பருப்பொருளின் பண்புகள் | இயற்பியல் - தீர்க்கப்பட்ட எடுத்துக்காட்டு கணக்குகள் | 11th Physics : UNIT 7 : Properties of Matter
பருப்பொருளின் பண்புகள்
தீர்க்கப்பட்ட எடுத்துக்காட்டு கணக்குகள்
எடுத்துக்காட்டு 7.1
மீட்சி எல்லைக்குள் தகைவினால் A,B மற்றும் C என்ற கம்பிகளில் உருவான நீட்சித்திரிபுகள் படத்தில் காட்டப்பட்டுள்ளது. சமமான பளு செலுத்தப்பட்டதாகக் கொண்டு கம்பிப் பொருள்களின் மீட்சிப் பண்புகளை விவாதிக்கவும்.

மீட்சிக் குணகங்களை ஏறுவரிசையில் எழுதுக.
தீர்வு:
இங்கு மீட்சிக் குணகமானது யங் குணகம் ஆகும். நீட்சியின் காரணமாக தகைவு இழுவிசைத் தகைவாகவும் திரிபு இழுவிசைத் திரிபாகவும் உள்ளன.
மீட்சி எல்லைக்குள் தகைவானது திரிபுக்கு நேர்விகிதத்தில் உள்ளது (ஹூக் விதிக்கு உட்பட்டு) ஆகையால் வரைபடம் நேர்க்கோடாக உள்ளது. எனவே மீட்சிக்குணகத்தை (இங்கு யங் குணகம்) நேர்க்கோட்டிற்கு சாய்வு எடுப்பதன் மூலம் கணக்கிடலாம். சாய்வைக் கணக்கிட நாம் பெறுவது
A யின் சாய்வு > B யின் சாய்வு > C யின் சாய்வு இதன் மூலம் அறியப்படுவது,
C யின் யங் குணகம் < B யின் யங் குணகம் < A யின் யங் குணகம்
இங்கு சாய்வு அதிகமாக இருப்பின் திரிபு குறைவாக (நீளத்தில் சிறிய மாற்றம்) இருக்கும். பொருள் அதிக விறைப்பாக இருக்கும். எனவே, கம்பி A - இன் மீட்சிப்பண்பு ஆனது, கம்பி B மற்றும் கம்பி C இன், மீட்சிப்பண்பைவிட அதிகமாகவும் இருக்கும். இந்த உதாரணத்திலிருந்து நாம்புரிந்து கொள்வது யங்குணகம் என்பது திண்மப் பொருள் தனது நீளத்தை மாற்ற ஏற்படுத்தும் தடையின் அளவாகும்.
எடுத்துக்காட்டு 7.2
10 m நீளமுள்ள ஒரு கம்பியானது 1.25 × 10-4 m2 குறுக்குவெட்டுப் பரப்பைக் கொண்டுள்ளது. அது 5 kg பளுவிற்கு உட்படுத்தப்படுகிறது. கம்பிப் பொருளின் யங் குணகம் 4 × 1010 Nm-2 எனில் கம்பியில் உருவான நீட்சியைக் கணக்கிடுக (g = 10 ms-2 எனக் கொள்க)
தீர்வு

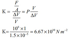
100 cm பக்கத்தைக் கொண்ட ஒரு உலோக கனசதுரம் அதன் முழு பக்கங்களிலும் செயல்படும் சீரான செங்குத்து விசைக்கு உட்படுத்தப்படுகிறது. அழுத்தம் 106 பாஸ்கல். பருமன் 1.5 × 10-5m3 என்ற அளவு மாறுபாடு அடைந்தால், பொருளின் பருமக்குணகத்தைக் கணக்கிடுக.
தீர்வு
வரையறைப்படி,

எடுத்துக்காட்டு 7.4
0.20 m பக்கத்தைக் கொண்ட ஒரு உலோக கனசதுரம் 4000 N சறுக்குப்பெயர்ச்சி விசைக்கு உட்படுத்தப்படுகிறது. மேற்பரப்பு அடிப்பரப்பைப் பொறுத்து 0.50 cm இடப்பெயர்ச்சி அடைகிறது. உலோகத்தின் சறுக்குப் பெயர்ச்சிக் குணகத்தைக் கணக்கிடுக.
தீர்வு
இங்கு L = 0.20 m, F = 4000 N, x = 0.50 cm = 0.005 m
மற்றும் பரப்பு A = L2 = 0.04 m2
எனவே,

