இயக்க விதிகள் | அறிவியல் - புத்தக வினாக்கள் விடைகள் | 10th Science : Chapter 1 : Laws of Motion
இயக்க விதிகள் – அறிவியல்
I. சரியான
விடையைத் தேர்வு செய்க.
1. கீழ்க்கண்டவற்றுள்
நிலைமம் எதனைச் சார்ந்தது?
அ) பொருளின் எடை
ஆ) கோளின் ஈர்ப்பு
முடுக்கம்
இ) பொருளின் நிறை
ஈ) அ மற்றும் ஆ
2. கணத்தாக்கு
கீழ்க்கண்டவற்றுள் எதற்குச் சமமானது?
அ) உந்த மாற்று வீதம்
ஆ) விசை மற்றும் கால மாற்ற
வீதம்
இ) உந்த மாற்றம்
ஈ) நிறை வீத மாற்றம்
3. கீழ்கண்டவற்றுள்
நியூட்டனின் மூன்றாம் விதி எங்கு பயன்படுகிறது?
அ) ஒய்வுநிலையிலுள்ள
பொருளில்
ஆ) இயக்க நிலையிலுள்ள
பொருளில்
இ) அ மற்றும் ஆ
ஈ) சமநிறையுள்ள பொருட்களில்
மட்டும்
4. உந்த
மதிப்பை y அச்சிலும் காலத்தினை x அச்சிலும்
கொண்டு ஒரு வரைபடம் வரையப்படுகிறது. இவ்வரைபட சாய்வின் மதிப்பு
அ) கணத்தாக்குவிசை
ஆ) முடுக்கம்
இ) விசை
ஈ) விசை மாற்றவீதம்
5. விசையின்
சுழற்சி விளைவு கீழ்க்காணும் எந்த விளையாட்டில் பயன்படுகிறது?
அ) நீச்சல்போட்டி
ஆ) டென்னிஸ்
இ) சைக்கிள் பந்தயம்
ஈ) ஹாக்கி
6. புவி
ஈர்ப்பு முடுக்கம் g ன் அலகு ms-2 ஆகும்.
இது கீழ்க்காண் அலகுகளில் எதற்கு சமமாகும்
அ) cms-1
ஆ) N Kg-1
இ) N m2 kg-1
ஈ) cm2 s-2
7. ஒரு
கிலோகிராம் எடை என்பது -------------------- ற்கு சமமாகும்.
அ) 9.8 டைன்
ஆ) 9.8 x 104 N
இ) 98 x 104 டைன்
ஈ) 980 டைன்
8. புவியில்
M நிறை கொண்ட பொருள் ஒன்று புவியின் ஆரத்தில் பாதி அளவு ஆரம்
கொண்ட கோள் ஒன்றிற்கு எடுத்துச் செல்லப்படுகிறது. அங்கு அதன் நிறை மதிப்பு
அ) 4M
ஆ) 2M
இ)
M/4
ஈ) M
9. நிறை
மதிப்பு மாறாமல் புவியானது தனது ஆரத்தில் 50 % சுருங்கினால்
புவியில் பொருள்களின் எடையானது
அ)
50% குறையும்
ஆ)
50% அதிகரிக்கும்
இ)
25% குறையும்
ஈ)
300% அதிகரிக்கும்
10. ராக்கெட்
ஏவுதலில் -------------------- விதி/கள் பயன்படுத்தப்படுகிறது.
அ) நியூட்டனின்
மூன்றாம் விதி
ஆ) நியூட்டனின்
பொது ஈர்ப்பியல் விதி
இ) நேர்
கோட்டு உந்த மாறாக் கோடுட்பாடு
ஈ) அ
மற்றும் இ
II. கோடிட்ட
இடங்களை நிரப்புக.
1. இடப்பெயர்ச்சி
நிகழ்வதற்கு விசை தேவை.
2. நகர்ந்து கொண்டு உள்ள ஊர்தியில்
திடீர் தடை ஏற்பட்டால், பயணியர் முன்நோக்கி
சாய்கின்றனர். இந்நிகழ்வு இயக்கத்தில் நிலைமம் மூலம் விளக்கப்படுகிறது.
