வெப்ப இயக்கவியல் - குளிர்சாதனப்பெட்டி | 11th Physics : UNIT 8 : Heat and Thermodynamics
குளிர்சாதனப்பெட்டி (REFRIGERATOR)
எதிர்திசையில் செயல்படும் ஒரு கார்னோ இயந்திரமே குளிர்சாதனப் பெட்டியாகும். இது படம் 8.49 இல் காட்டப்பட்டுள்ளது.

செயல்படுபொருள் TL என்ற குறைந்த வெப்பநிலையிலுள்ள குளிர் பொருளிலிருந்து (வெப்ப ஏற்பி) Q1 அளவு வெப்பத்தை பெற்றுக் கொள்கிறது. அமுக்கியினால் (Compressor)செயல்படு பொருளின் மீது W என்ற குறிப்பிட்ட அளவு வேலை செய்யப்பட்டு, Q1 அளவுவெப்பத்தைவெப்பமூலத்திற்கு செயல்படு பொருள் வெளியேற்றுகிறது. அதாவது T! வெப்பநிலையிலுள்ள சூழலுக்கு வெளியேற்றுகிறது. இதை குளிர்சாதனப்பெட்டிக்கு பக்கத்தில் நிற்கும்போது வெதுவெதுப்பான காற்றை உணரலாம். வெப்ப இயக்கவியலின் முதல் விதியிலிருந்து

முடிவாக குளிர்சாதனப்பெட்டி மேலும் குளிர்ச்சி அடைகிறது. சூழல் (சமையலறை) அல்லது (வளிமண்டலம்) வெப்பமடைகிறது.
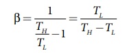
குளிர்சாதனப் பெட்டியின் செயல்திறனை அளவிடுவது செயல்திறன் குணகமாகும் (COP). குளிர்பொருளிலிருந்து பெறப்பட்ட வெப்பத்திற்கு (வெப்ப ஏற்பி) அமுக்கியினால் செய்யப்பட்ட புற வேலைக்கும் (W) உள்ள தகவு செயல்திறன் குணகம் என்று வரையறுக்கப்படுகிறது.

சமன்பாடு (8.68) இல் இருந்து

இச்சமன்பாட்டினை (8.70) இல் பிரதியிடும் போது பின்வரும் சமன்பாட்டினைப் பெறலாம்.

குளிர்சாதனப் பெட்டியின் செயல்திறன் குணகத்திலிருந்து பின்வருவனவற்றை நாம் அனுமானிக்கலாம்.
1. COP அதிகமாக இருந்தால் குளிர்சாதனப்பெட்டி சிறப்பாக இயங்கும். ஒரு நல்ல குளிர்சாதனப்பெட்டியின் (COP) கிட்டத்தட்ட 5 முதல் 6 வரை இருக்கும்.
2. குளிர்சாதனப் பெட்டியின் குளிரூட்டும் பகுதியின் (Cooling camber) வெப்பநிலைக்கும், சூழலின் (அறையின்) வெப்பநிலைக்கும் உள்ள வேறுபாடு குறைவாக இருந்தால், குளிர்சாதனப்பெட்டியின் COP அதிகமாக இருக்கும்.
3. குளிர்சாதனப்பெட்டியில் புறவேலை செய்யப்பட்டு, குளிர்ச்சியான பொருளிலிருந்து வெப்பம் எடுக்கப்பட்டு வெப்பமான பொருளுக்குக் கொடுக்கப்படுகிறது. புற வேலை இல்லாமல் வெப்ப ஆற்றல் குளிர்ச்சியான பொருளிலிருந்து வெப்பமான பொருளுக்குப் பாயாது. இது வெப்ப இயக்கவியலின் இரண்டாம் விதிக்கு எதிரானது அல்ல. ஏனெனில் வெப்பம் சுற்றுப்புறத்திலுள்ள காற்றுக்குக் கொடுக்கப்படுகிறது. மேலும் மொத்த என்ட்ரோபி (குளிர்சாதனப்பெட்டி + சூழல்) எப்போதும் உயரும்.
எடுத்துக்காட்டு 8.27
குளிர்சாதனப்பெட்டி ஒன்றின் COPயானது 3 ஆகும். 200 J வெப்பத்தை குளிர்சாதனப்பெட்டியிலிருந்து வெளியேற்ற வேண்டுமெனில் எவ்வளவு வேலை செய்யப்பட வேண்டும்?
தீர்வு

