பருப்பொருளின் பண்புகள்
சரியான விடையைத் தேர்ந்தெடுத்து எழுதுக
1. x மற்றும் y என்ற இரு கம்பிகளைக் கருதுக. X கம்பியின் ஆரமானது y கம்பியின் ஆரத்தைப்போல 3 மடங்கு உள்ளது. அவை சமமான பளுவால் நீட்டப்பட்டால் y - இன் மீதான தகைவு
a) x - இன் தகைவுக்குச் சமம்
b) x - இன் தகைவைப் போல் 3 மடங்கு
c) x - இன் தகைவைப் போல் 9 மடங்கு
d) x - இன் தகைவில் பாதி
விடை : c) x -ன் தகைவைப் போல் 9 மடங்கு
தீர்வு :
தகைவு = பரப்பு = F/A

σx ∝ 1 / rx2 ;
σy ∝ 1 / ry2
σx / σy = (ry / rx )2 = (ry / 3ry )2
σx / σy = (1/3)2 = 1 / 9
σy = 9 σx
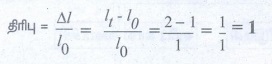
2. ஒரு கம்பியானது அதன் தொடக்க நீளத்தைப் போல இரு மடங்கு நீட்டப்பட்டால் கம்பியில் ஏற்பட்ட திரிபு
a) 1
b) 2
c) 3
d) 4
விடை : a) 1
தீர்வு:
திரிபு = நீளத்தில் ஏற்பட்ட மாறுபாடு / தொடக்க நீளம்

ε = Δl / l
ε = [ lt – lo ] / lo
= (2 – 1) / 1 = 1 / 1 = 1
3. ஒரே பொருளால் ஆன மூன்று கம்பிகளின் பளு நீட்சி வரைபடம் படத்தில் காட்டப் பட்டுள்ளது. கீழ்க்கண்டவற்றுள் தடிமனான கம்பி எது?

a) கம்பி 1
b) கம்பி 2
c) கம்பி 3
d) அனைத்தும் ஒரே தடிமன் கொண்டவை
விடை : a) கம்பி 1
தீர்வு : யங்குணகம் (y) = பளு / நீட்சி
கம்பி 1: நீட்சி குறைவாக உள்ளது
y = Δy / Δx = slope (சரிவு) அதிகம்
ஃ கம்பி 1 - தடிமனாக இருக்கும்.
4. கொடுக்கப்பட்ட ஒரு பொருளுக்கு விறைப்புக் குணமானது யங் குணகத்தில் (1/3) பங்கு உள்ளது. அதன் பாய்ஸன் விகிதம்
a) 0
b) 0.25
c) 0.3
d) 0.5
விடை : d) 0.5
தீர்வு :
விறைப்புக் குணகம் = η
யங் குணகம் = y
பாய்ஸன் தகவு = σ
நமக்கு தெரியும், y = 2 η (1 + σ)
இங்கு, η = y/3

η = 1/3 y
y = 2 η (1 + μ )
y = 2y/3 (1 + μ )
3/2 = 1 + μ
μ = (3/2) – 1 = 1 / 2
μ = 0.5
5. 2cm ஆரமுள்ள ஒரு சிறிய கோளம் பாகியல் தன்மை கொண்ட திரவத்தில் விழுகிறது. பாகியல் விசையால் வெப்பம் உருவாகிறது. கோளம் அதன் முற்றுத் திசைவேகத்தை அடையும் போது வெப்பம் உருவாகும் வீதம் எதற்கு நேர்த்தகவில் அமையும்?
a) 22
b) 23
c) 24
d) 25
விடை : d) 25
தீர்வு :
ஸ்டோக்ஸ் விதியில், பாகியல் விசை F = 6𝜋ηrv ...(1)
இங்கு V = முற்றுத்திசைவேகம்
வெப்பவீதம் = வெப்பம் / காலம் = ஆற்றல் / காலம்
= திறன்
= விசை × திசைவேகம்
வெப்பவீதம் = FxV
ஃ சமன்பாடு (1) யை இருபுறமும் 'V' ஆல் பெருக்க
F.V = 6𝜋ηrv.v
P = 6𝜋ηrv2 .......... (2)
நமக்கு தெரியும், முற்றுத்திசைவேகம்

6. ஒரே பருமனைக் கொண்ட இரு கம்பிகள் ஒரே பொருளால் ஆனது. முதல் மற்றும் இரண்டாம் கம்பிகளின் குறுக்குவெட்டுப் பரப்புகள் முறையே A மற்றும் 2A ஆகும். F என்ற விசை செயல்பட்டு முதல் கம்பியின் நீளம் Δl அதிகரிக்கப்பட்டால் இரண்டாவது கம்பியை அதே அளவு நீட்ட தேவைப்படும் விசை யாது?
a) 2
b) 4
c) 8
d) 16
விடை : b) 4
தீர்வு :