3. மரபுரீதியாக வலஞ்சுழி
திருப்புத்திறன் எதிர் குறியிலும் இடஞ்சுழித் திருப்புத்திறன் நேர் குறியிலும் குறிக்கப்படுகிறது.
4. மகிழுந்தின் வேகத்தினை மாற்ற பற்சக்கரங்கள் பயன்படுகிறது.
5. 100 கி.கி நிறையுடைய மனிதனின் எடை புவிப்பரப்பில் 980 N அளவாக இருக்கும்.
III. சரியா? தவறா? தவறு எனில் கூற்றினை திருத்துக.
1. துகள் அமைப்பில் ஏற்படும்
நேர்க்கோட்டு உந்தம் எப்போதும் மாறிலியாகும்.
விடை: தவறு
சரியான விடை: துகள் அமைப்பில் ஏற்படும் நேர்க்கோட்டு உந்தம் புறவிசை தாக்காத வரையில்
மாறிலியாகும்.
2. பொருளொன்றின் தோற்ற எடை
எப்போதும் அதன் உண்மையான எடைக்கு சமமாக இருக்கும்.
விடை: தவறு
சரியான விடை: பொருளொன்றின் தோற்ற எடை அதன்
உண்மையான எடைக்கு சமமாக இருக்காது.
3. பொருட்களின் எடை
நிலநடுக்கோட்டுப்பகுதியில் பெருமமாகவும், துருவப்பகுதியில்
குறைவாகவும் இருக்கும்.
விடை: தவறு
சரியான விடை: பொருட்களின் எடை துருவப்பகுதியில்
பெருமமாகவும் நிலநடுக்கோட்டுப்பகுதியில் குறைவாகவும் இருக்கும்.
4. திருகுமறை (Screw) ஒன்றினை குறைந்த கைப்பிடி உள்ள திருகுக்குறடு (spanner) வைத்து திருகுதல், நீளமான கைப்பிடி கொண்ட
திருகுக்குறடினை வைத்து திருகுதலை விட எளிதானதாகும்.
விடை: தவறு
சரியான விடை: திருகுமறை ஒன்றினை நீளமான கைப்பிடி உள்ள திருகுக்குறடு வைத்து திருகுதல்
குறைந்த கைப்பிடி கொண்ட திருகுக்குறடினை வைத்து திருகுதலை விட எளிதாகும்.
5. புவியினை சுற்றி வரும்
விண்வெளி மையத்தில் உள்ள விண்வெளி வீரர், புவிஈர்ப்பு விசை
இல்லாததால் எடையிழப்பை உணர்கிறார்.
விடை: தவறு
சரியான விடை: அவரது முடுக்கம் விண்கல முடுக்கத்திற்கு சமமாக இருப்பதால், எடை இழப்பை உணர்கிறார்.
IV. பொருத்துக:
பகுதி I பகுதி II
1. நியூட்டனின் முதல் விதி - ராக்கெட் ஏவுதலில்
பயன்படுகிறது
2. நியூட்டனின் இரண்டாம் விதி - பொருட்களின்
சமநிலை
3. நியூட்டனின் மூன்றாம் விதி - விசையின்
விதி
4. நேர்க்கோட்டு உந்த அழிவின்மை
விதி – பறவை பறத்தலில் பயன்படுகிறது
விடைகள் :
(1) நியூட்டனின் முதல் விதி - பொருட்களின் சமநிலை
(2) நியூட்டனின் இரண்டாம் விதி - விசையின் விதி
(3) நியூட்டனின் மூன்றாம் விதி - பறவை பறத்தலில் பயன்படுகிறது
(4) நேர்க்கோட்டு உந்த அழிவின்மை விதி – ராக்கெட்
ஏவுதலில் பயன்படுகிறது
V. பின்வரும் வினாக்களில் கூற்றும் அதனையடுத்து காரணமும்
கொடுக்கப்பட்டுள்ளன. பின்வருனவற்றுள் எது சரியான தெரிவோ அதனைத் தெரிவு செய்க.
1. கூற்று: வலஞ்சுழி திருப்புத்திறன்களின் மொத்த
மதிப்பு, இடஞ்சுழி
திருப்புத்திறன்களின் மொத்த மதிப்பிற்கு சமமானதாக இருக்கும்.
