திட, திரவ மற்றும் வாயுக்களின் வெப்ப விரிவு
வெப்பநிலை மாற்றத்தினால் பொருள்களின் வடிவம், பரப்பு மற்றும் பருமனில் ஏற்படும் மாற்றமே வெப்ப விரிவு எனப்படும்.
பொருள்களின் மூன்று நிலைகளும் (திட, திரவ மற்றும் வாயு) வெப்பப்படுத்தும் போது விரிவடையும். திடப்பொருளொன்றை வெப்பப்படுத்தும்போது அதன் அணுக்கள் அவற்றின் சமநிலைப் புள்ளியைப் பொருத்து வேகமாக அதிர்வடைகின்றன. மற்ற பொருள்களுடன் ஒப்பிடும் போது திடப்பொருள்களின் அளவில் ஏற்படும் மாற்றம் குறைவானதாகும். இரயில் வண்டிகளின் இருப்புப்பாதைகளில் சில இடங்களில் சிறிய இடைவெளி விடப்பட்டிருக்கும். ஏனெனில் கோடை காலங்களில் இருப்புப்பாதை விரிவடையும். அவ்வாறு வெப்பநிலை மாற்றங்களின் போது எளிதாக விரிவடையவும், சுருங்கவும் ஏற்ற வகையில் பாலங்களிலும், இருப்புப்பாதைகளிலும் விரிவடையும் இணைப்புகள் படம் (8.3) இல் உள்ளவாறு காணப்படும்.

திரவங்களின் மூலக்கூறிடை விசை, திடப்பொருள்களின் மூலக்கூறிடை விசையை விடக் குறைவாக இருக்கும். எனவே அவை திடப்பொருள்களைவிட அதிகமாக விரிவடையும். இந்தப் பண்பின் அடிப்படையில்தான் பாதரச் வெப்பநிலைமானி செயல்படுகிறது.
வாயு மூலக்கூறுகளைப் பொருத்தவரை அவற்றின் மூலக்கூறிடைவிசை கிட்டத்தட்ட புறக்கணிக்கும் அளவிலேயே இருக்கும். எனவே அவை திடப்பொருள்களைவிட மிக அதிகமாக விரிவடையும். எடுத்துக்காட்டாக சூடான காற்று அடைக்கப்பட்டுள்ள பலூன்களில் உள்ள காற்று மூலக்கூறுகளை வெப்பப்படுத்தும்போது அவை விரிவடைந்து அதிக இடத்தை அடைத்துக்கொள்ளும். வெப்பநிலை உயர்வால் பொருள்களின் பரிமாணத்தில் ஏற்படும் அதிகரிப்பே வெப்பவிரிவு எனப்படும்.
நீளத்தில் ஏற்படும் விரிவு நீள் விரிவு (linear expansion) என அழைக்கப்படும். இதேபோன்று பரப்பில் ஏற்படும் விரிவு பரப்பு விரிவு (Area expansion) எனவும், பருமனில் ஏற்படும் விரிவு பரும் விரிவு (Volume expansion) எனவும் அழைக்கப்படும். படம் 8.4 ல் இவ்விரிவுகள் காட்டப்பட்டுள்ளது.

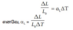
நீள் விரிவு
திடப்பொருள்களில், ΔT என்ற சிறு வெப்பநிலை மாற்றத்தால் நீளத்தில் ஏற்படும் சிறு மாற்றம் (∆L/L0), யானது ΔT க்கு நேர்விகிதத்தில் இருக்கும்.

இங்கு, αL = நீள் விரிவுக்குணகம்.
(∆L = நீளத்தில் ஏற்படும் மாற்றம்
L0 = தொடக்க நீளம்
ΔT = வெப்பநிலையில் ஏற்பட்ட மாற்றம்.
எடுத்துக்காட்டு 8.6
பிரான்ஸ் நாட்டிலுள்ள இரும்பால் செய்யப்பட்ட ஈபிள் கோபுரத்தின் உயரம் கிட்டத்தட்ட 300 m ஆகும். பிரான்ஸ் நாட்டின் குளிர்காலத்தின் வெப்பநிலை 2°C மற்றும் கோடைக்காலத்தின் சராசரி வெப்பநிலை 25°C. இவ்விரண்டு பருவ நிலைகளுக்கிடையே ஈபிள் கோபுரத்தின் உயரத்தில் ஏற்படும் மாற்றத்தைக் கணக்கிடுக. இரும்பின் நீள் விரிவுக் குணகம் α = 10 ×10−6 per °C
தீர்வு:

ΔL = 10 × 10−6 × 300 × 23 = 0.69 m=69 cm
உங்களுக்குத் தெரியுமா?
• இறுக்கமாக மூடப்பட்டுள்ள கண்ணாடிக்குவளையின் மூடியைஎளிதாகத்திறக்க,அதனை சூடான தண்ணீரில் அருகே சிறிது நேரம் வைத்திருக்க வேண்டும், பின்னர் தெரியுமா? அதனை எளிதாகத் திறக்கலாம். ஏனெனில் கண்ணாடிக் குவளையின் மூடியின் வெப்ப விரிவு கண்ணாடியைவிட அதிகமாக இருப்பதாகும்.
• வேகவைக்கப்பட்ட சூடான முட்டையை குளிர்ந்த தண்ணீரில் போட்டு அதன் ஓட்டினை உரித்தால் அது முட்டையிலிருந்து எளிதாக பிரிந்து வரும். ஏனெனில் முட்டை மற்றும் ஓடு ஒவ்வொன்றும் வெவ்வேறு வெப்பவிரிவைப் பெற்றிருப்பதாகும்.
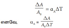
பரப்பு விரிவு
ΔT என்ற சிறிய வெப்பநிலை மாற்றத்தால் பொருளின் பரப்பில் ஏற்படும் பரப்புத்திரிபு (∆A/A0) ஆனது ΔT க்கு நேர்விகிதத்தில் இருக்கும். இதனைப் பின்வருமாறு குறிப்பிடலாம்.

இங்கு, αA = பரப்பு விரிவுக் குணகம்.
ΔA = பரப்பில் ஏற்படும் மாற்றம்
A0 = தொடக்கப் பரப்பு
ΔT = வெப்பநிலையில் ஏற்பட்ட மாற்றம்
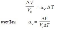
பரும விரிவு
ΔT என்ற சிறிய வெப்பநிலை மாற்றத்தினால், பொருளின் பருமனில் ஏற்படும் பருமத்திரிபு (ΔV/V0), ஆனது ΔT க்கு நேர்விகிதத்தில் இருக்கும்.

இங்கு, αV = பரும விரிவுக் குணகம்.
ΔV = பருமனில் ஏற்படும் மாற்றம்
V0 = தொடக்கப்பருமன்
ΔT = வெப்பநிலையில் ஏற்பட்ட மாற்றம்
திடப்பொருள்களின் நீள் விரிவு, பரப்பு மற்றும் பரும விரிவுக் குணகங்களின் அலகு ˚C-1 அல்லது K-1
