வெப்பமும் வெப்ப இயக்கவியலும் | இயற்பியல் - தீர்க்கப்பட்ட எடுத்துக்காட்டு கணக்குகள் | 11th Physics : UNIT 8 : Heat and Thermodynamics
வெப்பமும் வெப்ப இயக்கவியலும் (இயற்பியல்)
தீர்க்கப்பட்ட எடுத்துக்காட்டு கணக்குகள்
எடுத்துக்காட்டு 8.1
a. இந்த ஏரியில் அதிக மழை உள்ளது.
b. குவளையில் உள்ள சூடான தேநீரில் அதிக வெப்பம் உள்ளது. இவ்விரண்டு கூற்றுகளில் உள்ள தவறு என்ன?
தீர்வு
a. மழைபொழியும் போது, மேகங்களிலிருந்து ஏரி தண்ணீரைப் பெறுகிறது. மழை பொழிவது நின்றவுடன் ஏரி முன்பு இருந்ததை விட அதிகத் தண்ணீரைப் பெற்றிருக்கும். இங்கு மழை என்பது மேகங்களிலிருந்து தண்ணீரைப் பெறும் ஒரு செயலாகும். மழை பொழிவது ஒரு அளவு அல்ல. மாறாக மழை மேகங்கள் தண்ணீராக மாற்றமடைந்து ஏரிக்கு செல்வதைக் குறிக்கும். எனவே ஏரியில் அதிக மழை உள்ளது என்று கூறுவது தவறாகும். மாறாக ஏரியில் அதிகத் தண்ணீர் உள்ளது என்று கூறுவதே பொருத்தமானதாகும்.
b. குவளையில் உள்ள தேநீர் வெப்பப்படுத்துவதால் அடுப்பிலிருந்து வெப்பத்தைப் பெறுகிறது. தேநீரை இறக்கி வைத்தவுடன் அது முன்பிருந்ததைவிட அதிக அக ஆற்றலைப் பெற்றிருக்கும். வெப்பம் என்பது உயர் வெப்பநிலையிலுள்ள பொருளிலிருந்து, குறைந்த வெப்பநிலையிலுள்ள பொருளுக்கு ஆற்றல் செல்வதைக் குறிக்கிறது. வெப்பம் ஓர் அளவு அல்ல. எனவே குவளையில் உள்ள தேநீரில் அதிக வெப்பம் உள்ளது என்று கூறுவதை விட குவளையில் உள்ள தேநீர் அதிக சூடாக உள்ளது என்பதே பொருத்தமானதாகும்.
தீர்க்கப்பட்ட எடுத்துக்காட்டு கணக்குகள் பாயில் விதி, சார்லஸ்
விதி மற்றும் நல்லியல்பு வாயு விதி
எடுத்துக்காட்டு 8.2
8 km தொலைவிலிருந்து மிதிவண்டியின் மூலம் பள்ளிக்கு வரும் மாணவியின், மிதிவண்டியின் சக்கரத்தின் காற்றழுத்தம் 27°C இல் 240 kPa. அம்மாணவி பள்ளியை அடைந்தவுடன் சக்கரத்தின் வெப்பநிலை 39°C எனில் சக்கரத்தின் காற்றழுத்தத்தின் மதிப்பினைக் காண்க.

தீர்வு:
சக்கரத்தில் உள்ள காற்றினை நல்லியல்பு வாயுவாகக் கருதினால், வாயு மூலக்கூறுகளின் எண்ணிக்கையும் சக்கரத்தின் பருமனும் இங்கு மாறிலியாகும். எனவே 27°C வெப்பநிலையிலுள்ள வாயு மூலக்கூறுகள் P1V1 = NkT1 இலட்சிய வாயுச் சமன்பாட்டையும், 39°C வெப்பநிலையிலுள்ள வாயு மூலக்கூறுகள் P2V2 = NkT2 என்ற இலட்சிய வாயுச் சமன்பாட்டையும் நிறைவு செய்யும்.
இங்கு T1 மற்றும் T2 என்பது கெல்வின் வெப்பநிலை ஆகும். நாம் அறிந்தபடி
–
எடுத்துக்காட்டு 8.3
37°C உடல் வெப்பநிலையுடைய மனிதரொருவர் சுவாசிக்கும் போது, அவரின் நுரையீரலில் 5.5 லிட்டர் காற்று 1 வளி மண்டல அழுத்தத்தில் (1 atm = 101 kPa) உள்ளே செல்கிறது. மனிதரின் நுரையீரலில் உள்ள ஆக்ஸிஜன் மூலக்கூறுகளின் எண்ணிக்கையைக் கணக்கிடுக. (குறிப்பு: காற்றில் 21% ஆக்ஸிஜன் உள்ளது.)

தீர்வு :
நுரையீரலில் உள்ள காற்றை ஓர் நல்லியல்பு வாயுவாகக்கருதி, நல்லியல்புவாயுச்சமன்பாட்டைப் பயன்படுத்தி வாயு மூலக்கூறுகளின் எண்ணிக்கையைக் கணக்கிடலாம்.
PV = NkT
இங்கு வாயுவின் பருமன் லிட்டரில் கொடுக்கப்பட்டுள்ளது. ஒரு லிட்டர் என்பது 10 cm பக்க அளவு கொண்ட கனசதுரக் கொள் கலனின் பருமனுக்குச் சமம் எனவே,
1லிட்டர் = 10cm × 10cm × 10cm = 10-3 m3

கணக்கிடப்பட்ட N மதிப்பில் 21% மட்டுமே ஆக்ஸிஜன் மூலக்கூறுகளாகும். எனவே மொத்த ஆக்ஸிஜன் மூலக்கூறுகளின் எண்ணிக்கை

ஆக்ஸிஜன் மூலக்கூறுகளின் எண்ணிக்கை
= 2.7 × 1022 மூலக்கூறுகள்
எடுத்துக்காட்டு 8.4
ஒரு மோல் அளவுள்ள ஏதேனும் ஒரு வாயுவின் பருமனை படித்தர வெப்பநிலை மற்றும் அழுத்தத்தில் (STP) காண்க. மேலும் அதே மூலக்கூறுகளின் பருமனை அறைவெப்பநிலை (300 K) மற்றும் ஒரு வளி மண்டல அழுத்தத்தில் (1atm) கணக்கிடுக.
தீர்வு
படித்தர வெப்பநிலை மற்றும் அழுத்தத்தில், வெப்பநிலை (T= 273K அல்லது 0°C) மற்றும் அழுத்தம் (P = 1 atm அல்லது 101.3 kPa)
நல்லியல்பு வாயுச்சமன்பாட்டை இங்கு பயன்படுத்தும்போது V = μRT / P.
இங்கு μ = 1 mol மற்றும் R = 8.314 J/mol.K. இம்மதிப்புகளை சமன்பாட்டில் பிரதியிடும் போது
=22.4 × 10-3 m3
நாம் அறிந்தபடி 1 லிட்டர் (L) = 10-3m3.
இதிலிருந்து 1 மோல் அளவுள்ள எந்த ஒரு நல்லியல்பு வாயுவின் பருமன் 22.4 லிட்டர் என நாம் அறிந்து கொள்ளலாம்.
அறை வெப்பநிலையில் ஒரு மோல் அளவுள்ள வாயுவின் பருமனைக்கான 22.4 லிட்டரை 300K/273K ஆல் பெருக்க வேண்டும். அவ்வாறு கணக்கிடும் போது, வாயுவின் பருமன் 24.6 லிட்டர் எனக்கிடைக்கும்.
எடுத்துக்காட்டு 8.5
உனது வகுப்பறையில் உள்ள காற்றின் நிறையை இயல்பு வெப்பநிலை மற்றும் அழுத்தத்தில் (NTP) கணக்கிடுக. இங்கு இயல்பு வெப்பநிலை என்பது அறை வெப்பநிலையையும், இயல்பு அழுத்தம் என்பது ஒரு வளி மண்டல அழுத்தத்தைக் (1 atm) குறிக்கும்.