காரணம் : உந்த அழிவின்மை
விதி என்பது புறவிசை மதிப்பு சுழியாக உள்ளபோது மட்டுமே சரியானதாக இருக்கும்.
அ) கூற்றும் காரணமும் சரியாக பொருந்துகிறது.
மேலும் காரணம் கூற்றை சரியாக விளக்குகிறது.
ஆ) கூற்றும் காரணமும் சரி, ஆனால் காரணம் கூற்றினை சரியாக
விளக்கவில்லை.
இ) கூற்று சரியானது ஆனால் காரணம் தவறு
ஈ) கூற்று தவறானது எனினும் காரணம் சரி
விடை: ஆ)
கூற்றும் காரணமும் சரி ஆனால் காரணம் கூற்றினை சரியாக விளக்கவில்லை.
2. கூற்று : 'g' ன் மதிப்பு புவிப்பரப்பில் இருந்து உயர செல்லவும் புவிப்பரப்பிற்கு கீழே செல்லவும்
குறையும்.
காரணம் : 'g' மதிப்பானது புவிப்பரப்பில்
பொருளின் நிறையினைச் சார்ந்து அமைகிறது.
அ) கூற்றும் காரணமும் சரியாக பொருந்துகிறது.
மேலும் காரணம் கூற்றை சரியாக விளக்குகிறது.
ஆ) கூற்றும் காரணமும் சரி, ஆனால் காரணம் கூற்றினை சரியாக
விளக்கவில்லை.
இ) கூற்று சரியானது ஆனால் காரணம் தவறு
ஈ) கூற்று தவறானது எனினும் காரணம் சரி
விடை: இ) கூற்று
சரியானது ஆனால் காரணம் தவறு.
VI. குறு வினாக்கள் :
1. நிலைமம் என்பது யாது? அதன் வகைகள் யாவை?
ஒவ்வொரு பொருளும் தன்மீது சமன் செய்யப்படாத
புறவிசை ஏதும் செயல்படாத வரையில் தமது ஓய்வு நிலையையோ, அல்லது சென்று கொண்டிருக்கும்
நேர்க்கோட்டு இயக்க நிலையையே மாற்றுவதை எதிர்க்கும் தன்மை ‘நிலைமம்' என்றழைக்கப்படுகிறது.
நிலைமத்தின் வகைகள்
1. ஓய்வில் நிலைமம் 2. இயக்கத்தில் நிலைமம் 3. திசையில் நிலைமம்
2. செயல்படும் திசை சார்ந்து
விசையினை எவ்வாறு பிரிக்கலாம்?
விசைகளை அவை செயல்படும் திசை சார்ந்து
(1) ஒத்த இணைவிசைகள்
(2) மாறுபட்ட இணைவிசைகள் என்று
வகைப்படுத்தலாம்.
3. 5N மற்றும் 15N விசை மதிப்புடைய இரு விசைகள் ஒரே நேரத்தில் பொருள் மீது செயல்படுகின்றன.
இவைகளின் தொகுபயன் விசை மதிப்பு யாது? எத்திசையில் அது
செயல்படும்?
F1 = 5N F2 = 15N
F = 15 - 5 = 10N
தொகுபயன் விசை 15N செயல்படும் திசையில் செயல்படும்
4. நிறை - எடை இவற்றை வேறுபடுத்துக.
நிறை
1. நிறை என்பது பொருட்களின் அடிப்படை
பண்பாகும்.
2. இதன் அலகு கிலோகிராம்
3. இடத்திற்கு இடம் மாறுபடாது.
எடை
1. ஒரு பொருள் மீது செயல்படும் புவிஈர்ப்பு
விசையின் மதிப்பு அப்பொருளின் எடை ஆகும்.
2. இதன் அலகு நியூட்டன்
3. இடத்திற்கு இடம் எடையின் மதிப்பு
மாறுபடும்.
5. இரட்டையின் திருப்புத்திறன் வரையறு.
இரட்டைகளின் தொகுபயன் மதிப்பு சுழியாதலால் இவை நேர்க்கோட்டு
இயக்கத்தினை ஏற்படுத்தாது. ஆனால் சுழல் விளைவினை ஏற்படுத்தும். இதை இரட்டைகளின் திருப்பு
திறன் என்கிறோம்.
