கட்ட விளக்கப்படம், சுற்று வரைபடம்,சூத்திரம்,தீர்க்கப்பட்ட எடுத்துக்காட்டு சிக்கல்கள் | மாறுதிசைமின்னோட்டம் - மின்தடையாக்கி, மின்தூண்டி மற்றும் மின்தேக்கி ஆகியவற்றை தொடரிணைப்பில் கொண்ட AC சுற்று - தொடர் RLC சுற்று | 12th Physics : UNIT 4 : Electromagnetic Induction and Alternating Current
மின்தடையாக்கி, மின்தூண்டி மற்றும் மின்தேக்கி
ஆகியவற்றை தொடரிணைப்பில் கொண்ட AC சுற்று - தொடர் RLC சுற்று
ஒரு மாறுதிசை மின்னோட்ட மூலத்திற்கு குறுக்காக
மின்தடை R கொண்ட மின்தடையாக்கி, மின்தூண்டல் எண் ட கொண்ட மின்தூண்டி மற்றும் மின்தேக்குத்திறன்
C கொண்ட மின்தேக்கி ஆகியவற்றை தொடரிணைப்பில் கொண்ட சுற்று ஒன்றைக் கருதுக (படம்
446). செலுத்தப்பட்ட மாறுதிசை மின்னழுத்த வேறுபாட்டின் கணநேர மதிப்பானது


சுற்றில் அக்கணத்தில் விளையும் மின்னோட்டம்
1 என்க. அதன் விளைவாக R, L மற்றும் C - க்கு குறுக்காக மின்னழுத்த வேறுபாடு உருவாகிறது.
R க்கு குறுக்கே உள்ள மின்னழுத்த வேறுபாடு
(VR), 1 உடன் ஒரே கட்டத்தில் உள்ளது. 1 க்கு குறுக்கே உள்ள மின்னழுத்த வேறுபாடு
(V1), i ஐ விட π/2 முந்தி உள்ளது மற்றும் C-க்கு குறுக்கே
உள்ள மின்னழுத்த வேறுபாடு (VC), i ஐ விட π/2 பின்தங்கி
உள்ளது என்பதை நாம் அறிவோம்.
மின்னோட்டம் மற்றும் மின்னழுத்த வேறுபாடுகளின்
கட்ட விளக்கப்படம் வரையப்படுகிறது. மின்னோட்டமானது கட்ட வெக்டர்
ஆல் குறிக்கப்படுகிறது.
படம் 4.47 இல் காட்டியுள்ளவாறு VR VL மற்றும் VC
ஆகிய மின்னழுத்த வேறுபாடுகள் முறையே
மற்றும்
என்கிற கட்ட வெக்டர்களால்
குறிக்கப்படுகின்றன.

இந்த கட்ட வெக்டர்களின் நீளம் VI
மற்றும் VC இன் மதிப்பைப் பொருத்து மின்சுற்றானது, மின்தூண்டல் அல்லது மின்தேக்கி
அல்லது மின்தடைப் பண்புள்ளதாக அமையும். VI > VC என நாம் கருதுவோம்.
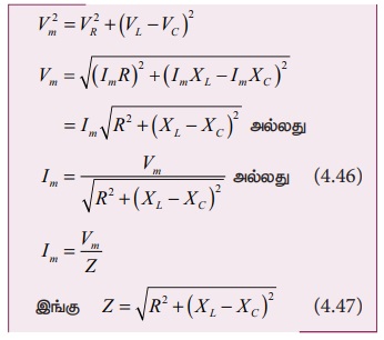
எனவே, L-C இணைக்கு குறுக்கே உள்ள நிகர மின்னழுத்த வேறுபாடு VI - VC
ஆகும். இது கட்ட வெக்டர்
ஆல் குறிக்கப்படுகிறது.

இணைகர விதியின்படி, மூலைவிட்டம்
ஆனது
VB மற்றும் (VI - VC) ஆகியவற்றின் தொகுபயன் மின்னழுத்த
வேறுபாடு ʋ ஐத்தருகிறது. அதன் நீளம் OE ஆனது Vm...
க்குச் சமமாகும். எனவே

Z என்பது சுற்றின் மின் எதிர்ப்பு
(Impedance) எனப்படுகிறது. இது தொடர் RLC சுற்றால் மின்னோட்டத்திற்கு அளிக்கப்பட்ட
பயனுறு மின் எதிர்ப்பைக் குறிக்கிறது. மின்னழுத்த முக்கோணம் மற்றும் மின் எதிர்ப்பு
முக்கோணம் ஆகியவை படம் 4.48 இல் கொடுக்கப்பட்டுள்ளன.
ʋ மற்றும் I இடையேயான கட்டக்
கோணம் கீழ்க்கண்ட தொடர்பிலிருந்து பெறலாம்.


(i) Xi > Xc எனில்,
(Xi > Xc) நேர்க்குறியாகும் மற்றும் Ø என்ற கட்ட கோணமும்
நேர்க்குறியாகும். இதன் பொருள்: செலுத்தப்பட்ட மின்னழுத்த வேறுபாடு, மின்னோட்டத்தை
விட Ø முந்தி உள்ளது (அல்லது மின்னோட்டம் மின்னழுத்த
வேறுபாட்டை விட Ø பின்தங்கி உள்ளது). மின்சுற்று மின்தூண்டி பண்புடையதாக உள்ளது.

(ii) Xi > Xc எனில்,
(Xi > Xc) எதிர்க்குறியாகும் மற்றும் என்ற கட்ட கோணமும் எதிர்க்குறியாகும்.
இதன் பொருள்: செலுத்தப்பட்ட மின்னழுத்த வேறுபாடு, மின்னோட்டத்தை விட Ø பின்தங்கி உள்ளது (அல்லது மின்னோட்டம் மின்னழுத்த
வேறுபாட்டை விட Ø முந்தி உள்ளது). சுற்றானது மின்தேக்கிப் பண்புடையதாக உள்ளது.

(iii) XI = XC எனில்,
Ø ஆனது சுழி ஆகும். எனவே, மின்னோட்டம் மற்றும் மின்னழுத்த வேறுபாடு ஆகியவை ஒரே கட்டத்தில்
உள்ளன. சுற்றானது மின்தடைப் பண்புடையதாக உள்ளது.