தீர்வு
வகுப்பறை ஒன்றின் சராசரி அளவு முறையே 6m நீளம், 5 m அகலம் மற்றும் 4 m உயரமாகும். எனவே அறையின் பருமன் V = 6 × 5 × 4 = 120m3 ஆகும். இப்பருமனில் உள்ள மோல்களின் எண்ணிக்கையைக் கணக்கிட வேண்டும்.
அறை வெப்பநிலையிலுள்ள (300K) ஒரு மோல் வாயுவின் பருமன் 24.6 லிட்டர். எனவே,
மூலக்கூறுகளின் எண்ணிக்கை

காற்றில் 21% ஆக்ஸிஜன், 78% நைட்ரஜன் மற்றும் 1% ஆர்கான், ஹைட்ரஜன், ஹீலியம் மற்றும் செனான் போன்ற வாயுக்களின் கலவை உள்ளது. காற்றின் மூலக்கூறு நிறை 29 g mol-1 எனவே அறையில் உள்ள காற்றின் மொத்த நிறை m = 4878 × 29 = 141.4kg ஆகும்.
தீர்க்கப்பட்ட எடுத்துக்காட்டு கணக்குகள் திட, திரவ
மற்றும் வாயுக்களின் வெப்ப விரிவு
எடுத்துக்காட்டு 8.6
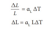
பிரான்ஸ் நாட்டிலுள்ள இரும்பால் செய்யப்பட்ட ஈபிள் கோபுரத்தின் உயரம் கிட்டத்தட்ட 300 m ஆகும். பிரான்ஸ் நாட்டின் குளிர்காலத்தின் வெப்பநிலை 2°C மற்றும் கோடைக்காலத்தின் சராசரி வெப்பநிலை 25°C. இவ்விரண்டு பருவ நிலைகளுக்கிடையே ஈபிள் கோபுரத்தின் உயரத்தில் ஏற்படும் மாற்றத்தைக் கணக்கிடுக. இரும்பின் நீள் விரிவுக் குணகம் α = 10 ×10−6 per °C
தீர்வு:

ΔL = 10 × 10−6 × 300 × 23 = 0.69 m=69 cm
தீர்க்கப்பட்ட எடுத்துக்காட்டு கணக்குகள் வெப்ப அளவீட்டியல்
எடுத்துக்காட்டு 8.7
50°C வெப்பநிலையிலுள்ள 5L நீர், 30°C வெப்பநிலையிலுள்ள 4L நீருடன் கலக்கப்படுகிறது. நீரின் இறுதி வெப்பநிலை என்ன? இங்கு நீரின் தன்வெப்ப ஏற்புத்திறன் 4184 Jkg-1 K-1 என்க.
தீர்வு:
பின்வரும் சமன்பாட்டை நாம் பயன்படுத்தலாம்

M1 = 5L = 5kg மற்றும் m2 = 4L = 4kg, s1= s2
மேலும் T1 = 50°C = 323K மற்றும் T2 = 30°C = 303K.
எனவே

50°C மற்றும் 30°C வெப்பநிலைகளில் உள்ள சம அளவு நீரினை (m1=m2) ஒன்றுடன் ஒன்று கலக்கும் போது, இறுதி வெப்ப நிலை இவ்விரண்டு வெப்பநிலைகளின் சராசரியாகும்.

ஒரே வெப்பநிலையில் (30°C) உள்ள இரண்டு நீர் மாதிரிகளை ஒன்றுடன் ஒன்று கலக்கும் போது அவற்றின் இறுதி வெப்பநிலையும் 30°C ஆகும். இதிலிருந்து நாம் அறிந்து கொள்வது என்னவென்றால் இவ்விரண்டு நீர் மாதிரிகளும் வெப்பச்சமநிலையில் உள்ளன. எனவே இரண்டிற்கும் நடுவே எவ்விதமான வெப்பப்பரிமாற்றமும் நடைபெறவில்லை என்பதாகும்.
தீர்க்கப்பட்ட எடுத்துக்காட்டு கணக்குகள் நியூட்டனின் குளிர்வு விதி
எடுத்துக்காட்டு 8.8
27°C வெப்பநிலை உள்ள அறை ஒன்றில் உள்ள சூடான நீர் 92°C லிருந்து 84°C வெப்பநிலைக்கு குளிர 3 நிமிடங்களை எடுத்துக்கொள்கிறது. அதே நீர் 65°C லிருந்து 60°C வெப்பநிலைக்குக் குறைய எடுத்துக்கொள்ளும் நேரத்தைக் கணக்கிடுக.
3 நிமிடங்களில் சூடான நீரின் வெப்பநிலை 8°C குறைந்துள்ளது. 92°C மற்றும் 84°C இன் சராசரி வெப்பநிலை 88°C. இது அறை வெப்பநிலையைவிட 61°C அதிகமாக உள்ளது. சமன்பாடு (8.8) ஐப் பயன்படுத்தினால்

இதேபோன்று 65°C மற்றும் 60°C இன் சராசரி வெப்பநிலை 62.5°C ஆகும். இது அறை வெப்பநிலையைவிட 35.5°C அதிகமாக உள்ளது.

இவ்விரண்டு சமன்பாடுகளையும் வகுக்கும்போது

தீர்க்கப்பட்ட எடுத்துக்காட்டு கணக்குகள் வெப்ப மாற்றத்தின் விதிகள்
எடுத்துக்காட்டு 8.9
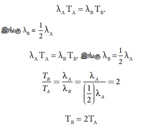
A என்ற கரும்பொருள் ஒன்றின் கதிர்வீச்சுத்திறன் EA மேலும் இது λA என்ற அலைநீளத்திற்கு பெரும் ஆற்றல் கதிர்வீசப்படுகிறது. B என்ற மற்றொரு கரும்பொருளின் கதிர்வீச்சுத்திறன் EB = N EA ; 1/2 λA என்ற அலைநீளத்திற்கு B கரும்பொருளில் இருந்து கதிர் வீசப்படுகிறது எனில் N இன் மதிப்பைக் காண்க?
வியனின் இடப்பெயர்ச்சி விதியிலிருந்து
λmax T = மாறிலி; இது A மற்றும் B என்ற இரண்டு கரும்பொருள்களுக்குப் பொருந்தும்.

ஸ்டெஃபான் - போல்ஸ்ட்மென் விதியிலிருந்து

கரும்பொருள் B, கரும்பொருள் A வை விட குறைந்த அலைநீளத்தையே உமிழும். எனவே கரும்பொருள் A வை விட அதிக ஆற்றல் கொண்ட கதிர்வீச்சை கரும்பொருள் B உமிழும்.
தீர்க்கப்பட்ட எடுத்துக்காட்டு கணக்குகள் அக ஆற்றல் (U)
எடுத்துக்காட்டு 8.10
ஒரு வாளி முழுவதும் உள்ள சாதாரண நீருடன், ஒரு குவளை சுடுநீரை கலக்கும் போது வெப்பம் எத்திசையில் பரவும்?
உனது விடைக்கு உரிய விளக்கம் தருக.
வாளியில் உள்ள சாதாரண நீரைக்காட்டிலும், குவளையில் உள்ள சூடான நீரின் வெப்பநிலை அதிகம் இருப்பினும் குவளையில் உள்ள சுடுநீரின் அக ஆற்றலைவிட வாளி நீரின் அக ஆற்றல் அதிகம். ஏனெனில் அக ஆற்றல் ஓர் அளவுச் சார்புள்ள வெப்ப இயக்கவியல் மாறி ஆகும். அது அமைப்பின் அளவு அல்லது நிறையைச் சார்ந்ததாகும்.
வாளி நீரின் அக ஆற்றல் அதிகம் எனினும், குவளையில் உள்ள சுடுநீரில் இருந்து வெப்பம் வாளி நீருக்கு பாயும். இதற்குக்காரணம் வெப்பம் எப்போதும் உயர் வெப்பநிலையிலுள்ள பொருளிலிருந்து தாழ் வெப்பநிலையிலுள்ள பொருளுக்குப் பாயும். மேலும் இது அமைப்பின் அக ஆற்றலைச் சார்ந்ததல்ல. பொருளுக்கு வெப்பம் மாற்றப்பட்ட உடன் அவ்வெப்பம் பொருளின் அக ஆற்றலாக மாறிவிடும். எனவே பொருள் வெப்பத்தை பெற்றுள்ளது என்பதைவிட பொருள் ஒரு குறிப்பிட்ட அளவு அக ஆற்றலைப் பெற்றுள்ளது என்று கூறுவதே சரியான முறையாகும். அமைப்பு ஒன்றின் அக ஆற்றலை அதிகரிப்பதற்கு ஒரு சிறந்த வழிமுறை வெப்பப்படுத்துவது ஆகும். இது பின்வரும் படத்தில் காட்டப்பட்டுள்ளது.

எடுத்துக்காட்டு 8.11
மாணவர் ஒருவர் காலைச் சிற்றுண்டியாக 200 உணவு கலோரி (food calorie) ஆற்றலுடைய உணவை உண்கிறார். அவர் அவ்வாற்றலை கிணற்றிலிருந்து தண்ணீரை இறைத்து பள்ளியில் உள்ள மரங்களுக்கு ஊற்றுவதன் மூலம் செலவழிக்கலாம் எனக் கருதுகிறார். அவ்வாறு செலவழிக்க வேண்டுமென்றால் எத்தனை மரங்களுக்கு அவர் தண்ணீர் ஊற்ற முடியும்? இங்கு கிணற்றின் ஆழம் 25 m, குடத்தின் கொள்ளளவு 25 L, ஒவ்வொரு மரத்திற்கும் ஒரு குடம் நீர் ஊற்ற வேண்டும் என்க. (நடக்கும்போது செலவழிக்கப்படும் ஆற்றலையும், குடத்தின் நிறையையும் புறக்கணிக்கவும்) g = 10 ms-2 எனக் கருதுக.