6. திருப்புத்திறன் தத்துவம் வரையறு.
சமநிலையில் உள்ளபோது, ஒரு புள்ளியின் மீது செயல்படும்
அனைத்து விசைகளின் திருப்புத்திறன்களின் கூடுதல் சுழிக்கு சமமாகும்.
7. நியூட்டனின் இரண்டாம் விதியினை
கூறு.
பொருள் ஒன்றின் மீது செயல்படும் விசையானது, அப்பொருளின் உந்த மாறுபாட்டு வீதத்திற்கு
நேர்த்தகவில் அமையும். மேலும் இந்த உந்த மாறுபாடு விசையின் திசையிலேயே அமையும்.
8. பெரிய வாகனங்களில் திருகுமறைகளை
(nuts) சுழற்றி இறுக்கம் செய்ய நீளமான கைப்பிடிகள் கொண்ட திருகுக்குறடு
(spanner) பயன்படுத்துவது ஏன்?
திருகுக்குறடு நீளமான கைப்பிடியை கொண்டதாக இருந்தால்
சிறிதளவே திருப்புத்திறன் விசையை செலுத்தி பயன்பாட்டை எளிதாக்கலாம்.
விசையின் திருப்புத்திறன் = 
9. கிரிக்கெட் விளையாட்டில் மேலிருந்து
விழும் பந்தினை பிடிக்கும் போது, விளையாட்டு வீரர் தம் கையினை
பின்னோக்கி இழுப்பது ஏன்?
கிரிக்கெட் விளையாட்டில், வேகமாக வரும் பந்தினைப் பிடிக்க,
விளையாட்டு வீரர் கையினை பின்னோக்கி இழுக்கிறார். இதனால் அவர் மோதல்
காலத்தை அதிகரிக்கிறார். இது அவரது கையில் பந்து ஏற்படுத்தும் கணத்தாக்கு விசையின்
அளவை குறைக்கிறது.
10. விண்கலத்தில் உள்ள விண்வெளி வீரர்
எவ்வாறு மிதக்கிறார்?
விண்கலம் மிக அதிக சுற்றியக்க திசைவேகத்தில் நகர்ந்து
கொண்டிருக்கிறது. அவர் அக்கலத்துடன் இணைந்து சம வேகத்தில் நகர்கிறார். அவரது முடுக்கம்
விண்கல முடுக்கத்திற்கு சமமாக இருப்பதால் அவர் தடையின்றி விழும் நிலையில் உள்ளார்.
அப்போது அவரது தோற்ற எடை சுழியாகும். எனவே அவர் அக்கலத்துடன் எடையற்ற நிலையில் காணப்படுகிறார்.
உண்மையில் அவர் மிதப்பதில்லை.
VII. கணக்கீடுகள்:
1. இரு பொருட்களின் நிறை விகிதம்
3:4 அதிக நிறையுடைய பொருள் மீது விசையொன்று செயல்பட்டு 12
ms-1 மதிப்பில் அதை முடுக்குவித்தால் அதே விசை கொண்டு
மற்ற பொருளை முடுக்குவிக்க தேவைப்படும் முடுக்கம் யாது?
நிறை விகிதம் = 3 : 4
m1 : m2 = 3 : 4
முடுக்கம் a2 = 12m
F = ma
F = m1 a1 = 3a1
F = m2 a2 = 4 × 12 = 48
N
3a1 = 48
a1 = 48 / 3 = 16 ms-2
தேவைப்படும் முடுக்கம் = 16 ms-2
2. 1 கிகி நிறையுடைய பந்து ஒன்று
10மீவி-1 திசைவேகத்தில்
தரையின் மீது விழுகிறது. மோதலுக்கு பின் ஆற்றல் மாற்றமின்றி, அதே வேகத்தில் உயரச் செல்கிறது எனில் அப்பந்தில் ஏற்படும் உந்த
மாற்றத்தினை கணக்கிடுக.
