Posted On : 28.02.2024 02:17 am
12 ஆம் வகுப்பு கணிதம் : அத்தியாயம் 6 : வெக்டர் இயற்கணிதத்தின் பயன்பாடுகள்
இரண்டு கோடுகள் ஒரே தளத்தில் அமைவதற்கான நிபந்தனை (Condition for coplanarity of two lines)
இரண்டு கோடுகள் ஒரே தளத்தில் அமைவதற்கான நிபந்தனை (Condition for coplanarity of two lines) : (a) வெக்டர் வடிவக் கட்டுப்பாடு (Condition in vector form) (b) கார்டீசியன் வடிவக் கட்டுப்பாடு (Condition in Cartesian form)
8. இரண்டு கோடுகள் ஒரே தளத்தில் அமைவதற்கான நிபந்தனை (Condition for coplanarity of two lines)
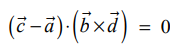
(a) வெக்டர் வடிவக் கட்டுப்பாடு (Condition in vector form)
என்பன கொடுக்கப்பட்ட இரண்டு இணை அல்லாத ஒரு தளம் அமையும் கோடுகள் என்க.

ஆகவே, அவை ஒரே தளத்தில் இருக்கும்.
ஆகியவற்றை நிலைவெக்டர்களாகக் கொண்ட இரு புள்ளிகள் A மற்றும் C என்க. எனவே, A மற்றும் C என்ற இவ்விரு புள்ளிகளும் தளத்தின் மீது அமையும்.
என்ற வெக்டர்கள் தளத்திற்கு இணையாக உள்ள வெக்டர்கள் என்பதால்,
என்பது தளத்திற்கு செங்குத்தாக அமையும். எனவே,
−க்கு செங்குத்தாகும். அதாவது,

இதுவே இரண்டு நேர்க்கோடுகள் ஒரே தளத்தில் அமைவதற்குத் தேவையான நிபந்தனையாகும்.
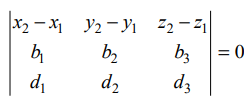
(b) கார்டீசியன் வடிவக் கட்டுப்பாடு (Condition in Cartesian form)
என்ற கோடுகள் ஒரே தளத்தில் அமையும் எனில்,

இதுவே, கொடுக்கப்பட்ட இரண்டு கோடுகள் ஒரே தளத்தில் அமைவதற்கான கார்டீசியன் வடிவக் கட்டுப்பாடு ஆகும்.
12th Maths : UNIT 6 : Applications of Vector Algebra : Condition for coplanarity of two lines in Tamil : 12th Standard
TN Tamil Medium School Samacheer Book Back Questions and answers, Important Question with Answer.
12 ஆம் வகுப்பு கணிதம் : அத்தியாயம் 6 : வெக்டர் இயற்கணிதத்தின் பயன்பாடுகள் : இரண்டு கோடுகள் ஒரே தளத்தில் அமைவதற்கான நிபந்தனை (Condition for coplanarity of two lines) - : 12 ஆம் வகுப்பு
தமிழ்நாடு பள்ளி சமசீர் புத்தகம் கேள்விகள் மற்றும் பதில்கள்.