உங்களுக்குத் தெரியுமா?
கோடைகாலத்தில் நாம் மண்பானைத் தண்ணீரை குடிக்கப்பயன் படுத்துகிறோம். மண்பானையானது அதனுள்ளே ஊற்றப்பட்ட தண்ணீரின் வெப்பநிலையை குறைக்கிறது. மண்பானையை குளிர்சாதனப்பெட்டியாகக் (Refrigerator) கருதலாமா? கருத முடியாது. ஏனென்றால் வெப்ப எந்திரத்திற்கோ அல்லது குளிர்சாதனப்பெட்டிக்கோ சுழற்சி நிகழ்வு (cyclic process) மிக முக்கிய தேவை ஆகும். மண்பானையில் நடக்கும் குளிர்விக்கும் நிகழ்வானது ஒரு சுழற்சி நிகழ்வல்ல. மண்பானை சுவற்றில் உள்ள நுண்ணிய துளைகளிலிருந்து நீர் மூலக்கூறுகள் வெளியேறுவதால் உள்ளிருக்கும் நீரானது குளிர்விக்கப்படுகிறது. நீர் மூலக்கூறுகள் துளை வழியாக சுற்றுப்புற சூழலுக்கு வெளியேறிய பின் திரும்பவும் மண்பானைக்குள் வருவதில்லை. மண்பானையில் வெப்பமானது குளிர்ந்த நீரிலிருந்து, வெளிப்புற வளிமண்டலத்துக்கு கடத்தப்பட்டாலும், இது வெப்ப இயக்கவியலின் இரண்டாம் விதிக்கு முரணாக இல்லை. ஏனெனில் மண்பானைக்குள் இருக்கும் (தண்ணீர் + வெளிப்புற வளிமண்டலம்) சேர்ந்த ஒரு வெப்ப இயக்கவியல் அமைப்பாகக் கருதினால் இதன் என்ட்ரோபி எப்போதும் அதிகரிக்கிறது.

