வாழ்வியல் கணிதம் | அலகு 4 | 8 ஆம் வகுப்பு கணக்கு - நேரம் மற்றும் வேலை | 8th Maths : Chapter 4 : Life Mathematics
நேரம் மற்றும் வேலை
பின்வரும் வினாவிற்கு நீங்கள் எவ்வாறு விடையை காண்பீர்கள்?
கனி என்பவர், கொடுக்கப்பட்ட ஒரு வேலையை 2 மணி நேரத்திலும், விஜி என்பவர் 3 மணி நேரத்திலும் முடிப்பார்கள் எனில், இருவரும் அந்த வேலையை ஒன்றாகச் சேர்ந்துச் செய்தால், எவ்வளவு நேரத்தில் முடிப்பார்கள்? இந்த வினாவிற்கான விடையை இங்கு இந்தப் பகுதியில் தெரிந்துக்கொள்ளலாம்.
பொதுவாக, செய்ய வேண்டிய வேலை ஒன்றை எப்போதும் ஓர் அலகாக எடுத்துக்கொள்ள வேண்டும். வேலையானது, ஒரு சுவரைக் கட்டுதல், ஒரு சாலையை அமைத்தல், ஒரு தொட்டியை நிரப்புதல் அல்லது காலி செய்தல் அல்லது ஒரு குறிப்பிட்ட அளவு உணவை சாப்பிடுதல் போன்ற எந்த வகையிலும் இருக்கலாம்.
நேரமானது, மணிகள், நாள்கள் என்பனக் கொண்டு அளக்கப்படுகிறது. செய்யப்பட்ட வேலையானது சீராக செய்யப்பட்டுள்ளது எனவும், குழு வேலையில் வேலையை முடிக்க ஒவ்வொரு நபரும் சமமான வேலை நேரத்தைப் பகிர்ந்து கொள்கிறார்கள் எனவும் உறுதியாக எடுத்துக்கொள்ளப்படுகிறது.
ஓரலகு முறை
இரண்டு நபர்கள் X மற்றும் Y ஆகியோர் ஒரு வேலையைத் தனித்தனியே a மற்றும் b நாள்களில் முடிப்பர் எனில், அவர்களின் ஒரு நாள் வேலை முறையே
மற்றும்
ஆகும்.
அவர்கள் ஒன்றாக இணைந்து வேலை செய்தால், அவர்களின் ஒரு நாள் வேலை =
ஆகும்.
ஆகவே, X மற்றும் Y அந்த வேலையை ab / (a + b) நாள்களில் முடிப்பர்.
எடுத்துக்காட்டு 4.23
A மற்றும் B ஆகிய இருவரும் இணைந்து ஒரு வேலையை 16 நாள்களில் முடிப்பர். A தனியே அந்த வேலையை 48 நாள்களில் முடிப்பர் எனில், B தனியே அந்த வேலையை எத்தனை நாள்களில் முடிப்பார்?
தீர்வு :

∴ B தனியே அந்த வேலையை 24 நாள்களில் முடிப்பார்.
குறிப்பு
ஒரு வேலையை அல்லது பணியை முடிக்க எடுத்துக் கொள்ளும் நேரமானது, நபர்களின் எண்ணிக்கை, அவர்களின் வேலை செய்யும் திறன், வேலைச்சுமை மற்றும் வேலையை முடிக்க ஒரு நாளில் செலவிட்ட நேரம் போன்ற பல்வேறு காரணிகளைப் பொருத்ததாகும்.
எடுத்துக்காட்டு 4.24
P மற்றும் Q ஆகியோர் ஒரு வேலையை முறையே 20 மற்றும் 30 நாள்களில் முடிப்பர் அவர்கள் இருவரும் ஒன்றாகச் சேர்ந்து வேலையைத் தொடங்கினர். சில நாள்கள் வேலை செய்த பிறகு Q ஆனவர் சென்றுவிடுகிறார். மீதமுள்ள வேலையை P ஆனவர் 5 நாள்களில் முடிக்கிறார் எனில், தொடங்கியதிலிருந்து எத்தனை நாள்களுக்கு பிறகு Q வேலையை விட்டுச் சென்றார்?
தீர்வு :
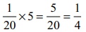
P இன் 1 நாள் வேலை =
மற்றும் Q இன் 1 நாள் வேலை = ![]()
P இன் 5 நாள்கள் வேலை = 
ஆகவே, மீதமுள்ள வேலை =
(முழு வேலை என்பது எப்போதும் 1 ஆகும்) இந்த மீதமுள்ள வேலையை P மற்றும் Q ஆகிய இருவரும் செய்தனர்.
P மற்றும் Q இன் ஒரு நாள் வேலை 
ஆகவே, அவர்கள் இருவரும் ஒன்றாக வேலைச் செய்த நாள்கள் =
= 9 நாள்கள்
ஆகவே, Q ஆனவர் வேலைத் தொடங்கி 9 நாள்களுக்கு பிறகு வேலையை விட்டுச் சென்றார்
எடுத்துக்காட்டு 4.25
A ஆனவர் B என்பவரைக் காட்டிலும் வேலை செய்வதில் 3 மடங்கு வேகமானவர். அவரால் அந்த வேலையை, B எடுத்துக் கொண்ட நேரத்தை விட 24 நாள்கள் குறைவாக எடுத்து முடிக்க முடிகிறது. இருவரும் சேர்ந்து அந்த வேலையை முடிக்க ஆகும் நேரத்தை காண்க.
தீர்வு:
B வேலையை 3 நாள்களில் முடிப்பார் எனில், அதை A 1 நாளில் முடிப்பார். அதாவது, வித்தியாசமானது 2 நாள்கள் ஆகும். இங்கு, வேலையை முடிப்பதில் A மற்றும் B இக்கு இடையேயுள்ள வித்தியாசம் 24 நாள்கள். ஆகவே, அந்த வேலையை முடிக்க A ஆனவர்
= 12 நாள்களையும், B ஆனவர் 3 × 12 = 36 நாள்களையும் தனித்தனியே எடுத்துக்கொள்வர். ஆகவே,
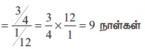
A மற்றும் B ஒன்றாக இணைந்து அந்த வேலையை முடிக்க எடுத்துக் கொள்ளும் நேரம் =
நாள்கள்

