நிகழ்தகவு பரவல்கள் | கணிதவியல் - கணித எதிர்பார்ப்பு மற்றும் பரவற்படியின் பண்புகள் (Properties of Mathematical expectation and variance) | 12th Maths : UNIT 11 : Probability Distributions
கணித எதிர்பார்ப்பு மற்றும் பரவற்படியின் பண்புகள் (Properties of Mathematical expectation and variance)
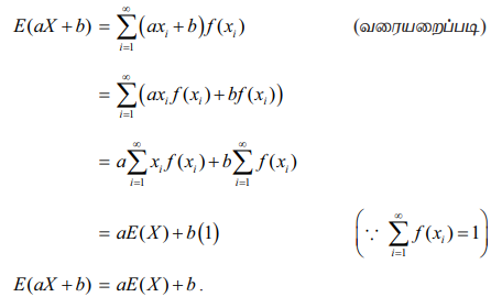
(i) E(aX + b) = aE(X)+ b , இங்கு a மற்றும் b ஆகியன மாறிலிகள்.
நிரூபணம்
X ஒரு தனிநிலை சமவாய்ப்பு மாறி எனில்,

இதேபோன்று, X ஒரு தொடர்ச்சியான சமவாய்ப்பு மாறி எனில், கூட்டலை தொகையிடலாக மாற்றி நிரூபிக்கலாம்.

நிரூபணம்
E(x) = μ என அறிவோம்.
Var ( X ) = E (X – μ)2
= E (X2 – 2Xμ + μ2)
= E (X2) – 2μE(X) + μ2
(μ என்பது ஒரு மாறிலி)
= E (X2) – 2μμ + μ2 = E(X2) – μ2
Var ( X ) = E (X2) – (E (X))2
சமவாய்ப்பு மாறி X -இன் பரவற்படியைக் கணக்கிட ஒரு மாற்று வழி
σ2 = Var ( X ) = E( X2) – (E( X ))2
(iii) Var(ax + b) = a2 Var(X) இங்குa மற்றும் b ஆகியவை மாறிலிகள்.
நிரூபணம்
Var ( aX + b) = E (( aX + b) – E ( aX + b))2
= E ( aX + b – aE( X ) – b))2
= E (aX – aE ( X )) 2
= E ( a ( X −E( X )))2
= a2 E (X – E( X ))2 .
எனவே Var ( aX + b) = a2Var ( X )

பரவற்படி என்பது சமவாய்ப்பு மாறியின் மதிப்புகளின் சராசரி μ-ஐப் பொறுத்து விலகல் பற்றிய தகவல்களைத் தருகிறது. σ2 சிறியதாக இருந்தால் சமவாய்ப்பு மாறிகள் சராசரியைப் பொறுத்து அதிகமாகத் திரண்டு குவிந்ததாக அமையும். σ2 பெரியதாக இருந்தால் சமவாய்ப்பு மாறியின் மதிப்புகள் சராசரியிலிருந்து மிகவும் விலகியிருக்கும் என்பது பொருளாகும்.

ஓரே சராசரியும் ஆனால் வெவ்வேறு பரவற்படி கொண்ட இரு தொடர்ச்சியான சமவாய்ப்பு மாறிகளின் pdf-களை மேற்கண்ட படம் காண்பிக்கிறது. அவற்றின் வளைவரைகள் மணி வடிவில் உள்ளது.
எடுத்துக்காட்டு 11.16
கீழ்க்காணும் சார்பு ஒரு நிகழ்தகவு நிறை சார்பினைக் குறிக்கிறது என்க.

(i) c-ன் மதிப்பு
(ii) சராசரி மற்றும் பரவற்படி காண்க.
தீர்வு
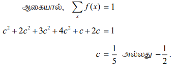
(i) f (x) ஒரு நிகழ்தகவு நிறை சார்பு என்பதால், அனைத்து x-க்கும், f (x) ≥ 0 மற்றும் ∑xf (x) = 1
ஆகையால்,

அனைத்து x -க்கும், f (x) ≥ 0 என்பதால், C -இன் சாத்தியமான மதிப்பு 1/5 ஆகும்.
எனவே, நிகழ்தகவு நிறை சார்பானது

(ii) சராசரி மற்றும் பரவற்படி காண கீழ்க்காணும் அட்டவணையைப் பயன்படுத்துவோம்.

எனவே சராசரி மற்றும் பரவற்படி முறையே 4.6 மற்றும் 2.24 ஆகும்.
எடுத்துக்காட்டு 11.17
8 வெள்ளை மற்றும் 4 கருப்பு பந்துகள் கொண்ட ஒரு கூடையிலிருந்து இரு பந்துகள் சமவாய்ப்பு முறையில் தேர்ந்தெடுக்கப்படுகின்றன. தேர்ந்தெடுக்கப்படும் ஒவ்வொரு கருப்பு பந்துக்கும் 20 வெல்லும் தொகையாகவும் தேர்ந்தெடுக்கப்படும் ஒவ்வொரு வெள்ளை பந்துக்கும் ₹.10 தோற்கும் தொகையாகவும் கருதுக. எதிர்பார்க்கப்படும் வெல்லும் தொகை மற்றும் பரவற்படி காண்க.
தீர்வு
X என்பது வெல்லும் தொகை என்க. சாத்தியமான தேர்வுகளாவன (i) இரு பந்துகளுமே கருப்பு, அல்லது (ii) ஒரு வெள்ளை மற்றும் ஒரு கருப்பு (iii) இரண்டுமே வெள்ளை . எனவே X எனும் சமவாய்ப்பு மாறி கீழ்க்காணுமாறு வரையறுக்கப்படுகிறது.
X (இரண்டுமே கருப்பு பந்துகள்) = ₹2(20) = ₹ 40
X (ஒரு கருப்பு பந்து மற்றும் ஒரு வெள்ளைப் பந்து) = ₹ 20 - ₹ 10 = ₹10
X (இரண்டுமே வெள்ளைப் பந்துகள்) = ₹ (-20) = -20
எனவே X கொள்ளும் மதிப்புகள் 40,10 மற்றும் -20 ஆகும்.
மொத்த பந்துகள் n = 12

எடுத்துக்காட்டு 11.18

எனும் நிகழ்தகவு அடர்த்தி சார்பு உள்ள ஒரு சமவாய்ப்பு மாறி X - க்கு சராசரி மற்றும் பரவற்படி காண்க.
தீர்வு
கொடுக்கப்பட்டுள்ள பரவல் தொடர்ச்சியானது என்பதை கவனிக்கவும்.