தீர்வு:
கிணற்றிலிருந்து 25 L தண்ணீரை இறைப்பதற்கு அவரின் அக ஆற்றலைப் பயன்படுத்தி புவியீர்ப்பு விசைக்கு எதிராக வேலை செய்ய வேண்டும்
தண்ணீரின் நிறை = 25 L = 25 kg (1L = 1kg) 25kg நிறையுடைய தண்ணீரை இறைக்க செய்ய வேண்டிய வேலை = தண்ணீரால் பெறப்படும் ஈர்ப்புநிலை ஆற்றல்
W = mgh = 25×10×25 = 6250 J
காலைச் சிற்றுண்டியால் பெறப்பட்ட ஆற்றல் = 200 உணவு கலோரி = 200 kcal.
1 kcal = 103 × 4.186 J
= 200×103 × 4.186 J = 8.37 ×105 J
இவ்வாற்றலைக் கொண்டு மாணவர் ‘n’ குடங்கள் நீரை கிணற்றிலிருந்து இறைக்கிறார் எனக் கருதுக மாணவரால் செலவழிக்கப்படும் மொத்த ஆற்றல் = 8.37 × 105 J = nmgh
எனவே

இங்கு n என்பது தண்ணீர் ஊற்றப்பட வேண்டிய மரங்களின் எண்ணிக்கையை கூட குறிக்கிறது.
காலைச் சிற்றுண்டி மட்டும் உண்டு விட்டு 134 குடம் நீரை இறைக்க முடியுமா? நிச்சயம் முடியாது. உண்மையில் மனித உடல் உணவு ஆற்றல் முழுவதையும் வேலையாக மாற்றாது. ஏனெனில் தோராயமாக மனித உடலின் பயனுறுதிறன் 20% ஆகும். அதாவது 200 உணவு கலோரியில் 20% மட்டுமே வேலையாக மாற்றமடையும். எனவே 134 குடங்களில் 20% என்பது 26 குடங்கள் மட்டுமே. எனவே அம்மாணவர் உண்ட சிற்றுண்டிக்கு இணையாக செய்ய முடிந்த வேலையின் அளவு 26 குடங்கள் நீரை இறைப்பதே ஆகும்.
மீதமுள்ள ஆற்றல் இரத்த ஓட்டத்திற்கும் மற்ற உடலின் மற்ற உறுப்புகளின் இயக்கத்திற்கும் பயன்படுத்தப்படுகிறது. மேலும் ஒரு குறிப்பிட்ட அளவு உணவு ஆற்றல் வீணாக இழக்கப்படும் என்பதை நினைவில் கொள்ள வேண்டும்.
நமது உடலின் பயனுறுதிறன் ஏன் 100% இல்லை ? இதற்கான விடையை நீங்கள் பிரிவு 8.9 இல் அறிந்து கொள்வீர்கள்.
எடுத்துக்காட்டு 8.12
மனிதரொருவர் 2 kg நிறையுடைய நீரினை துடுப்பு சக்கரத்தைக் கொண்டு கலக்குவதன்மூலம் 30 kJ வேலையைச் செய்கிறார். ஏறத்தாழ 5k cal வெப்பம் நீரிலிருந்து வெளிப்பட்டு கொள்கலனின் பரப்பு வழியே வெப்பக்கடத்தல் மற்றும் வெப்பக் கதிர்வீச்சின் மூலம் சூழலுக்குக் கடத்தப்படுகிறது எனில் அமைப்பின் அக ஆற்றல் மாறுபாட்டைக் காண்க.
தீர்வு
அமைப்பின் மீது செய்யப்பட்ட வேலை (நீரினைக் கலக்குவதன் மூலம் மனிதரால் செய்யப்பட்ட வேலை ) W = -30 kJ = -30,000J
அமைப்பிலிருந்து வெப்பம் வெளிப்படுகிறது,
Q = -5 kcal = 5 × 4184 J =-20920 J
வெப்ப இயக்கவியலின் முதல் விதியைப் பயன்படுத்தும்போது
∆U = Q-W
∆U = -20,920 J-(-30,000) J
∆U = -20,920 J+30,000 J = 9080 J
இங்கு, அமைப்பின் மீது செய்யப்பட்ட வேலையைவிட வெப்ப இழப்பு குறைவாக உள்ளது. எனவே அக ஆற்றல் மாறுபாடு நேர்க்குறியாகும். இது அமைப்பின் அக ஆற்றல் அதிகரித்ததைக் காட்டுகிறது.
எடுத்துக்காட்டு 8.13:
மெல்லோட்டப் பயிற்சியை (Jogging) தினமும் செய்வது உடல் நலத்தை பேணிக்காக்கும் என்பது நாமறிந்ததே. நீங்கள் மெல்லோட்டப் பயிற்சியில் ஈடுபடும்போது 500 kJ வேலை உங்களால் செய்யப்படுகிறது. மேலும் உங்கள் உடலிலிருந்து 230 kJ வெப்பம் வெளியேறுகிறது எனில், உங்கள் உடலில் ஏற்படும் அக ஆற்றல் மாறுபாட்டைக் கணக்கிடுக.
தீர்வு :

அமைப்பினால் செய்யப்பட்ட வேலை (நமது உடலை அமைப்பு என்று கருதுக)
W = +500 kJ
அமைப்பிலிருந்து (நமது உடல்) வெளியேற்றப்பட்ட வெப்பம் Q = -230 kJ
உடலில் ஏற்படும் அக ஆற்றல் மாறுபாடு
= ΔU= – 230 kJ – 500 kJ = – 730 kJ.
எதிர்க்குறியானது நமது உடலின் அக ஆற்றல் குறைந்தது என்பதைக் காட்டுகிறது.
எடுத்துக்காட்டு 8.14:
மீமெது நிகழ்விற்கு ஓர் எடுத்துக்காட்டுத் தருக. பருமன் V, அழுத்தம் P மற்றும் வெப்பநிலை T உடைய வாயு ஒன்று கொள்கலனில் அடைத்து வைக்கப்பட்டுள்ளது என்க. படத்தில் காட்டியுள்ளவாறு பிஸ்டன் மீது ஒவ்வொரு மண்துகளாகப் போடும் போது பிஸ்டன் உள்நோக்கி மிக மெதுவாக நகரும். இந்நிகழ்வினை கிட்டத்தட்ட மீமெது நிகழ்வாகக் கருதலாம்.

(ஒவ்வொரு மண்துகளாகப் பிஸ்டனின் மீது போடும் போது ஏற்படும் மீமெது நிகழ்வு)
எடுத்துக்காட்டு 8.15
நிலையான வளிமண்டல அழுத்தத்தில் உள்ள வாயுவின் பருமன் 1m3 லிருந்து 2m3 ஆக விரிவடைகிறது எனில், பின்வருவனவற்றைக் காண்க.
(a) வாயுவால் செய்யப்பட்ட வேலை
(b) இவ்வேலைக்கான PV வரைபடம்.
தீர்வு:
(a) அழுத்தம் P = 1 atm = 101 kPa, V = 2 m3
மற்றும் Vi = Im3
சமன்பாடு (8.17) இல் இருந்து

இங்கு P என்பது ஓர் மாறிலியாகும். எனவே இது தொகையீட்டிற்கு வெளியே உள்ளது.
W = P (Vf – Vi) = 101×103 × (2 – 1) = 101 kJ
(b) அழுத்தம் மாறிலியாக உள்ளதால் படத்தில் காட்டப்பட்டுள்ளவாறு PV வரைபடம் ஓர் நேர்க்கோடாக இருக்கும். அந்த நேர்க்கோட்டுக்கு கீழே உள்ள பரப்பு செய்யப்பட்ட வேலைக்குச் சமமாகும்.