= 9 நாள்கள்.
குறிப்பு
A ஆனவர் B ஐ போன்று
மடங்கு திறமைக் கொண்ட வேலையாள் எனில், A ஆனவர் B வேலையை முடிக்க எடுத்துக்கொண்ட நேரத்தைப் போன்று
மடங்கை மட்டுமே எடுத்துக்கொள்வார். இதனைப் பயன்படுத்தி எடுத்துக்காட்டு 4.25 ஐத் தீர்க்க முயற்சிக்கவும்.
1. வேலைக்கானப் பணத்தைப் பகிர்தல்
ஒரு வேலையை நபர்கள் குழுவாகச் சேர்ந்து செய்யும் போது, அவர்கள் தனித்தனியே செய்யும் வேலையைப் பொறுத்து அவர்களுக்குள்ளேயே பணத்தின் பங்கைப் பெற்றுக் கொள்வர். பொதுவாக, சம்பாதித்த பணத்தை குழுவில் ஒன்றாக வேலைச் செய்த நபர்கள், அவர்கள் ஒவ்வொருவரும் செய்த மொத்த வேலையின் விகிதத்தில் பிரித்துக் கொள்வர்.
உங்களுக்குத் தெரியுமா?
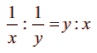
• ஒரு வேலையை செய்ய A மற்றும் B ஆகியோர் எடுத்துக்கொள்ளும் நேரமானது x : y என்ற விகிதத்தில் இருந்தால், A மற்றும் B ஆகியோர் செய்த வேலையின் விகிதம்
என்ற விகிதத்தில் இருக்கும். தனித்தனியே அவர்கள் பெறும் ஊதியங்களின் விகிதமும் இதுவே ஆகும்.
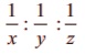
• மூன்று நபர்கள் A, B மற்றும் C ஆகியோர் ஒரு வேலையை முறையே x, y மற்றும் z நாள்களில் செய்து முடிப்பர் எனில், அவர்களுக்குத் தனித்தனியேப் பிரிக்கப்படும் ஊதியங்களின் விகிதமானது
ஆகும்.
எடுத்துக்காட்டு 4.26
X, Y மற்றும் Z ஆகியோர் ஒரு வேலையை முறையே 4, 6 மற்றும் 10 நாள்களில் முடிப்பர். X, Y மற்றும் Z ஆகிய மூவரும் ஒன்று சேர்ந்து அந்த வேலையை முடித்தால் அவர்களுக்கு ₹ 31000 வழங்கப்படும் எனில், அவர்கள் தனித்தனியேப் பெறும் பங்குகளைக் காண்க.

தீர்வு :
அவர்கள் அனைவரும் சமமான நாள்கள்
வேலை செய்வதால், அவர்கள் பணத்தை பகிர்ந்துக் கொள்ளும் விகிதமானது அவர்களின் ஒரு நாள் வேலையின் விகிதத்திற்கு சமமானதாகும்.
அதாவது
= 15 : 10 : 6 இக்குச் சமமாகும்.
இங்கு, மொத்த பங்குகள் = 15 + 10 + 6 = 31
ஆகவே, A இன் பங்கு =
= ₹15000 , B இன் பங்கு =
= ₹10000 மற்றும் C இன் பங்கு ₹ 31000 – (₹ 15000 + ₹ 10000) = ₹ 6000.
இவற்றை முயல்க
1. விக்ரம் ஒரு வேலையின் மூன்றில் ஒரு பகுதியை p நாள்களில் முடிப்பார் எனில், அவர் அந்த வேலையின்
பகுதியை 9/4 P. நாள்களில் முடிப்பார்.
2. m நபர்கள் ஒரு வேலையை n நாள்களில் முடிப்பர் எனில், 4m நபர்கள் அந்த வேலையை n/4 நாள்களிலும்,
நபர்கள் அதே வேலையை 4n நாள்களிலும் முடிப்பர்.