எடுத்துக்காட்டு 7.5
2m நீளமும் 10-6m2 குறுக்கு வெட்டுப் பரப்பும் கொண்ட ஒரு கம்பியில் 980 N பளு தொங்கவிடப்பட்டுள்ளது . (i) கம்பியில் உருவான தகைவு (ii) திரிபு மற்றும் (ii) சேமிக்கப்பட்ட ஆற்றல் ஆகியவற்றைக் கணக்கிடுக. Y = 12 × 1010N m−2 எனத்தரப்பட்டுள்ளது.
தீர்வு

எடுத்துக்காட்டு 7.6
ஒரு திண்மக்கோளம் 1.5 cm ஆரமும் 0.038 kg நிறையும் கொண்டுள்ளது. திண்மக் கோளகத்தின் ஒப்படர்த்தியைக் கணக்கிடுக
தீர்வு
கோளத்தின் ஆரம் R = 1.5 cm
நிறை m = 0.038 kg

தீர்க்கப்பட்ட எடுத்துக்காட்டு கணக்குகள் பாஸ்கல் விதி
எடுத்துக்காட்டு 7.7
ஒரு நீரியல் தூக்கியின் இரு பிஸ்டன்கள் 60 cm மற்றும் 5 cm விட்டங்களைக் கொண்டுள்ளன. சிறிய பிஸ்டன் மீது 50 N விசை செலுத்தப்பட்டால் பெரிய பிஸ்டன் செலுத்தும் விசை யாது?
தீர்வு
பிஸ்டன்களின் விட்டங்கள் கொடுக்கப்பட்டுள்ளதால் பிஸ்டனின் ஆரங்களைக் கணக்கிடலாம்.

இதன் பொருளானது 50 N விசையை செலுத்தி 7200 N விசையைப் உயர்த்தலாம் என்பதாகும்
தீர்க்கப்பட்ட எடுத்துக்காட்டு கணக்குகள் மிதக்கும்தன்மை
எடுத்துக்காட்டு 7.8
ஒரு மரத்தாலான கன சதுரம் நீரில் 300 g நிறையை அதன் மேற்பகுதியின் மையத்தில் தாங்குகிறது. நிறையானது நீக்கப்பட்டால், கன சதுரம் 3 cm உயருகிறது. கனசதுரத்தின் பருமனைக் கணக்கிடுக.
தீர்வு
கனசதுரத்தின் ஒவ்வொரு பக்கமும் l என்க. 3 cm ஆழத்திற்கு கனசதுரம் நிரப்பும் பருமன்
V=(3cm) × l2 = 3l2cm3
மிதத்தல் விதிப்படி
Vρg = mg ⇒ Vρ = m
நீரின் அடர்த்தி ρ = 1000 kg m-3
⇒ (3l2 × 10-2m) × (1000 kgm-3) = 300 × 10-3 kg

l = 10 × 10-2m = 10 cm
எனவே கனசதுரத்தின் பருமன் V = l3 = 1000 cm3
எடுத்துக்காட்டு 7.9
2.5×10-4m2 பரப்புள்ள ஒரு உலோகத்தட்டு 0.25×10-3m தடிமமான விளக்கெண்ணெய் ஏட்டின் மீது வைக்கப்பட்டுள்ளது. தட்டை 3×10-2m s-1, திசைவேகத்தில் நகர்த்த 2.5 N விசை தேவைப்பட்டால், விளக்கெண்ணெயின் பாகியல் எண்ணைக் கணக்கிடுக.
கொடுக்கப்பட்டவை :
A=2.5×10-4 m2, dx = 0.25×10-3m,
F=2.5N and dv = 3×10-2 m s-1
தீர்வு

எடுத்துக்காட்டு 7.9
2.5×10-4m2 பரப்புள்ள ஒரு உலோகத்தட்டு 0.25×10-3m தடிமமான விளக்கெண்ணெய் ஏட்டின் மீது வைக்கப்பட்டுள்ளது. தட்டை 3×10-2m s-1, திசைவேகத்தில் நகர்த்த 2.5 N விசை தேவைப்பட்டால், விளக்கெண்ணெயின் பாகியல் எண்ணைக் கணக்கிடுக. கொடுக்கப்பட்டவை :
A=2.5×10-4 m2, dx = 0.25×10-3m,
F=2.5N and dv = 3×10-2 m s-1
தீர்வு