படத்தில் குறிப்பிடப்பட்டுள்ள அம்புக்குறியீட்டை கவனிக்க வேண்டும். ஒரே வேளை அமைப்பின் மீது வேலை செய்யப்பட்டிருந்தால் பருமன் குறையும். எதிர்த்திசையில் அம்புக்குறி காணப்படும்.
எடுத்துக்காட்டு 8.16
300K வெப்பநிலையிலுள்ள 0.5 மோல் வாயு ஒன்று தொடக்கப்பருமன் 2 L இல் இருந்து இறுதிப்பருமன் 6L க்கு வெப்பநிலைமாறா நிகழ்வில் விரிவடைகிறது எனில், பின்வருவனவற்றைக் காண்க.
a. வாயுவால் செய்யப்பட்ட வேலை?
b. வாயுவிற்குக் கொடுக்கப்பட்ட வெப்பத்தின் அளவு?
c. வாயுவின் இறுதி அழுத்தம்?
(வாயுமாறிலி, R = 8.31Jmol-1K-1)
தீர்வு
a. நாம் அறிந்தபடி வாயுவால் செய்யப்பட்ட வேலை ஓர் வெப்பநிலை மாறா விரிவாகும்.
இங்கு µ = 0.5

W = 1.369 kJ
இங்கு வேலை நேர்க்குறியில் உள்ளதைக் கவனிக்க வேண்டும். ஏனெனில் வாயுவால் வேலை செய்யப்பட்டுள்ளது.
b. வெப்ப இயக்கவியலின் முதல் விதிப்படி, வெப்பநிலை மாறா நிகழ்வில் அமைப்பிற்குக் கொடுக்கப்படும் வெப்பம் வேலை செய்வதற்குப் பயன்படுத்தப்படுகிறது.
எனவே, Q = W = 1.369 kJ
இங்கு Q வும் நேர்க்குறியாகும். ஏனெனில் வெப்பம் அமைப்பிற்குள் செல்கிறது.
c. வெப்பநிலை மாறா நிகழ்விற்கு

எடுத்துக்காட்டு 8.17:
கீழே காட்டப்பட்டுள்ள PV வரைப்படம் வெவ்வேறு வெப்பநிலைகளில் நடைபெறும் இரண்டு வெப்பநிலை மாறா நிகழ்வுகளைக் குறிக்கின்றன. இரண்டு வெப்பநிலைகளில் உயர்ந்த வெப்பநிலை எது என்பதைக் கண்டறிக.

தீர்வு :
உயர் வெப்பநிலை வளை கோட்டைக் காண்பதற்கு படத்தில் காட்டியுள்ளவாறு x அச்சுக்கு இணையாக கிடைத்தளக் கோட்டினை வரைய வேண்டும். இது மாறா அழுத்ததிற்கான கோடு ஆகும்.

மாறா, அழுத்தக் கோட்டினை வெட்டும் செங்குத்துக் கோடுகளுக்கான பருமன்கள் V1 மற்றும் V2 ஆகியவை, ஒரே அழுத்தத்தில் உள்ள பருமன்களைக் குறிக்கின்றன.
மாறா அழுத்தத்தில் அதிக பருமனுள்ள வாயுவில் வெப்பநிலையும் அதிகமாக இருக்கும். படத்திலிருந்து V1 > V2 எனவே, T1 > T2 என அறியலாம். பொதுவாக வெப்பநிலை மாறா நிகழ்வுகளில் வெப்பநிலை குறைவாக உள்ள வளைகோடுகள் ஆதிப்புள்ளிக்கு அருகே அமையும்.
வெப்பப்பரிமாற்றமில்லா நிகழ்வு
எடுத்துக்காட்டு 8.18:

கைகளினால் அழுத்தப்படும் பம்பினைப் பயன்படுத்தி மிதிவண்டிச் சக்கரத்திற்கு காற்றடிப்பதை நாம் அனைவரும் அறிந்திருப்போம். பம்பின் உள்ளே உள்ள V பருமனுடைய காற்றை, வளிமண்டல அழுத்தத்திலுள்ள மற்றும் 27°C அறை வெப்பநிலையில் உள்ள வெப்ப இயக்கவியல் அமைப்பு என்று கருதுக. மிதிவண்டி சக்கரத்தில் காற்றைச் செலுத்தும் முனை மூடப்பட்டுள்ளது என்று கருதுக. காற்றானது அதன் தொடக்கப்பருமனிலிருந்து நான்கில் ஒரு பங்கு இறுதிப்பருமனுக்கு அழுத்தப்படுகிறது என்றால் அதன் இறுதி வெப்பநிலை என்ன? (சக்கரத்தின் காற்று செலுத்தும் முனை மூடப்பட்டுள்ளதால் காற்று சக்கரத்தினுள் செல்ல முடியாது. எனவே இங்கு காற்றடிக்கும் நிகழ்வினை வெப்பப்பரிமாற்றமில்லா அமுக்கமாகக் கருதலாம். காற்றுக்கு (γ = 1.4)
தீர்வு:
காற்றடிக்கும் நிகழ்வு வெப்பப் பரிமாற்றமில்லா அமுக்கமாக கருதப்படுகிறது. பருமன் கொடுக்கப்பட்டுள்ளது. எனவே வெப்பநிலையைக் கணக்கிட வேண்டும். இங்கு சமன்பாடு (8.38) ஐப் பயன்படுத்த வேண்டும்.

T2 ≈ 522 K அல்லது 249°C
இந்த இறுதி வெப்பநிலை நீரின் கொதிநிலையை விட அதிகம். எனவே மிதிவண்டியில் சக்கரத்திற்கு கைப்பம்பினைப் பயன்படுத்தி காற்றடிக்கும் போது காற்று நிரப்பும் முனையைத் தொடுவது ஆபத்தானதாகும்.
அழுத்தம் மாறா நிகழ்வு
எடுத்துக்காட்டு 8.19
இரண்டு வெவ்வேறு அழுத்தங்களில் நடைபெறும் அழுத்தம் மாறா நிகழ்வுகளுக்கான V-வரைபடம் கீழே காட்டப்பட்டுள்ளது. இவற்றுள் எந்நிகழ்வு உயர் அழுத்தத்தில் நடைபெறும் என்று கண்டறிக

தீர்வு
நல்லியல்பு வாயுச் சமன்பாட்டிலிருந்து,
V = (µR/P)T
V - T வரைப்படம் ஆதிப்புள்ளி வழியேச் செல்லும் ஓர் நேர்க்கோடாகும்.
அதன் சாய்வு = µR/P
V-T வரைபடத்தின் சாய்வு, அழுத்தத்திற்கு எதிர்விகிதத் தொடர்புடையது ஆகும். சாய்வு பெருமமாக இருப்பின், அழுத்தம் குறைவானதாகும்.
இங்கு P1 இன் சாய்வு P2 வை விட அதிகம். எனவே P2 > P1.
T யினை x அச்சிலும் V யினை y அச்சிலும் வைத்து இவ்வரைபடத்தை வரைந்திருந்தால், P2 > P1 ஆக இருக்குமா? சிந்தித்து உனது விடையைக் கூறுக
எடுத்துக்காட்டு 8.20
27°C வெப்பநிலையில் உள்ள 1 மோல் நல்லியல்பு வாயு 1 MPa அழுத்தத்தில் உருளை ஒன்றினுள் அடைத்து வைக்கப்பட்டுள்ளது. அதன் பருமன் இருமடங்காகும் வரை அதனை விரிவடைய அனுமதித்து பின்னர் கீழ்க்கண்டவற்றைக் கணக்கிடுக.
(a) (i) இப்பரும் விரிவு வெப்பப்பரிமாற்றமில்லா முறையில் நடந்தால், வாயுவால் செய்யப்பட்ட வேலை என்ன?
(ii) இப்பரும் விரிவு அழுத்தம் மாறா முறையில் நடந்தால், வாயுவால் செய்யப்பட்ட வேலை என்ன ?
(iii) இப்பரும் விரிவு வெப்பநிலை மாறா முறையில் நடந்தால், வாயுவால் செய்யப்பட்ட வேலை என்ன?
(b) மேற்கண்ட மூன்று நிகழ்வுகளிலும், எந்நிகழ்வில் அக ஆற்றலில் பெரும் மாற்றம் அடைகிறது மற்றும் எந்நிகழ்வில் சிறும் மாற்றம் ஏற்படுகின்றது.
(c) இம்மூன்று நிகழ்வுகளுக்கான வரைபடத்தை வரையவும்
(d) இம்மூன்று நிகழ்வுகளில் எந்நிகழ்வில் வெப்பம் வாயுவுக்கு அதிக வெப்பம் அளிக்கப்பட்டிருக்கும் மற்றும் எந்நிகழ்வில் வாயுவுக்கு குறைவாக வெப்பம் அளிக்கப்பட்டிருக்கும்?

தீர்வு :
(a) (i) வெப்பப்பரிமாற்றமில்லா நிகழ்வில் அமைப்பினால் செய்யப்பட்ட வேலை

இறுதி வெப்பநிலை Tf ஐக் கண்டறிய வெப்பப்பரிமாற்றமில்லா நிலைச்சமன்பாடு

ஐப் பயன்படுத்த வேண்டும்.