m = 1kg v = 10ms-1
மோதலுக்கு பின் அதே வேகத்தில் பந்து உயரச்
செல்வதால் உந்தம் mv - லிருந்து - mv க்கு மாற்றமடைகிறது. ஆகவே உந்த
மாற்றம்
= இறுதி உந்தம் - தொடக்க உந்தம்
= -mv - mv
= -2mv = -2 × 1 × 10 = - 20kgms-1
3. இயந்திரப்பணியாளர் ஒருவர் 40
cm கைப்பிடி நீளம் உடைய திருகுக்குறடு கொண்டு 140 N விசை மூலம் திருகு மறை ஒன்றை கழற்றுகிறார். 40 N விசை
கொண்டு அதே திருகு மறையினை கழற்ற எவ்வளவு நீள கைப்பிடி கொண்ட திருகுக்குறடு தேவை?
F1 = 140 N
d1 = 40 cm = 40 × 10-2 m
F2 = 40N
d2 = ?
திருப்புத்திறனின் மதிப்பு = F x d
F1d1 = 140 × 40 × 10-2
= 56 Nm
40N விசை கொண்டு அதே திருகு
மறையினை கழற்ற, 56Nm திருப்புத்திறன் தேவைப்படுகிறது.
F2 d2 = 40 × d2
= 56Nm
= d2 = 56/40 = 1.4m
1.4m நீளம் கொண்ட திருகுக்குறடு
தேவை
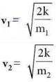
4. இரு கோள்களின் நிறை விகிதம்
முறையே 2:3 அவைகளின் ஆர விகிதம் முறையே 4:7 எனில், அவற்றின் ஈர்ப்பு முடுக்கம் விகிதத்தைக்
கணக்கிடுக.
இரு கோள்களின் நிறை விகிதம் M1 : M2 = 2 : 3
ஆர விகிதம் R1 : R2 = 4 : 7
ஈர்ப்பு முடுக்க விகிதம் g1 : g2 = ?
g = GM / R2
g1 = GM1
/ R12 ; g2 = GM2 / R22
g1 / g2 = (GM1 / R12)
/ (GM2 / R22) ⇒ g1 / g2 = M1 / M2
× R22 / R12
= 2 × 7 × 7 / 3 × 4 × 4 = 49 / 24
g1 : g2 = 49 : 24
VIII. விரிவான விடையளி:
1. நிலைமத்தின் பல்வேறு வகைகளை
எடுத்துக்காட்டுகளுடன் விளக்குக.
விடைகள்:
நிலைமத்தின் வகைகள்
அ) ஓய்வில் நிலைமம்:
நிலையாக உள்ள ஒவ்வொரு பொருளும் தமது ஓய்வு நிலை
மாற்றத்தை எதிர்க்கும் பண்பு ஓய்வில் நிலைமம் எனப்படும்.
ஆ) இயக்கத்தில் நிலைமம்:
இயக்க நிலையில் உள்ள பொருள், தமது இயக்க நிலை மாற்றத்தை
எதிர்க்கும் பண்பு இயக்கத்தில் நிலைமம் எனப்படும்
இ) திசையில் நிலைமம்:
இயக்க நிலையில் உள்ள பொருள், இயங்கும் திசையில் இருந்து
மாறாது, திசை மாற்றத்தினை எதிர்க்கும் பண்பு திசையில் நிலைமம்
எனப்படும்.
நிலைமத்திற்கான எடுத்துக்காட்டுகள்
* நீளம் தாண்டுதல் போட்டியில் உள்ள போட்டியாளர்
நீண்ட தூரம் தாண்டுவதற்காக, தாம் தாண்டும் முன் சிறிது தூரம் ஓடுவதற்கு காரணம் இயக்கத்திற்கான நிலைமம்
ஆகும்.
* ஓடும் மகிழுந்து வளைபாதையில் செல்லும் போது
பயணியர், ஒரு பக்கமாக சாயக் காரணம்
திசைக்கான நிலைமம் ஆகும்.
* கிளைகளை உலுக்கிய பின் மரத்திலிருந்து கீழே
விழும் இலைகள், பழுத்தபின்
விழும் பழங்கள் இவை யாவும் ஓய்விற்கான நிலைமத்திற்கு எடுத்துக்காட்டாகும்.
2. நியூட்டனின் இயக்கத்திற்கான
விதிகளை விளக்குக.