7. வெப்பநிலை உயரும் போது திரவம் மற்றும் வாயுவின் பாகுநிலை முறையே
a) அதிகரிக்கும் மற்றும் அதிகரிக்கும்
b) அதிகரிக்கும் மற்றும் குறையும்
c) குறையும் மற்றும் அதிகரிக்கும்
d) குறையும் மற்றும் குறையும்
விடை : c) குறையும் மற்றும் அதிகரிக்கும்
8. ஒரு முழு திண்மப் பொருளின் யங்குணகம்
a) o
b) 1
c) 0.5
d) முடிவிலி
விடை: d) முடிவிலி
தீர்வு : யங்குணகம்=
நீட்சித் தகைவு / நீட்சித் தகைவு = நீட்சித் திரிபு / 0 = ∝
9. கீழ்க்கண்டவற்றுள் எது ஸ்கேலர் அல்ல?
a) பாகுநிலை
b) பரப்பு இழுவிசை
c) அழுத்தம்
d) தகைவு
விடை: d) தகைவு
10. கம்பியின் வெப்பநிலை உயர்த்தப்பட்டால், அதன்யங்குணகம்
a) மாறாது
b) குறையும்
c) அதிக அளவு உயரும்
d) மிகக்குறைவான அளவு உயரும்
விடை : b) குறையும்
யங்கணகம் = நீட்சித் தகைவு / நீட்சித் திரிபு
ஃ வெப்பநிலை α திரிபு
ஃ யங்குணகம் குறையும்
11. மாறா பருமன் V கொண்ட தாமிரம் l நீளமுள்ள கம்பியாக நீட்டப்படுகிறது. இந்த கம்பி F என்ற மாறா விசைக்கு உட்படுத்தப்பட்டால் உருவான நீட்சி Δl . Yஆனது யங்குணகத்தைக் குறித்தால் பின்வரும் வரைபடங்களில் எது நேர் கோடாகும்?
a) Δ l எதிராக V
b) Δ l எதிராக Y
c) Δ l எதிராக F
d) Δ l எதிராக 1/ l
விடை : c) Δ l எதிராக F
ஹீக் விதியின் படி,
செயல்படும் விசை (F) அதிகரிக்கும் போது கம்பியின் நீட்சித்தன்மை அதிகரிக்கும் (Δ l)
Y = (Fl ) / (A. Δl) = Fl / V
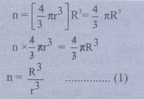
12. ஒரு திரவத்தின் R ஆரமுள்ள குறிப்பிட்ட எண்ணிக்கையிலான கோளகத்துளிகள் ஒன்று சேர்ந்து R ஆரமும் V பருமனம் கொண்ட ஒரே திரவத்துளியாக மாறுகிறது. திரவத்தின் பரப்பு இழுவிசை T எனில்
a) ஆற்றல் = 4 VT (1/R -1/R ) வெளிப்பட்டது
b) ஆற்றல் = 3 VT (1/r + 1/R) உட்கவரப்பட்டது
c) ஆற்றல் = 3 VT (1/r - 1/R) வெளிப்பட்டது
d) ஆற்றல் வெளிப்படவும் இல்லை உட்கவரப் படவும் இல்லை.
விடை : c) ஆற்றல் = 3VT (1/r - 1/R வெளிப்பட்டது
'r' என்ற ஆரம் கொண்ட நீர்த்திவளைகள் ஒன்றாக சேரும் போது 'R' என்ற ஆரம் கொண்ட பெரிய நீர்த்தொகுப்பாக மாறும்
'n' நீர்த்திவளைகளின் கொள்ளளவு = பெரிய நீர்த்தொகுப்பின் கொள்ளளவு

பெரிய நீர்த்தொகுப்பின் கொள்ளளவு
v = 4/3 𝜋R3.......... (2)
'n' நீர்த்திவளைகளின் ஆரம்ப மேற்பரப்பு

13. கீழ்க்கண்ட நான்கு. கம்பிகளும் ஒரே பொருளால் ஆனவை. ஒரே இழுவிசை செலுத்தப்பட்டால் இவற்றுள் எது அதிக நீட்சியைப் பெறும்?
a) நீளம் = 200 cm, விட்டம் = 0.5 mm
b) நீளம் = 200cm, விட்டம் = 1 mm
c) நீளம் = 200 cm, விட்டம் = 2 mm
d) நீளம் = 200 cm, விட்டம் = 3 mm
விடை : a) நீளம் = 200 cm, விட்டம் = 0.5mm
யங்குணகம்

= 4 × 104 cm-1
b, c, d அதிக விட்டம் கொண்டதால் குறைவான நீட்சி மட்டுமே அடையும்.
Δl = Fl / AY = Fl / πr2Y
Δl ∝ l / r2 ,
Δl ∝ l / d2
14. ஒரு பரப்பை ஒரு திரவத்தால் ஈரமாக்கும் அளவு முதன்மையாக சார்ந்துள்ளது.
a) பாகுநிலை
b) பரப்பு இழுவிசை
c) அடர்த்தி
d) பரப்புக்கும் திரவத்திற்கும் இடையே உள்ள சேர்கோணம்
விடை : d) பரப்புக்கும் திரவத்திற்கும் இடையே உள்ள சேர் கோணம்
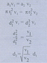
15. மாறுபட்ட குறுக்கு வெட்டுப்பரப்பு கொண்ட ஒரு கிடைமட்டக்குழாயில், நீரானது 20cm குழாயின் விட்டமுள்ள ஒரு புள்ளியில் 1 ms-1 திசைவேகத்தில் செல்கிறது. 1.5 ms-1 திசைவேகத்தில் செல்லும் புள்ளியில் குழாயின் விட்டமானது
a) 8
b) 16
c) 24
d) 32
விடை : b) 16