(ii) அழுத்தம் மாறா நிகழ்வில் அமைப்பினால் செய்யப்பட்ட வேலை
W = P ∆V = P(Vf – Vi)
மேலும் Vf = 2Vi எனவே, W = 2PVi
Vi. ஐக் கணக்கிட, நல்லியல்பு வாயுச் சமன்பாட்டை தொடக்க நிலைக்கும் பயன்படுத்த வேண்டும்
PiVi = RTi

அழுத்தம் மாறா நிகழ்வின் போது செய்யப்பட்ட வேலை W = 2 × 106 × 24.9 × 10−4 = 4.9 kJ
(iii) வெப்பநிலை மாறா நிகழ்வில் அமைப்பினால் செய்யப்பட்ட வேலை

வெப்பநிலை மாறா நிகழ்வில் தொடக்க அறை வெப்பநிலை ஒரு மாறிலியாகும்.
எனவே W = 1 × 8.3 × 300 × ln(2) = 1.7kJ
(b) இம்மூன்று நிகழ்வுகளையும் ஒப்பிட்டுப் பார்க்கும்போது அழுத்தம் மாறா நிகழ்வில் செய்யப்பட்ட வேலை, பெருமமதிப்பையும், வெப்பப்பரிமாற்றமில்லா நிகழ்வில் செய்யப்பட்ட வேலை சிறும மதிப்பையும் பெற்றுள்ளன.
(c) இம்மூன்று நிகழ்வுகளுக்கான PV வரைபடம் கீழே காட்டப்பட்டுள்ளது.

AB வளைகோட்டிற்குக் கீழே உள்ள பரப்பு = அழுத்தம் மாறா நிகழ்வில் செய்யப்பட்ட வேலை
AC வளை கோட்டிற்குக் கீழே உள்ள பரப்பு = வெப்பநிலை மாறா நிகழ்வில் செய்யப்பட்ட வேலை
AD வளைகோட்டிற்குக் கீழே உள்ள பரப்பு = வெப்பப்பரிமாற்றமில்லா நிகழ்வில் செய்யப்பட்ட வேலை
PV வரைபடத்தில் AB வளைகோட்டிற்குக் கீழே உள்ள பரப்பு மற்ற வளைகோடுகளின் பரப்பைவிட அதிகம். எனவே அழுத்தம் மாறா நிகழ்வில் செய்யப்பட்ட வேலை பெரும்மதிப்பையும் வெப்பப்பரிமாற்றமில்லா நிகழ்வில் செய்யப்பட்ட வேலை சிறும் மதிப்பையும் பெற்றுள்ளன.
(d) வெப்பப்பரிமாற்றமில்லா நிகழ்வில் அமைப்பிற்கு எவ்விதமான வெப்பமும் செல்லவில்லை அதேபோன்று அமைப்பிலிருந்து எவ்விதமான வெப்பமும் வெளியேறவும் இல்லை . வெப்பநிலை மாறா நிகழ்வுடன் ஒப்பிடும் போது அழுத்தம் மாறா நிகழ்வில் செய்யப்பட்ட வேலை அதிகம் எனவே வெப்பமும் அதிகம்.
பருமன் மாறா நிகழ்வு
எடுத்துக்காட்டு 8.21
500g நீர், 30°C வெப்பநிலையிலிருந்து 60°C வெப்பநிலைக்கு வெப்பப்படுத்தப்படுகிறது எனில் நீரின் அக ஆற்றல் மாறுபாட்டைக் கணக்கிடுக. (இங்கு நீரின் விரிவினை புறக்கணிக்கவும் மேலும் நீரின் தன்வெப்ப ஏற்புத்திறன் 4184J kg-1K-1)
தீர்வு
நீரின் வெப்பநிலையை 30°C இல் இருந்து 60°C க்கு உயர்த்தும் போது ஏற்படும் நீரின் விரிவை புறக்கனிக்கிறோம். எனவே இந்நிகழ்வினை ஒர் பருமன் மாறா நிகழ்வாகக் கருதலாம். பருமன் மாறா நிகழ்வில் செய்யப்படும் வேலை சுழியாகும். மேலும் அளிக்கப்படும் வெப்பமானது அக ஆற்றலை அதிகரிப்பதற்கு மட்டுமே பயன்படுத்தப்படும்.
∆U = Q = msv ∆T
நீரின் நிறை = 500g = 0.5 kg
வெப்பநிலை மாற்றம் = 30 K
வெப்பம் Q = 0.5×4184×30 = 62.76 kJ
சுழற்சி நிகழ்வு
எடுத்துக்காட்டு 8.22
வெப்ப இயக்கவியல் அமைப்பின் PV வரைபடங்கள் படத்தில் காட்டப்பட்டுள்ளன. ஒவ்வொரு சுற்று நிகழ்விற்குமான மொத்த வேலையைக் கணக்கிடுக.

தீர்வு
நேர்வு a) மூடப்பட்டப் பாதையின் திசை இடஞ்சுழியாக உள்ளது. இதிலிருந்து, அமைப்பின் மீது செய்யப்பட்ட வேலை, அமைப்பினால் செய்யப்பட்ட வேலையை விட அதிகமாகும். BC வளைகோட்டிற்குக் கீழே உள்ள பரப்பு வாயுவின் மீது செய்யப்பட்ட வேலையைக் கொடுக்கும் (அழுத்தம் மாறா அமுக்கம்). மேலும் DA வளைகோட்டிற்குக் கீழே உள்ள பரப்பு அமைப்பினால் செய்யப்பட்ட மொத்த வேலையைக் கொடுக்கும்.
BC வளைகோட்டிற்குக் கீழே உள்ள பரப்பு = செவ்வகம் B C 12 வின் பரப்பு = 1 × 4 = - 4J
இங்கு எதிர்க்குறி அமைப்பின் மீது செய்யப்பட்ட வேலையைக் குறிக்கிறது
DA வளைகோட்டிற்குக் கீழே உள்ள பரப்பு = 1 × 2 = + 2J
சுற்று நிகழ்வினால் செய்யப்பட்ட தொகுபயன் வேலை = -4 + 2 = -2J
நேர்வு (b): மூடப்பட்ட பாதையின் திசை வலஞ்சுழியாக உள்ளது. எனவே செய்யப்பட்ட வேலையின் தொகுபயன் மதிப்பு நேர்க்குறியாகும். அமைப்பின் மீது செய்யப்பட்ட வேலை, அமைப்பினால் செய்யப்பட்ட வேலையை விடக் குறைவானது என்பதை இதிலிருந்து அறியலாம்.
BC வளைகோட்டிற்குக் கீழே உள்ள பரப்பு வாயுவின்மீது செய்யப்பட்ட வேலையைக் கொடுக்கும் (அழுத்தம் மாறா அமுக்கம்). மேலும் AB வளைகோட்டிற்குக் கீழே உள்ள பரப்பு அமைப்பினால் செய்யப்பட்ட மொத்த வேலையைக் கொடுக்கும்.
AB வளைகோட்டிற்குக் கீழே உள்ள பரப்பு = (BC12) செவ்வகத்தின் பரப்பு + (A B C)
முக்கோணத்தின் பரப்பு = (1×2) + 1/2 × 1×2 = +3J
BC வளைகோட்டிற்குக் கீழே உள்ள பரப்பு = செவ்வகத்தின் பரப்பு = 1 × 2 = -2J
சுழற்சி நிகழ்வில் செய்யப்பட்ட தொகுபயன் வேலை = 1J இது ஒரு நேர்க்குறி மதிப்பாகும்.
நேர்வு (c) மூடப்பட்ட பாதையின் திசை இடஞ்சுழியாக உள்ளது. எனவே தொகுபயன் வேலை எதிர்க்குறியாகும். அமைப்பின் மீது செய்யப்பட்ட வேலை அமைப்பினால் செய்யப்பட்ட வேலையைவிட அதிகம் என்று இது காட்டுகிறது. AB வளைகோட்டிற்குக் கீழே உள்ள பரப்பு வாயுவின் மீது செய்யப்பட்ட வேலையைக் கொடுக்கும். (அழுத்தம் மாறா அமுக்கம்). மேலும் CA வளைகோட்டிற்குக் கீழே உள்ள பரப்பு அமைப்பினால் செய்யப்பட்ட மொத்த வேலையைக் கொடுக்கும்.
AB வளைகோட்டிற்குக் கீழே உள்ள பரப்பு = செவ்வகத்தின் பரப்பு = 4 × 1 = -4J
CA வளைகோட்டிற்குக் கீழே உள்ள பரப்பு = செவ்வகத்தின் பரப்பு + முக்கோணத்தின் பரப்பு = (1×2) + 1/2 × 1×2 = +3J
சுற்றுநிகழ்வினால் செய்யப்பட்ட மொத்த வேலை = -1J. இது ஒரு எதிர்க்குறி மதிப்பாகும்.
மீள் நிகழ்வு
எடுத்துக்காட்டு 8.23
மீளா செயல்முறைக்கான சில எடுத்துக்காட்டுகளைக் கூறுக.
இயற்கையாக நடைபெறும் அனைத்து நிகழ்வுகளும் மீளா நிகழ்வுகள் ஆகும். சில ஆர்வமூட்டும் எடுத்துக்காட்டுகளை இங்கு காண்போம்.
(a) வாயு அடைத்து வைக்கப்பட்ட குடுவையை திறந்தவுடன், குடுவையில் இருந்த வாயு மூலக்கூறுகள் மெதுவாக அறை முழுவதும் பரவுகின்றன. அவை மீண்டும் குடுவைக்கு வருவதில்லை