விடைகள்:
நியூட்டனின் முதல் விதி:
ஒவ்வொரு பொருளும் புறவிசை ஏதும் செயல்படாத
வரையில், தமது ஓய்வு நிலையிலோ அல்லது
சீராக இயங்கிக் கொண்டிருக்கும் நேர்க்கோட்டு நிலையிலோ தொடர்ந்து இருக்கும்.
நியூட்டனின் இரண்டாவது இயக்க விதி:
பொருள் ஒன்றின் மீது செயல்படும் விசையானது
அப்பொருளின் உந்த மாறுபாட்டு வீதத்திற்கு நேர்தகவில் அமையும். மேலும் இந்த உந்த
மாறுபாடு விசையின் திசையிலேயே அமையும்.
நியூட்டனின் மூன்றாம் இயக்க விதி:
ஒவ்வொரு விசைக்கும் சமமான எதிர்விசை உண்டு.
விசையும் எதிர்விசையும் எப்போதும் இரு வேறு பொருள்கள் மீது செயல்படும்.
3. விசையின் சமன்பாட்டை
நியூட்டனின் இரண்டாம் விதி மூலம் தருவி.
விடைகள்:
பொருள் ஒன்றின் மீது செயல்படும் விசையானது
அப்பொருளின் உந்த மாறுபாட்டு வீதத்திற்கு நேர்தகவில் அமையும். மேலும் இந்த உந்த
மாறுபாடு விசையின் திசையிலேயே அமையும். இவ்விதி விசையின் எண்மதிப்பை அளவிட
உதவுகிறது. எனவே இதை 'விசையின் விதி' என்றும் அழைக்கலாம்.
விசைக்கான சமன்பாட்டை கீழ்க்கண்டவாறு
தருவிக்கலாம்.
m நிறை மதிப்புடைய பொருள் ஒன்று u
என்ற ஆரம்ப திசைவேகத்தில் நேர்க்கோட்டு இயக்கத்தில் உள்ளதென
கொள்வோம். t என்ற கால இடைவெளியில் F என்ற சமன்செய்யப்படாத புற விசையின்
தாக்கத்தால், அதன் வேகம் v என்று மாற்றமடைகிறது.
பொருளின் ஆரம்ப உந்தம் Pi = mu
இறுதி உந்தம் Pf = mv
உந்தமாறுபாடு
P = Pf
– Pi = mv – mu
நியூட்டனின் இரண்டாம் இயக்க விதிப்படி விசை
F ∞ உந்த மாற்றம்
/ காலம்
F ∞ (mv - mu) / t
F = Km(v - u)/t
K என்பது விகித மாறிலி; K
= 1 (அனைத்து அலகு முறைகளிலும்) எனவே
F = (mv - mu)/t ............ (1)
முடுக்கம் = திசை வேகமாற்றம் / காலம்;
a = (v - u)/t எனவே
F = m × a ................ (2)
விசை = நிறை × முடுக்கம்
4. உந்தமாறாக் கோட்பாட்டை கூறி
அதனை மெய்ப்பிக்க.
விடைகள்:
புற விசை ஏதும் தாக்காத வரையில் ஒரு பொருள்
அல்லது ஓர் அமைப்பின் மீது செயல்படும் மொத்த நேர்க்கோட்டு உந்தம் மாறாமல்
இருக்கும்.
நேர்க்கோட்டு உந்த அழிவின்மை விதியினை கீழ்கண்ட
ஒரு எடுத்துக்காட்டின் மூலம் நிரூபிக்கலாம்:

A மற்றும் B என்ற இருபொருட்களின் நிறைகள் முறையே m1 மற்றும்
m2 என்க. அவை நேர்க்கோட்டில் பயணிப்பதாக
கொள்வோம். u1 மற்றும் u2 என்பவை அவற்றின் ஆரம்ப திசை வேகங்களாக கொள்வோம். பொருள் A னது, B ஐ விட அதிக திசைவேகத்தில் செல்வதாக கருதுவோம்.
(u1 > u2) 't' என்ற கால இடைவெளியில் பொருள் A னது, B மீது மோதலை ஏற்படுத்துகிறது.
