சாதாரண வகைக்கெழுச் சமன்பாடுகள் | கணிதவியல் - வகைக்கெழுச் சமன்பாடு, வரிசை மற்றும் படி (Differential Equation, Order, and Degree) | 12th Maths : UNIT 10 : Ordinary Differential Equations
வகைக்கெழுச் சமன்பாடு, வரிசை மற்றும் படி (Differential Equation, Order, and Degree)
வரையறை 10.1
ஏதேனும் ஒரு சமன்பாடு ஒரு சார்பின் குறைந்தபட்சம் ஒரு சாதாரண வகைக்கெழு அல்லது பகுதி வகைக்கெழுவையாவது கொண்டிருக்குமானால் அச்சமன்பாடு வகைக்கெழுச் சமன்பாடாகும்.
எடுத்துக்காட்டாக, y = f (x) , இங்கு y ஆனது ஒரு சார்ந்த மாறி ( f என்பது தெரியாத ஒரு சார்பு) மற்றும் x என்பது ஒரு சாராமாறி என்க. பின்பு,
(1) dy/dx = 0 என்ற சமன்பாடு ஒரு வகைக்கெழுச் சமன்பாடாகும்.
(2) dy/dx = sin x என்ற சமன்பாடு ஒரு வகைக்கெழுச் சமன்பாடாகும்.
(3) dy/dx + y = 7x+5 என்ற சமன்பாடு ஒரு வகைக்கெழுச் சமன்பாடாகும்.
(4) d2y/dx2 + dy/dx + y =sin x என்ற சமன்பாடு ஒரு வகைக்கெழுச் சமன்பாடாகும்.
(5) edy/dx = In x, x > 0 என்ற சமன்பாடு ஒரு வகைக்கெழுச் சமன்பாடாகும்.
(6) tan-1(d2y/dx2 + y2 + 2x) = dy/dx என்ற சமன்பாடு ஒரு வகைக்கெழுச் சமன்பாடாகும்.
வரையறை 10.2
ஒரு வகைக்கெழுச் சமன்பாட்டில் காணப்படும் மிக உயர்ந்த வகைக்கெழுவின் வரிசையே அச்சமன்பாட்டின் வரிசை (order) ஆகும்.
ஆகவே, ஒரு சமன்பாட்டில் காணப்படும் அறியாத சார்பின் மிக உயர்ந்த வரிசையுடைய வகைக்கெழு k ஆவது வகைக்கெழு எனில், அவ்வகைக் கெழுச் சமன்பாட்டின் வரிசை k ஆகும். இங்கு k என்பது ஒரு மிகை முழு எண்ணாகும்.
எடுத்துக்காட்டாக,
எனும் வகைக்கெழுச் சமன்பாட்டின் வரிசைமூன்று ஆகும்.
வரையறை 10.3 (வகைக்கெழுச் சமன்பாட்டின் படி)
ஒரு வகைக்கெழுச் சமன்பாட்டை பல்லுறுப்புக் கோவை வடிவில் எழுத இயலுமெனில், அச்சமன்பாட்டில் தோன்றும் மிக உயர்ந்த வரிசையுடைய வகைக்கெழுவின் முழு எண் படியே அச்சமன்பாட்டின் படி எனப்படும்.
மாறாக, பல்லுறுப்புக் கோவை வடிவில் எழுதப்படும் ஒரு வகைக்கெழுச் சமன்பாடு பின்வரும் நிபந்தனைகளை நிறைவு செய்யுமானால், அச்சமன்பாட்டில் தோன்றும் மிக உயர்ந்த வரிசையுடைய வகைக்கெழுவின் அடுக்கு அவ்வகைக்கெழுச் சமன்பாட்டின் படி எனப்படும்.
(i) சமன்பாட்டில் உள்ள அனைத்து வகைக்கெழுக்களின் அடுக்குகளும் பின்னங்களற்றதாகஇருக்க வேண்டும்.
(ii) மிக உயர்ந்த வரிசை கொண்ட வகைக்கெழுக்களை மாறியாகக் கொண்ட ஆழ்நிலைச்சார்பு, முக்கோணவியல் சார்பு, விஞ்சிய அல்லது படிக்குறிச் சார்பு போன்ற சார்புகளாக இருக்கக்கூடாது. உயர்ந்த வரிசை உடைய வகைக்கெழுவைக் கொண்ட எந்தவொரு உறுப்பின் கெழுவும் x, y அல்லது குறைவான வரிசைக் கொண்ட வகைக்கெழு ஆகியவற்றில் ஒன்றினை மாறியாகக் கொண்ட சார்பாக இருக்கலாம். ஆனால், வகைக்கழுக்களை மாறியாகக் கொண்ட விஞ்சிய முக்கோணவியல், படிக்குறி, மடக்கைச் சார்புகளாக இருக்கக்கூடாது.