(b) பேனா மைத்துளி சொட்டு ஒன்றைத் தண்ணீரில் விடும்போது, மைத்துளி தண்ணீரில் மெதுவாக பரவும். அந்த பரவிய மைத்துளி மீண்டும் ஒன்று சேராது.
(c) சற்றே உயரமான இடத்திலிருந்து விழும் பொருள் தரையை அடைந்த உடன், பொருளின் மொத்த இயக்க ஆற்றல் தரையின் மூலக்கூறுகளின் இயக்க ஆற்றலாக மாற்றமடைகிறது. அதில் ஒரு சிறுபகுதி ஒலி ஆற்றலாக இழக்கப்படுகிறது. தரையின் மூலக்கூறுகளுக்கு மாற்றமடைந்த இயக்க ஆற்றலை மீண்டும் ஒன்றிணைத்து பொருள் தானாகவே மேலே செல்ல இயலாது.
வெப்ப இயக்கவியலின் முதல் விதியின்படி மேலே கூறப்பட்ட அனைத்து நிகழ்ச்சிகளும் எதிர்த்திசையில் நடக்கவும் சாத்தியமுண்டு. ஆனால் வெப்ப இயக்கவியலின் இரண்டாம் விதி இந்நிகழ்ச்சிகளை எதிர்த்திசையில் நடக்க அனுமதிக்காது. இயற்கையின் முக்கிய விதிகளில் வெப்ப இயக்கவியலின் இரண்டாம் விதியும் ஒன்றாகும். இவ்விதி இயற்கை நிகழ்வுகள் நடைபெறும் திசையை தீர்மானிக்கிறது.
தீர்க்கப்பட்ட எடுத்துக்காட்டு கணக்குகள் வெப்ப இயந்திரம்
எடுத்துக்காட்டு 8.24
ஒரு வெப்ப இயந்திரம் அதன் சுழற்சி நிகழ்வின் போது 500J வெப்பத்தை வெப்பமூலத்திலிருந்து பெற்றுக்கொண்டு ஒரு குறிப்பிட்ட வேலையை செய்தபின்னர் 300 J வெப்பத்தை சூழலுக்கு (வெப்ப ஏற்பிக்கு) கொடுக்கிறது. இந்நிபந்தனைகளின்படி அந்த வெப்ப இயந்திரத்தின் பயனுறு திறனைக் காண்க.
தீர்வு
வெப்ப இயந்திரத்தின் பயனுறுதிறன்

வெப்ப இயந்திரத்தின் பயனுறுதிறன் 40% இதிலிருந்து வெப்ப இயந்திரம் கொடுக்கப்பட்ட வெப்பத்தில் 40% மட்டுமே வேலையாக மாற்றியுள்ளது என்பதை அறியலாம்.
எடுத்துக்காட்டு 8.25
250°C வெப்பநிலையிலுள்ள நீராவி இயந்திரத்தைப் பயன்படுத்தி தண்ணீர் நீராவியாக மாற்றப்படுகிறது. நீராவியினால் வேலை செய்யப்பட்டு, சூழலுக்கு 300 K வெப்பநிலையில் வெப்பம் வெளியேற்றப்படுகிறது எனில், நீராவி இயந்திரத்தின் பெரும் பயனுறு திறனைக் காண்க.
தீர்வு
நீராவி இயந்திரம் கார்னோ இயந்திரம் அல்ல. ஏனெனில் நீராவி இயந்திரத்தில் செய்யப்படும் சுழற்சி நிகழ்வுகள் அனைத்தும் முழுமையான மீள் நிகழ்வுகள் அல்ல. இருப்பினும் இதனை ஒரு கார்னோ இயந்திரம் எனக்கருதி அதன் பெரும் பயனுறுதிறனைக் கணக்கிடலாம்.

நீராவி இயந்திரத்தின் பெரும் பயனுறுதிறன் 43% ஆகும். கொடுக்கப்பட்ட வெப்பத்தில் 43% மட்டுமே பயன்தரும் வேலையாக மாற்றப்படுகிறது என்பதை இது காட்டுகிறது. மீதமுள்ள 57% வெப்பம் வெளியேற்றப்படுகிறது. ஆனால் நடைமுறையில் நீராவி இயந்திரத்தின் பயனுறுதிறன் 43% விடக் குறைவாகும்.
எடுத்துக்காட்டு 8.26
A மற்றும் B என்ற இரண்டு கார்னோ இயந்திரங்கள் வெவ்வேறு வெப்பநிலையில் செயல்படுகின்றன. A கார்னோ இயந்திரத்தின் வெப்ப மூலம் மற்றும் வெப்ப ஏற்பியின் வெப்பநிலைகள் முறையே 150°C மற்றும் 100°C. இதேபோன்று B இயந்திரத்திற்கு 350°C மற்றும் 300°C. இவற்றுள் எந்த இயந்திரத்தின் பயனுறுதிறன் குறைவானது?
தீர்வு
A இயந்திரத்தின் பயனுறுதிறன் A = 1 − 373/423 = 0.11.
A இயந்திரத்தின் பயனுறுதிறன் 11% ஆகும்.
B இயந்திரத்தின் பயனுறுதிறன் B = 1 - 573/623 = 0.08
B இயந்திரத்தின் பயனுறுதிறன் 8% மட்டுமே.
இரண்டு இயந்திரங்களிலும் உள்ள வெப்ப மூலம் மற்றும் வெப்ப ஏற்பியின் வெப்பநிலை வேறுபாடுகள் சமமாக இருந்தாலும் அவற்றின் பயனுறுதிறன்கள் சமமில்லை. ஏனெனில் பயனுறுதிறன் வெப்பநிலைகளின் விகிதத்தைச் சார்ந்தவை, வேறுபாட்டைச் சார்ந்ததல்ல. எந்த இயந்திரம் குறைந்த வெப்பநிலையில் இயங்குகிறதோ அதன் பயனுறுதிறன் பெருமமாக இருக்கும்.
தீர்க்கப்பட்ட எடுத்துக்காட்டு கணக்குகள் குளிர்சாதனப்பெட்டி
எடுத்துக்காட்டு 8.27
குளிர்சாதனப்பெட்டி ஒன்றின் COPயானது 3 ஆகும். 200 J வெப்பத்தை குளிர்சாதனப்பெட்டியிலிருந்து வெளியேற்ற வேண்டுமெனில் எவ்வளவு வேலை செய்யப்பட வேண்டும்?
தீர்வு

வெப்பமும் வெப்ப இயக்கவியலும் (இயற்பியல்)
பயிற்சி கணக்குகள்
1. படத்தில் காட்டப்பட்டுள்ள பலூனில் எத்தனை மோல்கள் காற்று நிரப்பப்பட்டுள்ளது என்பதை அறை வெப்ப நிலையில் கணக்கிடுக.