மோதலுக்குப் பிறகு அப்பொருள்கள் அதே
நேர்க்கோட்டில் v1 மற்றும் v2 திசைவேகத்தில் பயணிப்பதாக
கொள்வோம்.
நியூட்டனின் இரண்டாம் விதிப்படி
B யின் மீது A செயல்படும் விசை FB = m2 (v2 – u2)/t
அதேபோல் A யின் மீது B செயல்படுத்தும்
விசை FA = m1 (v1 – u1)/t
நியூட்டனின் மூன்றாம் விதிப்படி A ன் மீது செயல்படும் விசையானது B
மீது செயல்படும் எதிர்விசைக்கு சமம்.
FA = -FB
m1(v1 – u1)/t
= -m2 (v2 – u2)/t
m1v1 + m2v2
= m1u1 + m2u2 ----------- (1)
மேற்காண் சமன்பாடு, இந்நிகழ்வில் வெளிவிசையின்
தாக்கம் எதும் இல்லாதபோது, மோதலுக்கு பின் உள்ள மொத்த உந்த
மதிப்பு, மோதலுக்கு முன் உள்ள மொத்த உந்த மதிப்பிற்கு சமம்
என்பதை காட்டுகிறது. இது பொருளின் மீது செயல்படும் மொத்த உந்தம் ஒரு மாறிலி என்ற
நேர்க்கோட்டு உந்த அழிவின்மை விதியினை நிரூபிக்கிறது.
5. ராக்கெட் ஏவுதலை விளக்குக
விடைகள்:
ராக்கெட் ஏவுதலில் நியூட்டனின் மூன்றாம் விதி
மற்றும் நேர்க்கோட்டு உந்த அழிவின்மை விதி, இவை இரண்டும் பயன்படுகின்றன. ராக்கெட்டுகளில் உந்து கலனில்
(Propellant tank) எரிபொருள்கள் (திரவ அல்லது
திட) நிரப்பப்படுகின்றன. அவை எரியூட்டப்பட்டதும், வெப்ப
வாயுக்கள் ராக்கெட்டின் வால் பகுதியில் இருந்து அதிக திசைவேகத்தில்
வெளியேறுகின்றன. அவை மிக அதிக உந்தத்தை உருவாக்குகின்றன. இந்த உந்தத்தை சமன் செய்ய,
அதற்கு சமமான எதிர் உந்துவிசை எரிகூடத்தில் (combustion
chamber) உருவாகி, ராக்கெட் மிகுந்த
வேகத்துடன் முன்னோக்கி பாய்கிறது.
ராக்கெட் உயர பயணிக்கும் போது அதில் உள்ள
எரிபொருள் முழுவதும் எரியும் வரை அதன் நிறை படிப்படியாக குறைகிறது. உந்த அழிவின்மை
விதியின் படி நிறை குறைய குறைய, அதன் திசைவேகம் படிப்படியாக அதிகரிக்கிறது. ஒரு குறிப்பிட்ட உயரத்தில்
ராக்கெட்டானது புவியின் ஈர்ப்பு விசையினை தவிர்த்து விட்டு செல்லும் வகையில் அதன்
திசைவேக மதிப்பு உச்சத்தை அடைகிறது இது விடுபடு வேகம் (escape speed)
எனப்படுகிறது.
6. பொது ஈர்ப்பியல் விதியினை
கூறுக. அதன் கணிதவியல் சூத்திரத்தை தருவிக்க.
விடைகள்:
அண்டத்தில் உள்ள பொருட்களின் ஒவ்வொரு துகளும்
பிற துகளை ஒரு குறிப்பிட்ட விசை மதிப்பில் ஈர்க்கிறது. அவ்விசையானது அவைகளின்
நிறைகளின் பெருக்கற்பலனுக்கு நேர்விகிதத்திலும், அவைகளின் மையங்களுக்கிடையே உள்ள தொலைவின் இருமடிக்கு
எதிர்விகிதத்திலும் இருக்கும். மேலும் இவ்விசை நிறைகளின் இணைப்புக் கோட்டின் வழியே
செயல்படும்.
