வரையறை, சூத்திரம், தீர்க்கப்பட்ட எடுத்துக்காட்டு கணக்குகள், பயிற்சி | கணிதம் - முக்கோணத்தின் பரப்பு – ஹிரான்ஸ் சூத்திரம் | 11th Mathematics : UNIT 3 : Trigonometry
முக்கோணத்தின் பரப்பு – ஹிரான்ஸ் சூத்திரம் (Area of Triangle - Heron's Formula)
கிரேக்கப் பொறியாளர் மற்றும் கணிதமேதையான அலக்சாந்திரியாவின் ஹீரோ (கிபி 10-70) இன் பொருட்டு இந்தச் சூத்திரத்திற்கு ஹீரான்ஸ் சூத்திரம் எனப் பெயர் சூட்டப்பட்டுள்ளது. மூன்று பக்கங்களின் நீளங்கள் கொடுக்கப்படும்போது மட்டும் இச்சூத்திரம் பயன்படுகிறது.
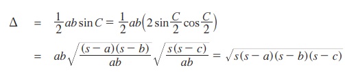
தேற்றம் 3.7
∆ABC இல்
இங்கு S என்பது ∆ABC அரைச் சுற்றளவாகும்.
நிரூபணம் :

குறிப்பு: (i) ஒரு செங்கோண முக்கோணத்திற்கு ஹீரான்ஸ் சூத்திரத்தைப் பயன்படுத்திப் பித்தாகரஸ் தேற்றத்தை நிறுவலாம். இதன் மறுதலையாகச் செங்கோண முக்கோணத்திற்கு, பிதாகரஸ் தேற்றத்தைப் பயன்படுத்தி ஹீரான்ஸ் பரப்புச் சூத்திரத்தை நிறுவலாம்.
(ii) ஒரு முக்கோணத்தின் பரப்பு ஒரு முழு எண் எனில், அதன் முழு எண் நீளங்களைக் கொண்ட பக்கங்களை ஹீரான்ஸ் சூத்திரத்தைப் பயன்படுத்தி கண்டறியலாம்.
(iii) முக்கோணத்தின் சுற்றளவு நிர்ணயிக்கப்பட்டால் ஹீரான்ஸ் சூத்திரத்தைப் பயன்படுத்தி முக்கோணத்தின் முழுஎண் பரப்பளவு மற்றும் முழுஎண் பக்கங்களைக் காணலாம்.
எடுத்துக்காட்டாக, ஒரு முக்கோணத்தின் சுற்றளவு 100 மீ எனில், 32 மீ, 34 மீ, 34 மீ எனும் பக்கங்களும் மற்றும் 480 மீ பரப்பளவுடைய முக்கோணம் ஒன்று கிடைக்கும்.
எடுத்துக்காட்டு 3.57 ∆ABC இல், b2 sin 2C + c2 sin 2B = 2bc sin A என நிறுவுக.
தீர்வு:
என்பது சைன் சூத்திரம்.
எனவே, a = 2Rsin A; b = 2RsinB; c = 2RsinC
b2 sin 2C + c2 sin 2B = 4R2 sin2 Bsin 2C + 4R2 sin-C sin 2B
= 4R2 (2 sin2 BsinCcos C + 2 sin2 CsinB cosB)
= 8R2 sin B sin C(sin B cos C + sin C cos B)
= 8R2 sin B sin C sin (B + C)
= 8R2 sinB sin C sin(π - A) = 8R2 sin B sin C sin A

எடுத்துக்காட்டு 3.58 ∆ABC இல்,
என நிறுவுக.
தீர்வு:

எடுத்துக்காட்டு 3.59 ஒரு முக்கோணத்தின் மூன்று கோணங்களின் விகிதங்கள் 1 : 2 : 3 எனில் அதன் பக்கங்களின் விகிதங்கள் 1:√3 : 2 என நிறுவுக.
தீர்வு:
முக்கோணத்தின் கோணங்கள் θ, 2 θ, 3 θ என்க.
எனவே, θ + 2θ + 3θ = 180°
ஆகவே, θ = 30°

எடுத்துக்காட்டு 3.60 ∆ABC இல், (b + c) cos A + (c + a) cos B + (a + b)cos C = a + b + c என நிறுவுக.
தீர்வு:
இடப்பக்கம் = b cos A + c cos A + c cos B + a cos B + a cos C+ b cos C
= bcos C + c cos B + c cos A + acos C + bcos A + a cos B
= a + b + c (வீழல் சூத்திரத்தின் மூலம்)
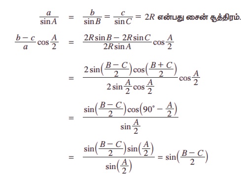
எடுத்துக்காட்டு 3.61 ∆ ABC இல்,
என நிறுவுக.
தீர்வு :