எடுத்துக்காட்டு 7.10
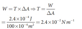
ஒரு சோப்புக்குமிழியின் படலத்தின் பரப்பை 50 cm2 லிருந்து 100 cm2 க்கு அதிகரிக்க செய்யப்பட்ட வேலை 2 .4×10−4 J எனில் சோப்புக் கரைசலின் பரப்பு இழுவிசையைக் கணக்கிடுக.
தீர்வு
சோப்புக் குமிழியானது இரு மேற்பரப்புகளைக் கொண்டிருப்பதால் மேற்பரப்பில் ஏற்பட்ட அதிகரிப்பு
∆A = A2−A1 = 2(100-50) × 10-4m2 = 100 × 10-4m2.
எனவே செய்யப்பட்ட வேலை

எடுத்துக்காட்டு 7.11
ஒப்படர்த்தி 0.8 கொண்ட 4 mm உயரமுள்ள எண்ணெய் தம்பத்தினால் 2.0 cm ஆரமுள்ள சோப்புக் குமிழியின் மிகையழுத்தம் சமப்படுத்தப்பட்டால், சோப்புக்குமிழியின் பரப்பு இழுவிசையைக் காண்க.
தீர்வு
சோப்புக் குமிழியினுள் மிகையழுத்தம்

எடுத்துக்காட்டு 7.12
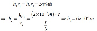
நுண்புழைக் குழாய் ஒன்றில் நீர் 2.0 cm உயரத்திற்கு மேலேறுகிறது. இக்குழாயின் ஆரத்தைப்போல் மூன்றில் ஒரு பகுதி ஆரமுடைய மற்றொரு நுண்புழைக் குழாயில் நீர் எந்த அளவிற்கு மேலேறும்?
தீர்வு
சமன்பாடு 7.34 இல் இருந்து h ∝ 1/r ⇒ hr = மாறிலி
r1 மற்றும் r2 ஆரமுடைய இரு நுண்புழைக் குழாய்கள் திரவத்தில் அமிழ்ந்துள்ள போது நுண்புழையேற்ற உயரமானது முறையே h1 மற்றும் h2 எனில்,

எடுத்துக்காட்டு 7.13
சோடாச் சுண்ணாம்பு கண்ணாடிக்கும் பாதரசத்திற்கும் இடையே சேர்கோணம் 140° ஒரு கிண்ணத்திலுள்ள பாதரசத்தில் 2mm ஆரமுடைய இதே கண்ணாடியால் ஆன நுண்புழைக்குழாய் அமிழ்த்தி வைக்கப்பட்டுள்ளது. திரவத்தின் வெளிப்புற மேற்பரப்பைப் பொறுத்து குழாயில் பாதரசத்தின் மட்டம் எவ்வளவு குறையும்?
பாதரசத்தின் பரப்பு இழுவிசை T=0.456 N m-1;
பாதரசத்தின் அடர்த்தி ρ = 13.6 × 103 kg m-3
தீர்வு
நுண்புழை இறக்கம்

கண்ணாடிக் குழாயில் பாதரச மட்டம் கீழிறங்குகிறது என்பதை எதிர்க்குறி காட்டுகிறது.
எடுத்துக்காட்டு 7.14
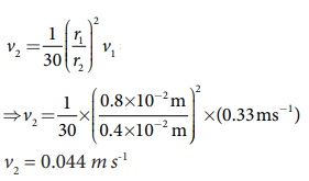
ஒரு சாதாரண மனிதனுக்கு பெருநாடி வழியாக இரத்தம் செல்லும் வேகம் 0.33 ms-1. (ஆரம் r = 0.8 cm) பெருநாடியில் இருந்து 0.4 cm ஆரம் கொண்ட 30 எண்கள் உள்ள பெரும் தமனிகளுக்கு இரத்தம் செல்கிறது. தமனிகளின் வழியே செல்லும் இரத்தத்தின் வேகத்தைக் கணக்கிடுக.
தீர்வு
a1v1 = 30 a2 v2 ⇒ π r12v1 = 30 π r22v2