இவ்விசை எப்போதும் ஈர்ப்பு விசையாகும். இவ்விசை, நிறைகள் அமைந்துள்ள ஊடகத்தை
சார்ந்தது அல்ல.
m1 மற்றும் m2
என்ற நிறையுடைய இரு பொருள்கள் r என்ற தொலைவில்
வைக்கப்பட்டுள்ளதாக கருதுவோம். இவற்றிற்கிடையே உள்ள ஈர்ப்பு விசை F ஆனது,
பொது ஈர்ப்பியல் விதிப்படி.
F ∝ m1
x m2
F ∝ 1/r2
இவை இரண்டையும் இணைத்து
F ∝ m1
× m2 / r2
F = Gm1 × m2 / r2
G என்பது ஈர்ப்பியல் மாறிலி. இதன் மதிப்பு (SI அலகுகளில்) 6.674 × 10-11 N m2 kg-2

7. பொது ஈர்ப்பியல் விதியின்
பயன்பாட்டினை விவரி.
விடைகள்:
1. அண்டத்தில் உள்ள விண்பொருட்களின் பரிமாணங்களை அளவிட பொது
ஈர்ப்பியல் விதி பயன்படுகிறது. புவியின் நிறை, ஆரம், புவி ஈர்ப்பு முடுக்கம் முதலியனவற்றை துல்லியமாக கணக்கிட இவ்விதி
உதவுகிறது.
2. புதிய விண்மீன்கள் மற்றும் கோள்களை கண்டுபிடிக்க இவ்விதி
உதவுகிறது.
3. சில நேரங்களில் விண்மீன்களின் சீரற்ற நகர்வு (Wobble)
அருகில் உள்ள கோள்களின் இயக்கத்தை பாதிக்கும். அந்நேரங்கள்
அவ்விண்மீன்களின் நிறையினை அளவிட இவ்விதி பயன்படுகிறது.
4. தாவரங்களின் வேர் முளைத்தல் மற்றும் வளர்ச்சி புவியின்
ஈர்ப்புவிசை சார்ந்து அமைவது ‘புவிதிசை சார்பியக்கம்' என்றழைக்கப்படுகிறது.
5. விண்பொருட்களின் பாதையினை வரையறை செய்வதற்கு இவ்விதி
பயன்படுகிறது.
IX. உயர் சிந்தனைக்கான வினாக்கள் :
1. 8 கிகி மற்றும் 2கிகி நிறையுடைய இரு பொருள்கள் வழுவழுப்பாக உள்ள பரப்பில் ஒன்றோடொன்று தொடர்பு
கொண்டுள்ளன. அவை 15 N அளவிலான கிடைமட்ட விசை கொண்டு நகர்த்தப்படுகின்றன
எனில், 2 கிகி நிறையுடைய பொருள் பெரும் விசையினை கணக்கிடுக.
ஒன்றொடொன்று தொடர்பு கொண்டுள்ள இரு பொருள்கள் ஒரே
முடுக்கத்தை பெற்றிருக்கும்.
F1 = Ma
M = m1 + m2
m1 = 8 கிகி
m2 = 2 கிகி
F1 = 15N
15 = (8+ 2) a
15 = 10 a
a = 15 / 10 = 1.5 ms-2
F2 என்ற விசை,
2கிகி நிறையின் மீது செயல்பட்டால்,
F2 = ![]()
F2 = 2 × 1.5 = 3N
2கிகி நிறையுடைய பொருள் பெரும்
விசை 3N
2. கன உந்து (Heavy
Vehicle) ஒன்றும் இரு சக்கர வாகனம் ஒன்றும் சம இயக்க ஆற்றலுடன்
பயணிக்கின்றன. கணஉந்தின் நிறையானது இரு சக்கர வாகன நிறையினை விட நான்கு மடங்கு
அதிகம் எனில், இவைகளுக்கிடையே உள்ள உந்த வீதத்தைக் கணக்கிடுக,
கன உந்து (Heavy Vehicle) -ன் இயக்க ஆற்றல் = 1/2 m1
v12
இரு சக்கர வாகனத்தின் இயக்க ஆற்றல் = 1/2 m2 v22
1/2 m1 v12 = 1/2 m2 v22
= K எனக் கொள்வோம்.

இரண்டு வாகனங்களின் உந்தம்

உந்த விகிதம்

ஆனால், m1 = 4m2

உந்த விகிதம் 2:1.