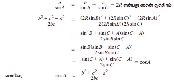
எடுத்துக்காட்டு 3.62 ∆ABC இல், சைன் விதியிலிருந்து கொசைன் விதியை வருவி.
தீர்வு:

இதே போல் மற்ற இரண்டு கொசைன் சூத்திரங்களை வருவிக்கலாம்.
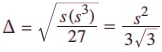
எடுத்துக்காட்டு 3.63 ஹீரான்ஸ் சூத்திரத்தைப் பயன்படுத்தி எந்த ஒரு நிலையான சுற்றளவுக்கும் சமபக்க முக்கோணம் ஒரு மீப்பெரு பரப்பளவைக் கொண்டிருக்கும் எனக் காண்பி. (குறிப்பு: xyz ≤ k இல், x = y = z என்றிருக்கும்போது மீப்பெரு மதிப்பு கிடைக்கும்).
தீர்வு:
∆ ABC இன் நிலையான சுற்றளவு 2s என்க. எனவே, s ஒரு மாறிலி ஆகும்.
என்பது நமக்குத் தெரியும்
(s - a)(s - b) (s - c) என்பது மீப்பெரு மதிப்பாக இருக்கும்போது, ∆ -ம் மீப்பெரு மதிப்பாக இருக்கும் என கவனிக்க.

s – a = s - b = s - c எனும் போது, மேலே உள்ள அசமன்பாடு சமன்பாடாகும்.
a = b = c ஆக இருக்கும்போது, (s - a)(s - b)(s - c) இன் மீப்பெரு மதிப்பு s3/27 ஆக இருக்கும்.
எனவே, a = b = c ஆக இருக்கும்போது, 2s என்ற நிலையான சுற்றளவு உடைய முக்கோணத்தின் பரப்பு மீப்பெரு மதிப்பாகும்.
ஆகவே, நிலையான சுற்றளவு உடைய சமபக்க முக்கோணத்தின் பரப்பு மீப்பெரு மதிப்பாகும்.
இந்த மீப்பெரு மதிப்பானது,
சதுர அலகுகள் ஆகும்.
1. ∆ABC இல்
எனில், a2, b2, c2 ஆகியவை ஒரு கூட்டுத் தொடர் வரிசையில் அமையும் என நிறுவுக.
2. ∆ABC இன் கோணங்கள் ஒரு கூட்டுத் தொடர் வரிசையில் அமையும், மற்றும் b : c = √3:√2 எனில், ∠A ஐக் காண்க.
3. ∆ABC இல் cosC =sin A/2 sin B எனில், அது ஒரு இருசமபக்க முக்கோணம் எனக் காண்பி.
4. ∆ABC இல் sinB/sinC = c- acosB/b - acosC என நிறுவுக.
5. ∆ABC இல் acos A + bcosB + c cos C = 2asinBsinC என நிறுவுக.
6. ∆ABC இல் ∠A = 60° எனில் b + c = 2acos(B-C/2) என நிறுவுக.
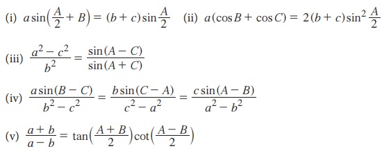
7. ∆ABC இல் பின்வருவனவற்றை நிறுவுக.

8. ∆ABC இல் (a2 - b2 + c2) tanB = (a2 + b2 – c2) tan C என நிறுவுக.
9. ஒரு கிராமத்தில் ஒரு பொறியாளர் 120 மீ சுற்றளவுள்ள முக்கோண வடிவ பூங்காவை வடிவமைக்க முனைகிறார். பூங்காவின் பரப்பு அதிகபட்சமாக இருக்கும்படி அமைக்கப்படும்போது அதன் பக்க அளவுகளைக் காண்க.
10. 12 மீ நீளமுள்ள ஒரு கயிறு கொடுக்கப்பட்டு அதைக் கொண்டு அதிகபட்சப் பரப்புடையமுக்கோணம் அமைக்கப்பட்டால் அதன் பக்க அளவுகளைக் காண்க.
11. (i) சைன் விதி (ii) கொசைன் விதி ஆகியவைகளைப் பயன்படுத்தி வீழல் சூத்திரத்தைவருவி.