மேற்கூறப்பட்ட நிபந்தனைகளில் ஒன்று அல்லது அதற்கு மேற்பட்ட நிபந்தனைகளை ஒரு வகைக்கெழுச்சமன்பாடு நிறைவு செய்யவில்லை எனில், மேற்கூறப்பட்ட அனைத்து நிபந்தனைகளையும் நிறைவு செய்யும் வகையில் பல்லுறுப்புக் கோவை வடிவத்திற்கு அவ்வகைக்கெழுச் சமன்பாட்டை மாற்றி அமைக்க வேண்டும்.
ஒரு வகைக்கெழுச் சமன்பாட்டை மிக உயர்ந்த வரிசைக் கொண்ட வகைக்கெழுவை முதன்மை உறுப்பாகக் கொண்ட பல்லுறுப்புக் கோவைச் சமன்பாடாக எழுத இயலவில்லை எனில் அச்சமன்பாட்டின் படியை வரையறுக்க முடியாது.
வகைக்கெழுச் சமன்பாட்டின் படி காண்பதற்கான நிபந்தனைகளில், கூறப்பட்டுள்ள நுணுக்கங்களை சரியாக புரிந்து கொள்ளவில்லை எனில், அவ்வகைக்கெழுச் சமன்பாட்டின் படியை தீர்மானிப்பது அவ்வளவு எளிதானதாக இருக்காது. ஆகவே, கீழே கொடுக்கப்பட்டுள்ள விளக்க எடுத்துக்காட்டுகளில் விவரிக்கப்பட்டுள்ள முறைகளை கவனித்து வகைக்கெழுச் சமன்பாடுகளின் படி காணும் நுட்பங்களை அறிந்து கொள்ளலாம்.
படி காண்பதற்கான விளக்க எடுத்துக்காட்டுகள் :
(1) 3y2(dy/dx)3 - d2y/dx2 = sinx2
எனும் வகைக்கெழுச் சமன்பாட்டைக்கருதுவோம்.
இச்சமன்பாட்டில் இடம் பெற்றுள்ள மிக உயர்ந்த வகைக்கெழுவின் வரிசை 2, மற்றும் அதன் அடுக்கு 1 ஆகும். ஆகவே, இவ்வகைக்கெழுச் சமன்பாட்டின் வரிசை 2 மற்றும் படி 1 ஆகும்.
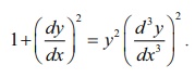
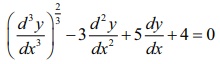
(2)
எனும் வகைக்கெழுச் சமன்பாட்டை கருதுவோம். இச்சமன்பாடு பின்ன அடுக்குகளைப் பெற்றுள்ளதால், முதலில் பின்ன அடுக்குகளை நீக்க வேண்டும். ஆகவே, சமன்பாட்டின் இருபுறமும் வர்க்கம் காண, நாம் பெறுவது

இப்பொழுது, இச்சமன்பாட்டில் இடம்பெற்றுள்ள மிக உயர்ந்த வகைக்கெழுவின் வரிசை 3 எனவும் அதன் அடுக்கு 2 எனவும் தெளிவாகக் காண்கிறோம். ஆகவே இவ்வகைக்கெழுச் சமன்பாட்டின் வரிசை 3 மற்றும் படி 2 ஆகும்.
(3)
எனும் வகைக்கெழுச் சமன்பாட்டை கருதுவோம்.
இங்கு மிக உயர்ந்த வகைக்கெழுவின் வரிசை 2 மற்றும் இவ்வகைக்கெழு எந்த சார்பிலும் உள்ளடங்கியதாக இல்லை. எனவே, இவ்வகைக்கெழுச் சமன்பாட்டின் வரிசை 2 ஆகும். மேலும், இச்சமன்பாடு வகைக்கெழுக்களை கொண்ட பல்லுறுப்புக் கோவைச் சமன்பாடல்ல. ஆகவே, இச்சமன்பாட்டின் படி வரையறுக்கப்படவில்லை.
