருப்புக் கண்ணாடி

(v) 28% சரக்கு மற்றும் சேவை வரியுடன் ₹28500 மதிப்பிலான காற்றுப் பதனி (AC)


4. P இன் வருமானம் Q ஐக் காட்டிலும் 25% அதிகம் எனில், Q இன் வருமானம் P ஐக் காட்டிலும் எத்தனைச் சதவீதம் குறைவு?
5. வைதேகி இரு சேலைகளை தலா ₹2200 இக்கு விற்றாள். ஒன்றின் மீது 10% இலாபத்தையும் மற்றொன்றின் மீது 12% நட்டத்தையும் அடைந்தாள் எனில், சேலைகளை விற்றதில் அவளின் மொத்த இலாபம் அல்லது நட்டம் சதவீதத்தைக் காண்க.


6. 32 ஆண்கள் நாளொன்றுக்கு 12 மணி நேரம் வேலை செய்து ஒரு வேலையை 15 நாள்களில் முடிப்பர் எனில், அந்த வேலையின் இரு மடங்கை எத்தனை ஆண்கள் நாளொன்றுக்கு 10 மணி நேரம் வேலை செய்து 24 நாள்களில் முடிப்பர்?

7. அமுதா, ஒரு சேலையை 18 நாள்களில் நெய்வார். அஞ்சலி, அனிதாவை விட நெய்வதில் இரு மடங்கு திறமைசாலி. இருவரும் இணைந்து நெய்தால், அந்தச் சேலையை எத்தனை நாள்களில் நெய்து முடிப்பர்?

8. P மற்றும் Q ஆகியோர் ஒரு வேலையை முறையே 12 மற்றும் 15 நாள்களில் முடிப்பர். P ஆனவர் அந்த வேலையைத் தனியேத் தொடங்கிய பிறகு, 3 நாள்கள் கழித்து Q ஆனவர் அவருடன் சேர்ந்து வேலையானது முடியும் வரை அவருடன் இருந்தார் எனில், வேலையானது எத்தனை நாள்கள் நீடித்தது?

மேற்சிந்தனைக் கணக்குகள்
9. ஒரு பின்னத்தின் தொகுதியை 50% அதிகரித்தும் பகுதியை 20% குறைத்தால், அந்த பின்னமானது 3/5 ஆக மாறுகிறது எனில், அசல் பின்னத்தைக் காண்க.

10. கோபி, ஒரு மடிக்கணினியை 12% இலாபத்திற்கு விற்றார். மேலும், அதை ₹1200 இக்கு கூடுதலாக விற்றிருந்தால், இலாபம் 20% ஆக இருந்திருக்கும். மடிக்கணினியின் அடக்க விலையைக் காண்க.


11. ₹180 ஐக் குறித்த விலையாகவும், ₹108 ஐ விற்பனை விலையாகவும் கொண்ட ஒரு பொருளுக்கு கடைக்காரர் இரண்டுத் தொடர் தள்ளுபடிகளை அளிக்கிறார். இரண்டாவது தள்ளுபடி 8% எனில், முதல் தள்ளுபடியின் சதவீதத்தைக் காண்க.

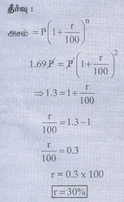
12. ஓர் அசலானது கூட்டுவட்டி முறையில் 2 ஆண்டுகளில் அதைப்போன்று 1.69 மடங்கு ஆகிறது எனில், வட்டி வீதத்தைக் காண்க.

13. ஒரு சிறு தொழில் நிறுவனம், 40 ஆண்களைப் பணியமர்த்தி 150 நாள்களில் 540 விசைப்பொறி இறைப்பிகளைத் (Motor Pumps) தயாரித்து வழங்க ஓர் ஒப்பந்தத்தை எடுத்துக்கொள்கிறது. 75 நாள்களுக்குப் பிறகு, அந்நிறுவனத்தால் 180 விசைப்பொறி இறைப்பிகளை மட்டுமே தயாரிக்க முடிந்தது. வேலையானது ஒப்பந்தத்தின்படி நேரத்திற்கு முடிய வேண்டுமெனில், கூடுதலாக எத்தனை ஆண்களை அந்நிறுவனம் பணியமர்த்த வேண்டும்?

14. P என்பவர் தனியே ஒரு வேலையின்
பகுதியை 6 நாள்களிலும், Q என்பவர் தனியே அதே வேலையின்
பகுதியை 4 நாள்களிலும் முடிப்பர். இருவரும் இணைந்து அந்த வேலையின்
பகுதியை எத்தனை நாள்களில் முடிப்பர்?

15. X என்பவர் தனியே ஒரு வேலையை 6 நாள்களிலும், Y என்பவர் தனியே அதே வேலையை 8 நாள்களிலும் முடிப்பர். X மற்றும் Y ஆகியோர் இந்த வேலையை ₹48000 இக்கு ஒப்புக் கொண்டனர். Z என்பவரின் உதவியுடன் அவர்கள் அந்த வேலையை 3 நாள்களில் முடித்தனர் எனில், தொகையில் Z இன் பங்கு எவ்வளவு?
