வெக்டர் இயற்கணிதத்தின் பயன்பாடுகள் - பயிற்சி 6.10: சரியான விடையைத் தேர்ந்தெடுக்கவும் | 12th Maths : UNIT 6 : Applications of Vector Algebra
பயிற்சி 6.10
சரியான அல்லது மிகப்பொருத்தமான விடையைத் தேர்ந்தெடுக்கவும்:
1.
என்பன இணை வெக்டர்கள் எனில்,
–ன் மதிப்பு
(1) 2
(2) −1
(3) 1
(4) 0
விடை: (4) 0

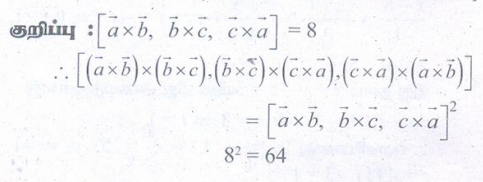
2.
ஆகியவை அமைக்கும் தளத்தில்
அமைந்துள்ளது எனில்,

விடை: (3)

3.

(3) 1
(4) −1
விடை: (1)

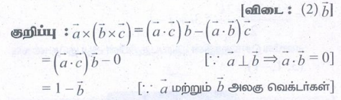
4.
–க்கு செங்குத்தாகவும்
–க்கு இணையாகவும் உள்ள வெக்டர்
என்றவாறுள்ள ஓரலகு வெக்டர்கள்
–க்குச் சமமானது

விடை: (2)

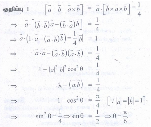
5.
–ன் மதிப்பு
(1) 1
(2) −1
(3) 2
(4) 3
விடை: (1) 1

6.
என்ற வெக்டர்களை ஒரு புள்ளியில் சந்திக்கும் விளிம்புகளாகக் கொண்ட இணைகரத் திண்மத்தின் கன அளவு
(1) π / 2
(2) π / 3
(3) π
(4) π / 4
விடை: (3) π

7.
எனுமாறுள்ள ஓரலகு வெக்டர்கள் எனில்,
ஆகியவற்றுக்கு இடைப்பட்ட கோணம்
(1) π /6
(2) π/4
(3) π/3
(4) π/2
விடை: (1) π /6

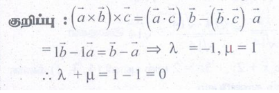
8.
எனில், λ+μ ன் மதிப்பு
(1) 0
(2) 1
(3) 6
(4) 3
விடை: (1) 0

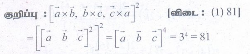
9.
எனுமாறுள்ள ஒரு தளம் அமையா மூன்று பூச்சியமற்ற வெக்டர்கள் எனில்,
−ன் மதிப்பு
(1) 81
(2) 9
(3) 27
(4) 18
விடை: (1) 81

10.
எனுமாறுள்ள ஒரு தளம் அமையா மூன்று ஓரலகு வெக்டர்கள் எனில்,
ஆகியவற்றுக்கு இடைப்பட்ட கோணம்
(1) π /2
(2) 3π / 4
(3) π / 3
(4) π
விடை: (2) 3π / 4

11.
ஆகியவற்றை ஒரு புள்ளியில் சந்திக்கும் விளிம்புகளாகக் கொண்ட இணைகரத் திண்மத்தின் கன அளவு 8 கன அலகுகள் எனில்,
மற்றும்
ஆகியவற்றை ஒரு புள்ளியில் சந்திக்கும் விளிம்புகளாகக் கொண்ட இணைகரத் திண்மத்தின் கன அளவு
(1) 8 கன அலகுகள்
(2) 512 கன அலகுகள்
(3) 64 கன அலகுகள்
(4) 24 கன அலகுகள்
விடை: (3) 64 கன அலகுகள்

12.
எனுமாறுள்ள வெக்டர்கள் என்க.
என்ற ஒரு ஜோடி வெக்டர்களாலும் மற்றும்
என்ற ஒரு ஜோடி வெக்டர்களாலும் அமைக்கப்படும் தளங்கள் முறையே P1 மற்றும் P2 எனில், இத்தளங்களுக்கு இடைப்பட்ட கோணம்
(1) 0°
(2) 45°
(3) 60°
(4) 90°
விடை: (1) 0°