பலூனின் ஆரம் 10 செ.மீ. மற்றும் பலூனில் உள்ளே அழுத்தம் 180 kPa என்க.
கொடுக்கப்பட்டவை:
• பலூனின் ஆரம் 10 cm (அ) 10 × 10-2 m
• பலூனின் உள்ளே அழுத்தம் (P) = 180 kPa (அ) 180000 Pa (அ) 1.8 × 105Pa
• அறை வெப்பநிலை (T) = 273 + 30 = 303 k
• பலூனில் உள்ள காற்றில் மோல்களின் எண்ணிக்கை = ?
(μ = VP/RT)
• (R = 8.314J/mol.k)
தீர்வு:

μ = 0.3 mol
விடை: μ ≅ 0.3 mol
2. செவ்வாய்க்கோளின் சராசரி வெப்பநிலை கிட்டத்தட்ட -53•C மற்றும் அதன் வளிமண்டல அழுத்தம் 0.9 kPa எனில் செவ்வாய்கோளின் ஓரலகு பருமனில் உள்ள மூலக்கூறுகளின் எண்ணிக்கையை மோல்களில் கணக்கிடுக. புவியில் ஓரலகு பருமனில் உள்ள மோல்களின் எண்ணிக்கையுடன் ஒப்பிடுக.
கொடுக்கப்பட்டவை:
• செவ்வாய்க்கோளின் சராசரி வெப்பநிலை கிட்டத்தட்ட (T) = -53°C
• செவ்வாய்க்கோளின் வளிமண்டல அழுத்தம் (P) = 0.9 Kpa
• ஓரலகு பருமனில் உள்ள மூலக்கூறுகளின் எண்ணிக்கை = 1 m3
• மோல்களின் எண்ணிக்கை μ = ?
(R = 8.314 Jmol-1k-1)
தீர்வு :


3. வெப்பம் கடத்தா கொள்கலனில் உள்ள இரண்டு அறைகள் வெப்பம் கடத்தா தடுப்பு ஒன்றினால் பிரிக்கப்பட்டுள்ளன. ஒரு அறையில் உள்ள வாயுவின் வெப்பநிலை T1, அழுத்தம் P1, மற்றும் பருமன் V1, மற்றொரு அறையில் உள்ள வாயுவின் வெப்பநிலை T2, அழுத்தம் P2, மற்றும் பருமன் V2, வாயுவின் மீது எவ்வித வேலையும் செய்யாமல் தடுப்புச் சுவர் மட்டும் நீக்கப்பட்டால் கொள்கலனில் உள்ள வாயுவின் இறுதி சமநிலை வெப்பநிலை என்ன?
கொடுக்கப்பட்டவை:
• இரண்டு அறைகள் கொண்ட வெப்பம் கடத்தா கொள்கலன் உள்ளது.
• ஒரு அறையில் வாயுவின், வெப்பநிலை (T1), அழுத்தம் (P1) மற்றும் பருமன் (V1)
• மற்றொரு அறையில் - வாயுவின், வெப்ப நிலை (T2), அழுத்தம் (P2) மற்றும் பருமன் (V2)
• வாயுவின் இறுதி சமநிலை வெப்பநிலை (T) = ?
தீர்வு:
ஆற்றல் அழிவின்மை விதிப்படி,


4. நீள் விரிவுக்கோணம் αL கொண்ட L நீளமுடைய சீரான தண்டின் வெப்பநிலையில் ஏற்படும் மாறுபாடு ∆T என்க. தண்டின் அச்சுக்கு செங்குத்தாக, அதன் நிறைமையம் வழியே செல்லும் அச்சைப் பொருத்து அத்தண்டின் புதிய நிலைமத்திருப்புத்திறனைக் காண்க.
கொடுக்கப்பட்டவை :
• சீரான தண்டின் நீளம் = L
• சீரான தண்டின் நீள் விரிவுக்குணகம் = αL
• சீரான தண்டின் வெப்பநிலையில் ஏற்படும் மாறுபாடு = ∆T
• தண்டின் (புதிய) நிலைமத் திருப்புத்திறன் I = ?
தீர்வு:
• தண்டின் அச்சுக்கு செங்குத்தான புதிய தண்டின் நிலைமத் திருப்புத்திறன் I = ml2 / 12 ............ (1)
• தண்டினை சூடுபடுத்தும்போது, தண்டின் நீளத்தில் ஏற்படும் விரிவு ∆l
∆l = l αL ∆T................... (2)
• புதிய நிலைமத்திருப்புத்திறன், I’ = (I + ∆l)2

விடை: I' = I (1 + αL ∆T)2
5. a) பருமன் மாறா நிகழ்வு b) வெப்பநிலைமாறா நிகழ்வு c) அழுத்தம் மாறா நிகழ்வு இவைகளுக்கான TP வரைபடம் (P-x அச்சு, T-y அச்சு) மற்றும் VT வரைபடம் (T-x அச்சு, a அச்சு) அச்சில் காண்க.
a) பருமன் மாறா நிகழ்வு: (V = Vo = மாறிலி)
b) வெப்பநிலை மாறா நிகழ்வு
c) அழுத்தம் மாறா நிகழ்வு
தீர்வு:
a) பருமன் மாறா நிகழ்வு: (V = Vo = மாறிலி)

6. அதிகாலையில் சைக்கிளில் செல்லும் ஒருவர் 25°C வெப்ப நிலையில் சைக்கிளின் காற்றழுத்தத்தை 500 kPa என அளவிடுகிறார். பிற்பகலில் அவர் சைக்கிளின் காற்றழுத்தத்தை அளவிடும்போது அது 520 kPa ஆக உள்ளதெனில் பிற்பகலில் சைக்கிள் டயரின் வெப்பநிலை என்ன? (இங்கு டயரின் வெப்ப விரிவை புறக்கணிக்கவும்)
கொடுக்கப்பட்டவை:
• அதிகாலையில் சைக்கிள் டயரின் வெப்பநிலை (T1) = 25°C
= 25 + 273
= 298 k
• பிற்பகலில் சைக்கிள் டயரின் வெப்பநிலை (T2)=?
• ஆரம்ப காற்றழுத்தம் - 500 kPa (P1)
• அதிகரித்த காற்றழுத்தம் – 520 kPa (P2)
தீர்வு:

பிற்பகலில் சைக்கிள் டயரின் வெப்பநிலை T = 36.9°C
விடை: T = 36.9°C
7. மனித உடலின் சாதரண வெப்பநிலை 98.6°F அதிக காய்ச்சலின்போது உடலின் வெப்பநிலை 104°F ஆக உயர்ந்தால் உடலிலிருந்து வெளிப்படும் வெப்பக்கதிர் வீச்சின் அலைநீளத்தின் பெருமமதிப்பைக் கணக்கிடுக. (இங்கு மனித உடலை ஒரு கரும்பொருள் எனக் கருதுக)
கொடுக்கப்பட்டவை:
• மனித உடலின் சாதாரண வெப்பநிலை - 98.6°F
• அதிக காய்ச்சலின் போது உடலின் வெப்பநிலை - 104°F
• காய்ச்சலின் போது, வெப்பக்கதிர் வீச்சின் அளவு - ?
தீர்வு:
i) சாதாரண வெப்பநிலை T = 98.6°F
செல்சியஸில், C = (F - 32) ÷ 1.8
C = (98.6 - 32) ÷ 1.8
C = 37°C
கெல்வினில், K = 273 + 37 = 310 k

ii) காய்ச்சலின் வெப்பநிலை T = 104°F
செல்சியஸில் C = (F - 32) ÷ 1.8
= (104 - 32) ÷ 1.8
= 40°C
கெல்வினில், K = 40 + 273 = 313k

= 9259 × 10-9 m
λm = 9259 nm
விடை: (a) λmax ≈ 9348 nm at 98.6°F (b) λmax ≈ 9258 nm at 104°F
8. வெப்பப்பரிமாற்றமில்லா நிகழ்வில் காற்றின் பருமன் 4% அதிகரித்துள்ளது எனில் அழுத்த மாற்றத்தின் சதவிகிதம் என்ன? (காற்றுக்கு γ = 1.4).
கொடுக்கப்பட்டவை:
• காற்றின் பருமன் அதிகரிப்பு = 4%
• அழுத்த மாற்றத்தின் சதவிகிதம் = ?
தீர்வு:

= -1.4 × 4 = -5.6%
அழுத்த மாற்றத்தின் சதவிகிதம் = -5.6%
எதிர்க்குறி என்பது அழுத்தம் குறைவதைக் காட்டுகிறது.
விடை: 5.6%
9. பெட்ரோல் இயந்திரமொன்றில் (உள் எரி இயந்திரம்) வளிமண்டல அழுத்தத்தில் 20°C வெப்பநிலையிலுள்ள - காற்று பிஸ்டன் ஒன்றின் மூலம் இறுதி பருமன் அதன் தொடக்க பருமனில் 1/8 பங்கு உள்ளவாறு அமுக்கப்படுகிறது. அமுக்கப்பட்ட காற்றின் வெப்பநிலையைக் கணக்கிடுக. (காற்றுக்கு γ =1.4).
கொடுக்கப்பட்டவை:
• காற்றின் வெப்பநிலை (T1) = 20°C = (20 + 273 = 293 k)
• இங்கு வளிமண்டல அழுத்தமானது 1 atm ஆகும்.
• தொடக்க பருமன் (V1) = Vm3 என்க
• அழுத்தப்பட்ட காற்றின் பருமன் = 1/8 × தொடக்க பருமன்
புதிய பருமன் (V2) = 1/8 Vm3
• அமுக்கப்பட்ட காற்றின் வெப்பநிலை (T2) = ?
தீர்வு :
PV P2V2

அமுக்கப்பட்ட காற்றின் வெப்பநிலை = 400°C
விடை: T ≅ 400°C
10. வெப்பநிலை மாறா, பருமன் மாறா மற்றும் அழுத்தம் மாறா சுழற்சி நிகழ்வுகளைக் காட்டும் P - V வரைபடம் கீழே காட்டப்பட்டுள்ளது.