பசுமை இல்ல விளைவு (Green house effect)
புவியில் மனிதன் உயிர்
வாழ்வதற்கு, புவியைச் சூழ்ந்துள்ள வளிமண்டலத்தின் பங்கு அளப்பறியது.வளிமண்டலத்தின்
மேற்பகுதியின் வெப்பநிலை -19°C அதன் அடிப்பகுதியின்
வெப்பநிலை +14°C. வளிமண்டலத்தின் மேற்பரப்பிலிருந்து
அடிப்பரப்புக்கு வரும்போது வெப்பநிலை 33°C அளவுக்கு உயருகின்றது.
இதற்குக் காரணம் வளிமண்டலத்திலுள்ள சில வாயுக்களாகும். இவ்வாயுக்களுக்கு பசுமை
இல்ல வாயுக்கள் என்று பெயர், இவ்விளைவிற்கு பசுமை இல்ல
விளைவு என்று பெயர்.
பசுமை இல்ல வாயுக்களில்
முதன்மையானவை CO2,
நீர்ம மூலக்கூறு, Ne, He, NO2, CH4,
Xe, Kr, ஓசோன் மற்றும் NH2. போன்றவையாகும்.
CO2, மற்றும் நீர்ம மூலக்கூறினைத் தவிர்த்து
மற்ற மூலக்கூறுகள் சொற்ப அளவிலேயே வளிமண்டலத்தில் உள்ளன. சூரியனில் இருந்து வரும்
நிறமாலையில் சூரியக்கதிர்வீச்சு கண்ணுரு பகுதியில் (visibleregion) இருக்கிறது. இக்கதிர்வீச்சுகளை புவி உட்கவர்ந்து மீண்டும் அகச்சிவப்பு
கதிர்களாக வெளியிடுகிறது. CO2 மற்றும். நீர்ம
மூலக்கூறுகுள் அகச்சிவப்புக் கதிர்களை நன்கு உட்கவரும். ஏனெனில் அவை நைட்ரஜன்
மற்றும் ஆக்ஸிஜனுடன் ஒப்பிடும்போது அதிக அதிர்வுறு சுதந்திர இயக்கக்கூறுகளைப்
பெற்றுள்ளன (அலகு 9 இல் படிப்பீர்கள்) அவை அகச்சிவப்புக்
கதிர்களை உட்கவர்வதால் தான் வளிமண்டலம் வெது வெதுப்பாக உள்ளது. இந்நிகழ்வு
படத்தில் காட்டப்பட்டுள்து.
1900 இல்
இருந்து மனிதனின் செயல்பாடுகளால் வளிமண்டலத்திலுள்ள CO2 வின் அளவு 20% முதல் 40% வரை அதிகரித்துள்ளது. CO2 உருவாவதற்கான
முதன்மையான மூலம் புதைபடிம எரிபொருள்களை எரிப்பதாகும். உலகம் முழுவதும் தானியங்கி
இயந்திரங்களின் பயன்பாடு அதிகரித்திருப்பதே இதற்குக் காரணமாகும். வளிமண்டலத்தில்
இந்த CO2 வின் அளவு அதிகரித்திருப்பதால்,
புவியின் சராசரி வெப்பம் 1°C உயர்ந்துள்ளது.
இதற்கு உலகவெப்பமயமாதல்(Global warming) என்று பெயர்.
ஆர்ட்டிக் மற்றும் அண்டார்டிக் பகுதிகளில் உள்ள பனிப்பாறைகள் உருகுவதற்கு இந்த உலக
வெப்பமயமாதலே காரணமாகும். மேலும் CO2 வின்
அளவு கடலிலும் அதிகரித்துள்ளது. இது கடல்வாழ் உயிரினங்களுக்கு மிகவும்
ஆபத்தானதாகும்.
CO2 உடன் சேர்த்து மற்றொரு மிக முக்கியமான பசுமை இல்ல வாயு குளோரோ புளோரோ
கார்பனாகும் (CFC) இது குளிர்சாதனப்பெட்டிகளில்
குளிர்விப்பானாக உலகம் முழுவதும் பயன்படுத்தப்படுகிறது. மனிதன் உருவாக்கும் பசுமை
இல்ல வாயுக்கள் 55 சதவீதம் CO2, 24 சதவீதம் CFC வாயுக்கள், 6 சதவீதம் நைட்ரஜன் ஆக்ஸைடு மற்றும் 15 சதவீதம்
மீத்தேன் ஆகும். CFC வாயுக்கள் ஓசோன் படலத்தில் அதிக
பாதிப்புகளை ஏற்படுத்துகின்றன.
CO2, மற்றும் CFC வாயுக்களின் அளவைக்
கட்டுப்படுத்துவதற்கான முயற்சிகளில் உலகிலுள்ள பல்வேறு நாடுகள் ஈடுபட்டுள்ளன.
புதைபடிம எரிபொருள்களுக்கு மாற்றாக புதைபடிமமற்ற எரிபொருள்களை தானியங்கி
எந்திரங்களில் பயன்படுத்துவதற்கான ஆராய்ச்சிகள் தொடர்ந்து நடைபெற்று வருகின்றன.
வளர்ச்சியடைந்த நாடுகளான USA மற்றும் ஐரோப்பிய யூனியன்
நாடுகள் பெருமளவு CO2 ஐ வெளியிடுகின்றன.
2020 க்குள்
CO2, உமிழ்வை பெருமளவு குறைப்பதற்காக உலக
நாடுகளுக்கிடையே பல்வேறு ஒப்பந்தங்கள் போடப்பட்டுள்ளன. இருப்பினும் உலக
வெப்பமயமாதல் ஒரு தீங்கு விளைவிக்கும் நிகழ்வு என பெரும்பாலான நாடுகள் உணரவில்லை.