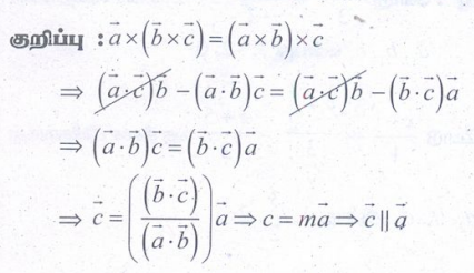
13.
எனுமாறுள்ள மூன்று வெக்டர்கள் என்க. எனில்,
என்பவை
(1) செங்குத்தானவை
(2) இணையானவை
(3) π/3 என்ற கோணத்தை தாங்குபவை
(4) π/6 என்ற கோணத்தை தாங்குபவை
விடை: (2) இணையானவை

14.
எனில், ā−க்குச் செங்குத்தானதாகவும்
மற்றும்
என்ற வெக்டர்கள் உருவாக்கும் தளத்தில் அமைவதுமான வெக்டர்

விடை: (4)

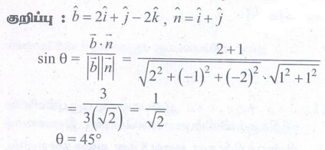
15.
என்ற கோடுகளுக்கு இடைப்பட்ட கோணம்
(1) π / 6
(2) π / 4
(3) π / 3
(4) π / 2
விடை: (4) π / 2

16.
என்ற கோடு x+3y−αz+β=0 என்ற தளத்தின் மீது இருந்தால் பின்னர் (α, β) என்பது
(1) (−5,5)
(2) (−6,7)
(3) (5,−5)
(4) (6,−7)
விடை: (2) (−6,7)

17.
என்ற கோட்டிற்கும்
என்ற தளத்திற்கும் இடைப்பட்ட கோணம்
(1) 0°
(2) 30°
(3) 45°
(4) 90°
விடை: (3) 45°

18.
என்ற தளத்தை சந்திக்கும் புள்ளியின் அச்சுத்தூரங்கள்
(1) (2,1,0)
(2) (7,−1, −7)
(3) (1,2,−6)
(4) (5,−1,1)
விடை: (4) (5,−1,1)

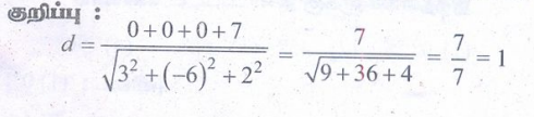
19. ஆதிப்புள்ளியிலிருந்து 3x−6y+2z+7=0 என்ற தளத்திற்கு உள்ள தொலைவு
(1) 0
(2) 1
(3) 2
(4) 3
விடை: (2) 1

20. x+2y+3z+7= 0 மற்றும் 2x+4y+6z+7 =0 ஆகிய தளங்களுக்கு இடைப்பட்ட தொலைவு
(1) √7 / 2√2
(2) 7 /2
(3) √7 / 2
(4) 7 / 2√2
விடை: (1) √7 / 2√2

21. ஒரு கோட்டின் திசைக்கொசைன்கள் 1/c, 1/c, 1/c எனில்,
(1) c = ±3
(2) c = ±√3
(3) c > 0
(4) 0 < c < 1
விடை: (2) c = ±√3

22.
என்ற வெக்டர் சமன்பாடு குறிக்கும் நேர்க்கோட்டின் மீது உள்ள புள்ளிகள்
(1) (0,6,−1) மற்றும் (1,−2,−1)
(2) (0,6,−1) மற்றும் (−1,−4,−2)
(3) (1,−2,−1) மற்றும் (1,4,−2)
(4) (1,−2,−1) மற்றும் (0,–6,1)
விடை: (3) (1,−2,−1) மற்றும் (1,4,−2)

23. ஆதியிலிருந்து (1,1,1) என்ற புள்ளிக்கு உள்ள தொலைவானது x+y+z+k=0 என்ற தளத்திலிருந்து அப்புள்ளிக்கு உள்ள தொலைவில் பாதி எனில், k –ன் மதிப்புகள்
(1) ±3
(2) ±6
(3) −3,9
(4) 3,−9
விடை: (4) 3,−9

24.
ஆகிய தளங்கள் இணை எனில், λ மற்றும் μ−ன் மதிப்புகள்
(1) 1/2, −2
(2) −1/2, 2
(3) −1/2, −2
(4) 1/2, 2
விடை: (3) −1/2, −2

25. ஆதியிலிருந்து 2x + 3y + λz > 1, λ > 0 என்ற தளத்திற்கு வரையப்படும் செங்குத்தின் நீளம் 1/5, எனில், λ –ன் மதிப்பு
(1) 2√3
(2) 3√2
(3) 0
(4) 1
விடை: (1) 2√3