பருப்பொருளின் பண்புகள்
பயிற்சிக் கணக்குகள்
1. d mm விட்டம் கொண்ட ஒரு நுண்புழைக் குழாய் நீரானது 30mm உயரத்திற்கு மேலேறுமாறு நீரினுள் அமிழ்த்தப்பட்டுள்ளது. புதிய நுண்குழாயின் ஆரம் முந்தய மதிப்பில் (2/3) பங்காக இருந்தால் புதிய நுண்குழாயில் நீர் மேலேறும் உயரத்தைக் கணக்கிடுக.
தீர்வு :

h2 = 45mm
விடை: 45 mm
2. 1.52m நீளமும் 4cm விட்டமும் கொண்ட ஒரு உருளை ஒரு முனையில் பொருத்தப் பட்டுள்ளது. 4 × 105 N தொடுவரை விசை மறு முனையில் செலுத்தப்படு கிறது. உருளையின் விறைப்புக் குணகம் 6 × 1010 Nm-2 எனில் உருளை முறுக்கப்பட்ட கோணத்தைக் கணக்கிடுக.
விடை :
தீர்வு : F = 4 × 105 N d = 4 × 10-2 m
ηR = 6 × 1010 Nm-2 r = 2 × 10-2 m

விடை: 45.60
3. 2 cm ஆரம் கொண்ட சோப்புக்குமிழி A ஆனது மற்றொரு 4cm ஆரமுள்ள B என்ற சோப்புக்குமிழியினுள் உருவாகிறது. சிறிய சோப்புக்குமிழிக்கு உள்ளேயும் பெரிய சோப்புக் குமிழிக்கு வெளியேயும் உள்ள அழுத்த வேறுபாட்டைக் கொண்டுள்ள தனி ஒரு சோப்புக் குமிழியின் ஆரமானது A மற்றும் B ஆகிய இரு சோப்புக் குமிழிகளின் ஆரத்தை விட குறைவாக இருக்கும் என நிரூபி.
• சோப்புக் குமிழுக்கு உள் அடுக்கு மற்றும் வெளியடுக்கின் காரணமாக காற்றின் அழுத்த வேறுபாடு இரு மடங்காகும்.
∆ Pb = 4T/R
• பெரிய சோப்புக் குமிழியின் உள்ளே அழுத்த வேறுபாடு = ∆Pb = 4T/4 = T
• சிறிய குமிழியின் உள்ளே அழுத்த வேறுபாடு = ∆Ps = 4s/R = 4T/2 = 2T
அழுத்த வேறுபாடு ∆P = ∆Pb + ∆Ps
= T + 2T = 3T
• தனி ஒரு சோப்புக் குமிழியின் உள்ளே அழுத்த வேறுபாடு = 4T/R = 4T/4 = T
• தனி சோப்புக் குமிழியின் உள்ளே அழுத்த வேறுபாடு இரு குமிழிகளின் ஆரத்தை விட குறைவு. T < 3T
4. x Kg நிறையுள்ள ஒரு வெள்ளிக்கட்டி (Ag) கம்பியில் தொங்க விடப்பட்டு 0.72 ஒப்படர்த்தி கொண்ட திரவத்தில் மூழ்கியுள்ளது. Ag-யின் ஒப்படர்த்தி 10 மற்றும் கம்பியின் இழுவிசை 37.12 N எனில் வெள்ளிக்கட்டியின் நிறையைக் கணக்கிடுக.
திரவத்தின் ஒப்படர்த்தி = 0.72 = Pதிரவம்
Ag-ன் ஒப்படர்த்தி = 10 = PAg
Ag-ன் நிறை = xKg
கம்பியின் இழுவிசை = 37.12 N
தோற்ற எடை Wapp = W - B

விடை: x = 4 kg
5. ஒரு மூடிய குழாயுடன் இணைக்கப்பட்டுள்ள அழுத்தமானி 5 × 105 Nm-2 என்ற அளவீட்டைக் காட்டுகிறது. குழாயின் திறப்பானை திறந்தால் அழுத்த மானியில் 4.5 × 105 Nm-2 என்ற அளவீடு உள்ளது. குழாயில் பாயும் நீரின் வேகத்தை கணக்கிடுக.
தீர்வு :

விடை: 10 ms-1