கணக்கு கேள்வி பதில்கள், தீர்வு | கணிதம் - பயிற்சி 3.8 : முக்கோணவியல் சமன்பாடுகள் | 11th Mathematics : UNIT 3 : Trigonometry
Posted On : 15.11.2022 04:22 pm
11வது கணக்கு : அலகு 3 : முக்கோணவியல்
பயிற்சி 3.8 : முக்கோணவியல் சமன்பாடுகள்
கணக்கு புத்தக பயிற்சிக் கணக்குகள், தீர்வுகள் மற்றும் பதில்கள் - கணிதம் : முக்கோணவியல் : முக்கோணவியல் சமன்பாடுகள்
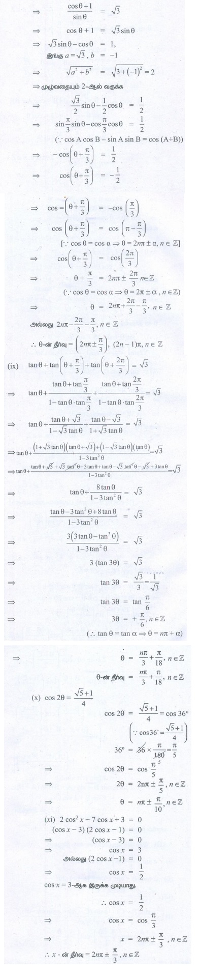
பயிற்சி 3.8


Tags : Problem Questions with Answer, Solution | Mathematics கணக்கு கேள்வி பதில்கள், தீர்வு | கணிதம்.
11th Mathematics : UNIT 3 : Trigonometry : Exercise 3.8: Trigonometric equations Problem Questions with Answer, Solution | Mathematics in Tamil : 11th Standard
Tamil Medium School Samacheer Book Back Questions and answers, Important Question with Answer.
11வது கணக்கு : அலகு 3 : முக்கோணவியல் : பயிற்சி 3.8 : முக்கோணவியல் சமன்பாடுகள் - கணக்கு கேள்வி பதில்கள், தீர்வு | கணிதம் : 11 ஆம் வகுப்பு
புத்தகம் கேள்விகள் மற்றும் பதில்கள்.