(4)
எனும் வகைக்கெழுச் சமன்பாட்டைக் கருதுக. இச்சமன்பாட்டில்காணப்படும் மிக உயர்ந்த வகைக்கெழுவின் வரிசை 2 மற்றும் இவ்வகைக்கெழு படிக் குறிச் சார்பின் மாறியாக உள்ளது. மேலும், இச்சமன்பாட்டை d2y /dx2 னும் வகைக்கெழுவை முதன்மை உறுப்பாகக் கொண்ட பல்லுறுப்புக் கோவையாக எழுத முடியாது. எனவே,இச்சமன்பாட்டின் படியை வரையறுக்க இயலாது. இச்சமன்பாட்டின் வரிசை 2 ஆகும்.
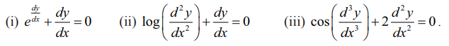
(5) பின்வரும் வகைக்கெழுச் சமன்பாடுகளுக்கு படி காண இயலாது.

(6) 10(y′′′)4 + 7 ( y′′)5 + sin( y′) + 5 = 0 எனும் வகைக்கெழுச் சமன்பாட்டின் வரிசை 3 ஆகும்.ஆனால், இச்சமன்பாட்டின் படி வரையறுக்கப்படவில்லை.
(7) cos( y′) y′′′ + 5 y ′′ + 7 y′ = sin x எனும் வகைக்கெழுச் சமன்பாட்டின் வரிசை 3 ஆகும். ஆனால்,இச்சமன்பாட்டின் படி வரையறுக்கப்படவில்லை.
குறிப்புரை
ஒரு வகைக்கெழுச் சமன்பாட்டின் படி எப்பொழுதும் ஒரு மிகை முழு எண்ணாக இருக்கும் என்பதை கவனத்தில் கொள்க.
எடுத்துக்காட்டு 10.1
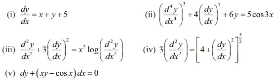
பின்வரும் வகைக்கெழுச் சமன்பாடுகளின் வரிசை மற்றும் படி (இருப்பின்) ஆகியவற்றைக் காண்க :
(i) dy/dx = x + y + 5
(ii) (d4y/dx4)3 + 4(dy/dx)7 + 6y = 5 cos 3x
(iii) d2y/dx2 +3(dy/dx)2 = x2 log(d2y/dx2)
(iv) 3(d2y/dx2) = [4+(dy/dx) 2]3/2
(v) dy + (xy - cos x) dx = 0

தீர்வு
(i) இச்சமன்பாட்டில் காணப்படும் மிக உயர்ந்த வரிசை கொண்ட வகைக்கெழுdy/dx ஆகும். மேலும் இதன் அடுக்கு 1 ஆகும்.
எனவே, கொடுக்கப்பட்ட வகைக்கெழுச் சமன்பாட்டின் வரிசை 1 மற்றும் படி 1 ஆகும்
(ii) இங்கு, மிக உயர்ந்த வரிசை கொண்ட வகைக்கெழு d4y/dx4 ஆகும். மேலும், இதன் அடுக்கு 3 ஆகும்.
எனவே, கொடுக்கப்பட்ட வகைக்கெழுச் சமன்பாட்டின் வரிசை 4 மற்றும் படி 3 ஆகும்.
(iii) கொடுக்கப்பட்ட வகைக்கெழுச் சமன்பாட்டில் காணப்படும் மிக உயர்ந்த வரிசை கொண்டவகைக்கெழு d2y/dx2 ஆகும். மேலும், இதன் அடுக்கு 1 ஆகும்.
எனவே, இச்சமன்பாட்டின் வரிசை 2 ஆகும். கொடுக்கப்பட்ட வகைக்கெழுச் சமன்பாட்டை அதனுடைய வகைக்கெழுக்களைக் கொண்டு பல்லுறுப்புக் கோவைச் சமன்பாடாக எழுத முடியாது. ஆகவே, இச்சமன்பாட்டின் படி வரையறுக்கப்படவில்லை .
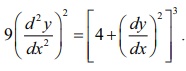
(iv) கொடுக்கப்பட்ட வகைக்கெழுச் சமன்பாடு 
இருபுறமும் வர்க்கம் காண நாம் பெறுவது 
இச்சமன்பாட்டில் உள்ள மிக உயர்ந்த வரிசையுடைய வகைக்கெழு d2y/dx2 ஆகும். இதன்அடுக்கு 2 ஆகும்.
எனவே, கொடுக்கப்பட்ட வகைக்கெழுச் சமன்பாட்டின் வரிசை 2 மற்றும் படி 2 ஆகும்.
(v) கொடுக்கப்பட்ட சமன்பாட்டை dy/dx + xy – cos x = 0 என எழுதலாம். எனவே,
dy + (xy – cos x)dx = 0 என்பது படி 1 கொண்ட முதல் வரிசை வகைக்கெழுச் சமன்பாடாகும்.