இதே சுழற்சி நிகழ்வினைக்காட்டும் V - T வரைபடம் (T - x அச்சிலும், V - y அச்சிலும்) வரைந்து, ஒவ்வொரு நிகழ்விலும் வெப்பம் பரிமாற்றப்படும் முறையினை ஆய்வு செய்க.

விடை:
நிகழ்வு 1 - 2 = பருமன் அதிகரிக்கிறது. எனவே அமைப்பிற்கு வெப்பம் அளிக்கப்படுகிறது.

நிகழ்வு 2 - 3 = பருமன் மாறாமல், வெப்பநிலை உயர்கிறது. இதிலிருந்து அளிக்கப்பட்ட வெப்பம் அமைப்பின் அக ஆற்றலை உயர்த்த பயன்படுகிறது என அறியலாம்.

நிகழ்வு 3 - 1 = அழுத்தம் மாறாமல், பருமனும் வெப்பநிலையும் குறைகின்றன. அமைப்பிலிருந்து வெப்பம் வெளியேறுகிறது. இது ஒரு அழுத்தம் மாறா அமுக்கமாகும் மேலும் அமைப்பின் மீது வேலை செய்யப்படுகிறது.

11. நல்லியல்பு வாயு ஒன்றின் சுழற்சி நிகழ்வினைக் காட்டும் பின்வரும் படத்திலிருந்து கீழ்க்கண்டவற்றைக் காண்க.
a) வாயுவால் செய்யப்பட்ட வேலை
b) வாயுவின் மீது செய்யப்பட்ட வேலை
c) இந்நிகழ்வில் செய்யப்பட்ட தொகுபயன் வேலை

தீர்வு:
a) வாயுவால் செய்யப்பட்ட வேலை (ABவழியே)
WAB = area (∆ABC] + area [BC × B6]
= (1/2 × AC × CB) = (CB × B6)
= (1/2 × 200 × 3 ) + 3 (400)
= 300 + 1200 = 1500J
WAB = 1.5 KJ
b) வாயுவின் மீது செய்யப்பட்ட வேலை (BCவழியே)
WBc = - P∆V
= -400 × (6-3) ⇒1200 J (or) -1.2 kJ
c) இந்நிகழ்வில் செய்யப்பட்ட தொகுபயன் வேலை
W = WAB + WBc
= 1.5 + (-1.2)
= 0.3 kJ
W = 300 J
விடை: (a) W = +1.5kJ
(b) W = −1.2kJ
(c) W = +300J.
12. வளிமண்டல அழுத்தத்திலுள்ள நல்லியல்பு வாயுவிற்கு வெப்பம் அளிக்கப்படுகிறது. இதனால் வாயுவின் பருமன் 4m3 இல் இருந்து 6m3 க்கு அதிகரிக்கிறது எனில் பின்வருவனவற்றைக் கணக்கிடுக.
(a) வாயுவால் செய்யப்பட்ட வேலை
(b) வாயுவின் அக ஆற்றலில் ஏற்படும் மாற்றம்
(c) P - V வரைபடம் மற்றும் V - T வரைபடங்களில் இந்நிகழ்வுகளை வரைந்து காட்டுக.
கொடுக்கப்பட்டவை:
• வாயுவிற்கு வெப்பம் அளிக்கப்படுகிறது.
• வாயுவின் பருமன் 4m3 லிருந்து 6m3 க்கு அதிகரிக்கிறது.
∆V = (6 - 4)
∆V = 2 m3
• வாயுவிற்கு அளிக்கப்படும் வெப்பம் Q = 6 × 105J
தீர்வு :
a) வாயுவால் செய்யப்பட்ட வேலை W = P∆V
= 1.013 × 105 × 2 ⇒ 2.026 × 105
W = 202.6 kJ
b) வாயுவின் அக ஆற்றலில் ஏற்படும் மாற்றம்
∆U
U = Q – P∆V
= 6 × 105 - 2.026 × 105
= 3.974 × 105J (or) 397.4 kJ
U = 397.4 kJ

விடை: (a) W = +202.6 kJ
(b) dU = 397.4 kJ

13. 100°C மற்றும் 300°C வெப்பநிலை வேறுபாட்டில் செயல்படும் மீள் நிகழ்வில் வெப்ப இயந்திரம் ஒன்றின் பயனுறுதிறனை அதிகரிக்க விரும்பும் ஒருவர் பின்வரும் இரண்டு வழிமுறைகளில் எவ்வழிமுறையைப் மேற்கொள்வது மிகுந்த பயனளிக்கும்.
a) வெப்ப மூலத்தின் வெப்பநிலையை மாறாமல் வைத்துக்கொண்டு மூலத்தின் வெப்ப ஏற்பியின் நிலையை 100°C யிலிருந்து மற்றும் 50°C க்கு குறைத்தல்.
b) வெப்ப ஏற்பியின் மூலத்தின் வெப்பநிலையை மாற்றாமல் வைத்துக்கொண்டு வெப்பமூலத்தின் வெப்பநிலையை 300°C லிருந்து 350°C க்கு உயர்த்துதல்.
தீர்வு :
a) வெப்ப ஏற்பியின் நிலையை 100°C லிருந்து 50°C க்கு குறைத்தல் (100°C → 50°C) (வெப்பமூலத்தின் வெப்பநிலை மாறாமல்)

η = 43.6%
b) வெப்பமூலத்தின் வெப்பநிலையை 300°C லிருந்து 350°C க்கு உயர்த்துதல் (300°C → 350°C) (வெப்ப ஏற்பியின் வெப்பநிலை மாறாமல்)

η = 40.1%
இதிலிருந்து, செயல்முறை (a), ஆனது, செயல் முறை (b) - ஐ விட அதிக பயனுறு திறன் உள்ளது என்பதை அறியலாம்.
விடை: தொடக்க பயனுறுதிறன் = 34.9%
செயல்முறை (a) யில் பயனுறுதிறன் = 43.6 %
செயல்முறை (b) யில் பயனுறுதிறன் = 40.1 %
செயல்முறை (a) மிகவும் அதிக பயனுறுதிறன் உள்ளது.
14. வெப்ப மூலத்தின் வெப்பநிலை 327°C உள்ள கார்னோ இயந்திரத்தின் பயனுறுதிறன் 45% இதே கார்னோ இயந்திரத்தில் பயனுறு திறனை 60% ஆக உயர்த்த வேண்டுமென்றால், வெப்ப மூலத்தின் வெப்பநிலை எவ்வளவு இருக்க வேண்டும்?
(குறிப்பு: இங்கு இரண்டு நேர்வுகளிலும் வெப்ப ஏற்பியின் வெப்பநிலை சமம்)
கொடுக்கப்பட்டவை:
• கார்னோ இயந்திரத்தின் வெப்பநிலை (T1) = 327°C (327 + 273 = 600k)
• கார்னோ இயந்திரத்தின் பயனுறுதிறன் (η1) = 45% ( 45/100 = 0.45)
• இரண்டு நேர்வுகளிலும் வெப்பநிலை சமம். எனவே (T2) = 327°C
• உயர்த்தப்பட்ட கார்னோ இயந்திரத்தின் பயனுறுத்திறன் (η2) = 60% (0.60)
• உயர்த்தப்பட்ட கார்னோ இயந்திரத்தின் வெப்பநிலை (TH) = ?
தீர்வு:

விடை: = 552°C
15. இலட்சிய குளிர்பதனப்பெட்டி ஒன்று அதில் வைக்கப்பட்டுள்ள பொருள்களின் வெப்பநிலையை 0°C ல் வைத்திருக்கின்றது. குளிர்பதனப்பெட்டி வைக்கப்பட்டுள்ள அறையின் வெப்பநிலை 27°C எனில் அக்குளிர்பதனப்பெட்டியின் செயல்திறன் குணகத்தைக் (COP) காண்க.
கொடுக்கப்பட்டவை :
• குளிர்பதனப்பெட்டியிலுள்ள பொருள்களின் வெப்பநிலை (TL) = 0°C
• குளிர்பதனப்பெட்டி வைக்கப்பட்டுள்ள அறையின் வெப்பநிலை (TH) = 27°C
• செயல்திறன் குணகம் (β) = ?
தீர்வு:
TL = 0°C + 273 = 273 k
TH = 27°C + 273 = 300 k

குளிர்பதனப் பெட்டியின் செயல்திறன் குணகம் = 10.11 ஆகும்.
விடை: β=10.11