முற்றுத்திசைவேகம் (Terminal Velocity)
முற்றுத்திசைவேகத்தைப் புரிந்து கொள்ள, ஒரு அதிக பாகுநிலை கொண்ட நீண்ட பாய்மத்தம்பத்தில் ஒரு சிறிய உலோகக் கோளம் ஓய்வு நிலையிலிருந்து தானே விழுவதாகக் கருதுக. கோளத்தின் மீது (i) செங்குத்தாக கீழ்நோக்கி செயல்படும் கோளத்தின் மீதான புவியீர்ப்பு விசை (ii) மிதக்கும் தன்மை காரணமாக மேல்நோக்கிய உந்து விசை U மற்றும் (iii) மேல்நோக்கி செயல்படும் பாகியல் விசை (பாகியல் விசை எப்போதும் கோளத்தின் இயக்கத்திற்கு எதிர்திசையில் செயல்படும்) ஆகிய விசைகள் செயல்படுகின்றன.
தொடக்கத்தில் மேல்நோக்கிய விசையானது, கீழ்நோக்கிய விசையை விட குறைவாக உள்ளதால் கோளம் கீழ்நோக்கிய திசையில் முடுக்கமடைகிறது. கோளத்தின் திசைவேகம் அதிகரித்தால் பாகியல் விசையும் அதிகரிக்கிறது. ஒரு கட்டத்தில் கீழ்நோக்கிய நிகர விசை மேல்நோக்கிய விசையை சமன்படுத்துவதால் கோளத்தின் மீதான தொகுபயன் விசை சுழியாகிறது. கோளம் தற்போது மாறா திசைவேகத்துடன் இயங்குகிறது.
ஒரு பாகுநிலை ஊடகத்தின் வழியே தானே விழும் ஒரு பொருளானது அடையும் பெரும் மாறா திசைவேகம் முற்றுத்திசைவேகம் (vt) எனப்படும். படம் 7.18 இல் திசைவேகத்தை Y- அச்சிலும், காலத்தை X அச்சிலும் கொண்டு ஒரு வரைப்படம் வரையப்பட்டுள்ளது.
கோளகமானது தொடக்கத்தில் முடுக்கமடைகிறது மற்றும் சிறிது நேரத்தில் அது மாறா மதிப்புள்ள முற்றுத்திசைவேகம் (vt) அடைகிறது என வரைபடத்திலிருந்து தெளிவாகிறது.

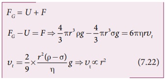
η பாகியல் எண் கொண்ட அதிக பாகுநிலையுள்ள திரவத்தின் வழியே ஆரமுள்ள r கோளம் ஒன்று விழுவதாகக் கருதுக. கோளப்பொருளின் அடர்த்தி ρ எனவும் பாய்மத்தின் அடர்த்தி σ எனவும் கொள்க.

கோளத்தின் மீது செயல்படும் புவியீர்ப்பு விசை

vt முற்றுத்திசைவேகத்தில் பாகியல் விசை

தற்போது, கீழ்நோக்கிய நிகர விசை மேல்நோக்கிய விசைக்கு சமமாகும்.

இங்கு கவனிக்க வேண்டியது, கோளத்தின் முற்றுத் திசைவேகம் அதன் ஆரத்தின் இருமடிக்கு நேர்த்தகவில் உள்ளது.
ρ ஐ விட σ அதிகமெனில், (ρ - σ) ஆனது எதிர்க்குறி மதிப்பபைப் பெறுவதால் முற்றுத்திசைவேகம் எதிர்க்குறியாகிறது. அதனால் தான் நீர் அல்லது எந்த திரவத்தின் வழியாகவும் காற்றுக்குமிழிகள் மேல்நோக்கி எழுகிறது. வானத்தில் மேகங்கள் மேல் நோக்கிய திசையில் நகருவதற்கும் இதுவே காரணமாகும்.